Documente online.
Zona de administrare documente. Fisierele tale
Am uitat parola x Creaza cont nou
 HomeExploreaza
upload
Upload




Elemente de trigonometrie, formule algebrice geometrice

Matematica


Elemente de trigonometrie, formule algebrice geometrice



Intr-un triunghi dreptunghic, considerand masura unui unghi ascutit numim: sinusul=cateta opusa / ipotenuza
cosinusul=cateta alaturata / ipotenuza
tangenta=cateta opusa / cateta alaturata
cotangenta=cateta alaturata / cateta opusa

Sinusul, cosinusul, tangenta si cotangenta se numesc functii trigonometrice si se noteaza cu sin, cos, tg, si ctg.

In triunghiul ABC de mai sus avem:

     515g62f      515g62f    
     515g62f      515g62f      515g62f      515g62f
     515g62f      515g62f      515g62f      515g62f

Simple formule trigonometrice

Fiind dat un triunghi ABC dreptunghic in A, sunt adevarate urmatoarele relatii:

     515g62f   formula fundamentala a trigonometriei

     515g62f      515g62f      515g62f          515g62f      515g62f      515g62f      515g62f  

     515g62f         515g62f      515g62f

Tabele trigonometrice

Nu punem aici decat cele mai cunoscute valori ale functiilor trigonometrice (in tabelul de mai jos):

u

 sin u

cos u

tg u

ctg u

Media aritmetica

Media geometrica (proportionala):

Media aritmetica ponderata:
,
unde a1, a2, , an reprezinta numerele, cu ponderile p1, p2, , pn.

Puteri:
     515g62f      515g62f      515g62f         515g62f      515g62f      515g62f             515g62f      515g62f         515g62f      515g62f      515g62f  

Formule de calcul prescurtat:









Ecuatia de gradul I:
    O ecuatie de gradul I are forma: ax+b=0. Solutia acestei ecuatii este x=-b/a, cu a diferit de 0.
Daca a=0 si b diferit de 0, solutia este multimea vida. Altfel, adica daca a=0 si b=0, solutia este intreaga multime de definitie.

Ecuatia de gradul al II-lea:
    Forma canonica a unei ecuatii de gradul al II-lea este: ax2+bx+c=0.
Etapele rezolvarii acestei ecuatii sunt:

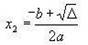
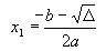
  • Calcularea discriminantului:

Evaluarea discriminantului:
daca discriminantul este negativ, ecuatia nu are solutii reale;
daca discriminantul este nul, ecuatia are o singura solutie (x1=x2); Triunghiul

Perimetrul= suma tuturor laturilor, adica:
P=AB+BC+CA

Aria triunghiului inaltimea x baza)/2, adica:
Atriunghi=(b x h)/2.
In cazul nostru, b=BC, iar h=AD. Deci,
AABC=(BCxAD)/2

Paralelogramul



Perimetrul= suma tuturor laturilor, adica
P=AB + BC + CD + DA. Deoarece laturile opuse ale paralelogramului sunt congruente (egale), perimetrul poate fi calculat astfel P=2(AB + BC).

Aria paralelogramului = baza x inaltimea, adica Aparalelogram=b x h, iar in cazul nostru,
AABCD=DC x AM, pentru ca
DC=b (baza) si AM=h (inaltime).

Dreptunghiul

Dreptunghiul are lungime( not L=AB) si latime (not l=BC).
Perimetrul= suma tuturor laturilor, adica:
P=AB+BC+CD+DA sau P=2(L+l)

Aria dreptunghiului = lungimea x latimea
Adreptunghi=L x l. In cazul nostru, AABCD=AB x BC.

Patratul

Patratul este un dreptunghi care are toate laturile egale (congruente), sau lungimea egala cu latimea.
Perimetrul= suma tuturor laturilor, adica
P=AB+BC+CD+DA sau P=4 L, unde L este latura patratului (AB=BC=CD=DA=L).
Aria patratului=latura x latura = latura2, adica, Apatrat=L2.
In cazul nostru, AABCD=AB2.

Trapezul

Perimetrul= suma tuturor laturilor, adica
P=AB + BC + CD + DA.

Aria trapezului = (baza mare + baza mica)xinaltimea/2, adica Atrapez=(B + b) x h/2, iar in cazul nostru
AABCD=(DC + AB) x AM/2, pentru ca
DC=B (baza mare)
AB=b (baza mica), iar
AM=h (inaltimea).

Cercul

Avem OA - raza (not. r)
Lungimea cercului (circumferinta cercului):
   

Aria cercului (corect ar fi aria discului):
   

Geometrie in spatiu

Corpuri - Poliedre

Piramida

Vom discuta decat de corpuri regulate, deci si piramida este regulata. Avem: AB - muchia bazei(not. m)
VA - muchia laterala(not. l)
VO - inaltimea piramidei (not. h)
VM - apotema laterala sau apotema piramidei (not. ap)
OM - apotema bazei (not. ab).
Aria laterala = suma ariilor fetelor laterale
     515g62f Alat Pb x ap)/2.
Aria bazei
     515g62f Ab Pb x ab)/2, unde Pb este perimetrul bazei.
Aria totala = aria bazei + aria laterala

Volumul
     515g62f Vpir Ab x h)/3.
Tetraedrul poate fi considerat o piramida care are ca baza un triunghi, aria si volumul calculandu-se analog.

Paralelipipedul dreptunghic, cubul, prisma


Avem: AB - lungime(not. L)
BC - latime(not. l)
AE - inaltimea sau muchia laterala (not. h)
     515g62f Aria laterala = suma ariilor fetelor laterale
     515g62f Alat=Pb x h, unde Pb este perimetrul bazei,
sau
     515g62f Alat=2(L + l) x h
Aria bazei
     515g62f Ab=L x l.
Aria totala = aria bazei + aria laterala

Volumul
     515g62f Vparalelipiped=Ab x h
sau Vparalelipiped=L x l x h.

Paralelipipedul dreptunghic este un caz particular de prisma, iar cubul este un caz particular de paralelipiped dreptunghic, in sensul ca este un paralelipiped cu toate laturile congruente. De aceea nu amintim nimic despre ele aici.

Trunchiul de piramida


Avem: AB - Muchia bazei mari
A'B' - Muchia bazei mici
OO' - Inaltime (not. h)
AA' - Muchia laterala
OM - Apotema bazei mari (not. aB)
O'M' - Apotema bazei mici (not. ab)
MM' - Apotema trunchiului de piramida (not. at)
     515g62f Aria laterala = suma ariilor fetelor laterale
     515g62f Alat=(PB+Pb)at/2, unde Pb este perimetrul bazei mici, iar PB este perimetrul bazei mari.
Ariile bazelor se calculeaza in functie de natura bazelor (triunghi, patrulater etc.), iar la piramida regulata se mai pot calcula si cu ajutorul formulelor:
     515g62f Ab=Pb x ab.
     515g62f AB=PB x aB.
Aria totala = aria bazei mari + aria bazei mici + aria laterala

Volumul
     515g62f Vtrunchi de piramida=

Corpuri - Corpuri rotunde

Cilindrul


Avem:
AA' - generatoare (not. g)
OO' - inaltimea cilindrului (not. h; in cazul nostru, la cilidrul circular drept, avem g=h)
AO - raza bazei (not. r)
Aria bazei = aria cercului de la baza, adica:
     515g62f
Aria laterala:
     515g62f
Aria totala:
     515g62f
Volumul cilindrului:
     515g62f

Conul


Avem:
VA - generatoare (not. g)
VO - inaltimea conului (not. h)
AO - raza bazei (not. r)
Aria bazei = aria cercului de la baza, adica:
     515g62f
Aria laterala:
     515g62f
Aria totala:
     515g62f
Volumul conului:
     515g62f

Trunchiul de con


Avem:
A'A - generatoare (not. G)
OO' - inaltimea trunchiului de con (not. I)
AO - raza bazei mari(not. R)
A'O' - raza bazei mici(not. r)
Aria laterala:

Aria totala:

Volumul:

Sfera


Avem:
OA - raza (not. r)
Aria sferei:
     515g62f
Volumul sferei:
     515g62f


  • daca discriminantul este strict pozitiv, ecuatia are doua solutii, care se calculeaza dupa cum urmeaza:
  • Calcularea solutiilor:





Document Info


Accesari: 3792
Apreciat: hand-up

Comenteaza documentul:

Nu esti inregistrat
Trebuie sa fii utilizator inregistrat pentru a putea comenta


Creaza cont nou

A fost util?

Daca documentul a fost util si crezi ca merita
sa adaugi un link catre el la tine in site


in pagina web a site-ului tau.




eCoduri.com - coduri postale, contabile, CAEN sau bancare

Politica de confidentialitate | Termenii si conditii de utilizare




Copyright © Contact (SCRIGROUP Int. 2025 )