Teste statistice parametrice de comparare
8.2.1 Testul Student de comparare a unei medii cu media teoretica
Uneori cunoastem din literatura de specialitate care este media populatiei din care presupunem ca este extras un lot si dorim sa verificam ipoteza ca esantionul apartine īntr-adevar populatiei respective.
Sa presupunem ca
este media
teoretica si sa presupunem ca valorile masurate pentru
indivizii din lotul de comparat dau seria statistica:
, iar media de esantionare este
. Atunci variabila
aleatoare
,
obtinuta dupa formula:
are o
repartitie Student cu n-1 grade de libertate. Decizia o vom lua stabilind
care este plauzibilitatea ca
sa apartina repartitiei
Student cu n-1 grade de libertate. Vom cauta limitele dreapta-stānga īntre
care avem cuprinsa 95% sau 99% din aria de sub crba repartitiei
Student. Va fi deci suficient sa cauta 343b110d m valoarea lui
, sau
, data de
tabelele statistice pentru t, si
sa o comparam cu valoarea lui
O interpretare, a acestui test este deci urmatoarea:
Daca
, atunci
exista o diferenta semnificativa īntre media de
esantionare
si media teoretica ![]()
Daca
, atunci nu avem motive suficiente pentru a afirma ca
exista o diferenta semnificativa īntre media de
esantionare
si media teoretica ![]()
Īn figura 8.3, este aratat motivul pentru
care comparam
cu limita de cuprindere
a 95% (99%) din repartitie. Daca
este la dreapta
acestei limite, este putin probabil sa apartina
repartitiei respective si ipoteza H0
va fi respinsa ca falsa.

Figura 8.3 Pragul de 95% arata ca valori mai mici decāt acest prag sunt plauzibile, iar valori mai mari decāt acest prag sunt neplauzibile.
Exemplu practic:
Media
esantionare
=14,5
Media teoretica
=18
Deviatia standard s =12,5
Pragul teoretic tt =
=
=1,998
Volumul esantionului n = 84
Deci, calculam valoarea lui tc :
Deoarece tt < tc, luam decizia ca diferenta īntre media de esantionare si media propusa de ipoteza este semnificativa cu pragul de semnificatie de 95%
8.2.2 Testul z pentru compararea unei medii de esantionare cu o medie teoretica cānd dispersia teoretica este cunoscuta
Este cazul cānd este cunoscuta si deviatia standard teoretica s. Statistica

are o distributie care se apropie de distributia normala cu media 0 si abaterea standard 1. Īn figura 8.4, este aratat modul cum se alege pragul de semnificatie.

Figura 8.4 Alegerea pragului de semnificatie de 95% pentru testul z de comparare a unei medii de esantionare cu o medie teoretica cānd dispersia teoretica este cunoscuta
Se observa din figura 8.4, ca testul se bazeaza pe proprietatea distibutiei Gauss standard ca īntre -1,96 si 1,96 margineste sub curba 95% din aria egala cu 1 sau 100%, marginita de īntreaga curba si axa orizontala.
Exemplu de calcul:
Se stie ca pe un lot reprezentativ de pacienti bolnavi de meningita, īn anul trecut, s-a obtinut o medie latentei semnalului nervos pe nervul optic, de la retina la lobul occipital, de 105ms iar abaterea standard 8,5ms. Pe un esantion de 54 de pacienti bolnavi de meningita de diverse etiologii, s-a obtinut anul acesta o medie a latentei de 109,3ms. Sa se testeze daca media obtinuta compatibila cu cea de anul trecut la un prag de semnificatie de 95%.
Testarea se face prin calculul lui zc si compararea cu 1,96.
![]()
Deoarece valoarea statisticii īntrece pragul theoretic, ipoteza de nul se respinge la pragul de semnificatie de 95%. Media calculata pe esantionul de 54 de pacienti nu este compatibila cu media luata ca teoretica. Explicatia ar putea fi ca lotul de 54 de pacienti luat īn studiu nu este reprezentativ, probabil din cauza faptului ca a continut un procent prea mare de tipuri de meningite care modifica latenta.
8.2.3 Testul Student de comparare a mediilor. Cazul esantioanelor mari.
Vom face urmatoarele conventii pentru o mai buna īntelegere:
Populatia afectata are media m1 si abaterea standard s1, necunoscute.
Populatia neafectata are media m2 si abaterea standard s2, necunoscute.
Seria
X, extrasa din populatia afectata
are volumul n1, media de esantionare
si abaterea
standard
.
Seria
Y, extrasa din populatia
neafectata are volumul n2, media de esantionare
si abterea
standard
.
Ipotezele sub care lucreaza testul sunt:
H0: m1=m2 Mediile populatiilor din care provin cele doua esantioane sunt aceleasi).
H1: m1
m2 (Mediile populatiilor din care provin cele
doua esantioane nu sunt aceleasi).
Testul se bazeaza pe statistica:

care are o repartitie Gauss standard. Din tabele se ia pragul teoretic de 95% (sau de 99%), care este 1,96 (respectiv, 2,57).
Decizie:
Daca
, atunci exista o diferenta semnificativa
īntre mediile de esantionare
si
.
Daca
, atunci nu avem
motive suficiente pentru a afirma ca exista o diferenta
semnificativa īntre mediile de esantionare
si
Exemplu de calcul:
Determinari ale latentei semnalului nervos pe nervul optic la pacienti cu scleroza multipla si la normali, au aratat urmatoarele:
|
Volumul lotului |
Media de esantionare |
Deviatia standard |
|
|
Sanatosi | |||
|
Scleroza |
Ipotezele sunt:
H0: m1=m2 Mediile populatiilor din care provin cele doua esantioane sunt aceleasi).
H1: m1
m2 (Mediile populatiilor din care provin cele
doua esantioane nu sunt aceleasi).
Statistica testului este:
. Deoarece este mai mare decāt pragul de 1,96, ipoteza de nul
se respinge, diferenta īntre cele doua medii de esantionare este
semnificativa la pragul de semnificatie de 95%
8.2.4 Testul Student de comparare a mediilor. Cazul esantioanelor mici si dispersii egale
Fie seriile statistice:
, extras din populatia cu media m1
si dispersia s2 si
, extras din populatia cu media m2
si dispersia s2
Asadar, avem doua medii de
esantionare,
si
, doua
deviatii standard de esantionare
si
, iar ipotezele pe
care le facem sunt:
H0: m1=m2 Mediile populatiilor din care provin cele doua esantioane sunt aceleasi).
H1: m1
m2 (Mediile populatiilor din care provin cele
doua esantioane nu sunt aceleasi).
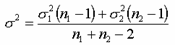
Daca populatiile sunt de aceeasi dispersie, atunci putem amesteca cele doua esantioane si sa estimam s2 prin dispersia de esantionare calculata luānd īn considerare ambele esantioane:
sau cum se poate scrie mai pe scurt:

unde la numitor s-a luat n1+n2-2, deoarece mediile celor doua loturi sunt doi parametri care se cunosc si deci trebuie sa scadem 2 din numarul de grade de libertate.
Cum din formulele de calcul pentru
si
, avem:
si
,
vom pune īn
formula lui
la
numarator, in locul celor doua sume care se aduna,
expresiile
si
. Deci, formula de calcul a dispersiei comune de
esantionare este:
![]()
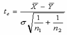
Testul se bazeaza pe statistica
,
care are o distributie Student cu n1+n2-2 grade de libertate.
Pentru a alege īntre ipotezele H0 si H1, ne folosim de aceasta statistica. Decizia este:
Daca
, diferenta este semnificativa la pragul de
semnificatie de 95%.
Daca
, diferenta este nesemnificativa la pragul de
semnificatie de 95%.
Sa mai amintim ca am folosit tacit ipoteza ca masuratorile efectuate pe indivizii din lot sunt independente, adica nu depind unele de altele ceea ce de fapt se si īntāmpla īn majoritatea cazurilor cānd este vorba de esantioane de pacienti.
Astfel, testul Student pentru loturi mici poate fi aplicat daca sunt īndeplinite urmatoarele conditii, numite conditii de aplicare pentru teste parametrice:
Exemplu de calcul:
Masurānd frecventa cardiaca la 9 pacienti cu hipertiroidie si la alti 9 pacienti cu hipotiroidie, au fost obtinute valorile din tabelul 8.1. Primul pas este calculul mediilor, al deviatiilor standard si al dispersiilor. Cum statistica testului foloseste direct dispersiile, deviatiile standard nu sunt absolut necesare.
Tabelul 8.1 Valorile frecventei cardiace la 9 pacienti cu hipotiroidie si 9 pacienti cu hipertiroidie. Mediile, deviatiile standard si dispersiile sunt calculate
pe ultimele trei linii
Calculele, decurg īn felul urmator:
![]()

Valoarea prag a lui t95% din tabele statistice este 2,12. Cum statistica testului depaseste valoarea prag, ipoteza de nul se respinge, diferenta īntre cele doua medii de esantionare este semnificativa la pragul de semnificatie de 95%.
|