Documente online.
Zona de administrare documente. Fisierele tale
Am uitat parola x Creaza cont nou
 HomeExploreaza
upload
Upload


Triunghiul proprietati si clasificare


Triunghiul proprietati si clasificare

o 

Triunghiul este un poligon format din trei laturi care se intalnesc doua cate doua

Perimetrul triunghiului P=AB+BC+AC

Aria triunghiului  , b fiind baza (BC) iar h fiind inaltimea (Ai)



Clasificarea triunghiurilor:

Triunghiul se imparte in trei categori:

o        Triunghiul echilateral- are toate laturile si unghiurile sale egale

o        Triunghiul isoscel- are doar doua laturi egale si diferite in lungime fata de cea dea treia

o        Triunghiul dreptunghic- are un unghi de 90 de grade

o        Triunghiul optuzunghic- are un unghi mai mare de 90 de grade

o        Triunghiul ascutit unghic- are unghiurile mai mici de 90 de grade

o        Triunghiul oarecare- toate laturile si unghiurile sale sunt diferite

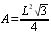
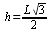
Triunghiul echilateral

Aria triunghiului  L fiind latura triunghiului



Perimetrul triunghiului P=3 x L

Inaltimea triunghiului

Triunghiul isoscel

Perimetrul P=AB+BD+AD

Aria 


Triunghiul dreptunghic

Aria triunghiului 

Perimetrul triunghiului -suma tuturor catetelor P=a+b+c adica P=AC+BC+AB

Inaltimea triunghiului 






Document Info


Accesari: 755
Apreciat: hand-up

Comenteaza documentul:

Nu esti inregistrat
Trebuie sa fii utilizator inregistrat pentru a putea comenta


Creaza cont nou

A fost util?

Daca documentul a fost util si crezi ca merita
sa adaugi un link catre el la tine in site


in pagina web a site-ului tau.




eCoduri.com - coduri postale, contabile, CAEN sau bancare

Politica de confidentialitate | Termenii si conditii de utilizare




Copyright © Contact (SCRIGROUP Int. 2025 )