Topologia este geometria retelei. Topologiile de retele pot fi:
inel
stea
bus
arbore
plasa
cu distribuitoare (hub-uri)
neregulata
Sa trecem deci īn revista cāteva dintre topologiile cele mai de folosite:
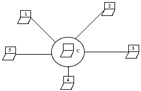
Intr-o topologie stea, fiecare nod din retea care accepta si livreaza informatie utilizator este conectat la un singur nod central, prin care trebuie sa treaca tot traficul. Dar nodul central trebuie sa posede informatii ce definesc topologia retelei; fiecare nod destinatar este conectat printr-o linie distincta, iar tabela de dirijare a nodului central indica, pentru fiecare destinatie, linia corespunzatoare.

Fig. 3. Topologia stea
Intr-o retea de acest tip exista o singura cale īntre fiecare pereche de noduri, dar īntre nodurile nepereche pot exista mai multe cai. Toate informatiile necesare pentru functionarea algoritmului de dirijare pot fi continute īn adresa nodului de destinatie.
![]() |
Se caracterizeaza prin aranjarea nodurilor īntr-o structura liniara pe baza utilizarii unei cai de comunicatie partajate, unice.

Punctele de accest sunt conectate, prin
jonctiuni pasive la suport, iar informatia este
emisa spre suport si receptata prin celelalte puncte de acces
Figura 5 Topologia magistrala
Realizeaza o conectivitate fizica minimala si nesimetrica īntre elementele sistemului, fiecare element fiind conectat doar la vecinii sai inediati prin cai dedicate unidirectionale. In fiecare nod avem un receptor de informatie, deci, punctele de acces sunt active, spre deosebire de conexiunea magistrala. Mediul este tipul de cablu folosit pentru transportul semnalelor.

Fig. 6. Topologie de tip inel
In acest caz calculatoarele sunt legate īntre ele īntr-un mod aparent aleator( de fapt se respecta diverse reguli īn functie de diverse criterii care se cer la proiectarea retelei) Topologia neregulata este frecventa īn cazul retelelor pe arie larga .
Fig. 7. Topologie neregulata

O combinatie de topologii este topologia cu hub uri
(hubul jucānd rolul de repetor-deci o configurtie magistrala, iar
daca avem un comutator acesta poate juca rol de nod central)

Fig. 8. Topologie cu hub-uri
Hubul este un element de distributie care de obicei joaca rol de repetor. El se foloseste mai ales īn cazul retelelor cablate cu cablu rasucit. In cazul ca dorim sa lucram la viteze mari se pote folosi comutatorul care conecteaza statiile astfel īncāt fiecare din ele foloseste banda la maxim , formnd un singur domeniu de coliziuni. Aceste elemente hub-ul si comutatorul sunt folosite mai ales īn cazul retelelor Fast Ethernet(100 Mbs).
Aceasta topologie presupune o conectivitate totala īntre noduri, fiind folosita atunci cand se cer retele de fiabilitate ridicata

Fig. 9. Topologie plasa
|