MODELUL DE REGRESIE
1 Introducere

2 Modelul de regresie unifactorial

3 Estimarea parametrilor
Consideram
ca dispunem de seria de date (yi,
xi),
iar intre variabilele
(Y, X) exista dependenta liniara:
unde ei reprezinta termenul rezidual.
Pentru estimarea parametrilor vom utiliza metoda celor mai mici patrate.
|
Dreapta de regresie |
Pentru a determina o estimatie
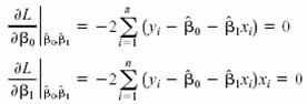
pentru cei celor doi parametri vom considera suma patratelor erorilor:
Din conditiile de optim rezulta urmatoarele doua ecuatii:

Se obtine astfel sistemul normal de ecuatii:

Solutia:
.
Observatii:
- daca
> 0,atunci
legatura dintre variabile este directa;
- daca
= 0, atunci cele doua variabile in dependenta
liniara;
- daca
< 0, atunci intre
cele doua variabile exista o dependenta liniara
inversa.
Proprietatile estimatorilor modelului de regresie
Notatii:
Valoarea
estimata: ![]()
Valoarea
reziduala(reziduul): ![]()
Daca
notam suma patratelor erorilor de regresie
atunci un estimator al
variantei variabilei reziduale este
.
Proprietatile estimatorilor

Erorile standard vor fi folosite la testarea semnificatiei parametrilor modelului de regresie.
Testul t pentru panta dreptei de regresie(slope)

Intervale de incredere pentru parametrii modelului
Pentru termenul liber(intercept)

Pentru panta dreptei de regresie(slope)

Pentru exemplul de la inceput avem:

Panta dreptei de regresie este pozitiva, deci exista o legatura directa intre chirie si suprafata apartamentelor.
In plus, daca chiria creste cu o unitate(1 m2) ,chiria va creste cu 10.640 lei.
Doar panta dreptei de regresie este semnifcativ diferita de zero.
P-value – probabilitatea ipotezei ca parametrul estimat sa fie egal cu zero; daca P-value este mai mic decit pragul de semnificatie atunci respingem aceasta ipoteza.
Analiza variantei pentru modelul de regresie
Daca intre X si Y nu exista nici o legatura, atunci putem face predictii privind valoarea medie a lui Y pentru orice valoare a lui X
Daca exista o legatura intre X si Y, in ce masura cunoasterea valorilor lui X poate explica abaterea variabilei dependente de la media sa?
Abaterea totala = abaterea explicata + Abaterea reziduala
![]()

![]()
SST SSR + SSE
SST = Total Sum of Squares
Masoara variatia valorilor observate Yi in jurul mediei Y
SSR Regression Sum of Squares
Masoara variatia explicata de modelul de regresie
SSE Error Sum of Squares
Masoara variatia ce poate fi atribuita altor factori, diferiti de variabila explicativa X
Coeficientul de determinatie R2
Este o masura a proportiei variantei explicate de model

R2 este afectat de cresterea numarului de parametri; de aceea pentru modele cu multi parametri se calculeaza R2 ajustat, care are aceeasi interpretare.
![]()
Predictia folosind modelul de regresie
1.Tipuri de predictii
Estimari punctuale
Estimari pe intervale de incredere
2.Care e obiectul predictiei?
Media populatiei E(Y) pentru o valoare particulara a lui X
Valoarea individuala (Yi) pentru o valoare particulara a lui X

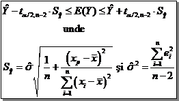
Interval de incredere pentru media lui Y

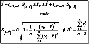
Interval de predictie pentru valori particulare

|