Documente online.
Zona de administrare documente. Fisierele tale
Am uitat parola x Creaza cont nou
 HomeExploreaza
upload
Upload




Caracteristici BODE

tehnica mecanica


Caracteristici BODE


s


  Daca u(t) este un semnal sinusoidal atunci in regim permanent sinusoidal si y(t) este un semnal sinusoidal. El va avea alta amplitudine si alta faza.

Aceasta inseamna ca:


atunci


Se constata experimental ca relatia dintre y0 si x0 depinde de configuratia sistemului si de va 959h79j loarea lui . De asemenea valoarea lui depinde de configuratia sistemului si de valoarea lui

Pe baza acestor observatii s-au introdus caracteristicile de pulsatie numite in mod curent caracteristici de frecventa. Astfel se definesc caracteristicile:

(1) numita caracteristica de amplitudine si

(2) numita caracteristica de faza.


Dependenta lui si de ω este o trasatura generala a sistemelor. Expresiile lui f1 si f2 sunt specifice fiecarui sistem in parte. Din considerente practice inclusiv de reprezentare grafica se lucreaza cu alte caracterisitici care provin din f1 si f2. Ele au ca variabila logaritmul zecimal al lui ω.

Vom nota (3)

Axa absciselor este numita axa logaritmica (este impartita dupa valoarea logaritmului dar notata cu cantitatile logaritmate).


O decada 1dec este intervalul in care valoarea lui ω creste de 10 ori.






ω = 2πf


Daca x > 0 atunci 20lg(x) se numeste aproximarea lui x in decibeli xdB

x = 10 xdB = 20 dB

x = 2 xdB = 6dB

x = 0,5 xdB = 20 lg(1/2) = - 6 dB



Caracteristicile BODE reprezinta caracteristicile care inlocuiesc pe f1 si f2 astfel:


F1lg) = 20 lg f1(ω) = |f1|dB    (4)


Expresia lui f1 in dB considerata in functie de lg ω se numeste caracteristica amplitudine pulsatie.

A doua caracteristica numita caracteristica faza-pulsatie este F2lg)= f2(ω) (5)

adica considerarea fazei.

F1 si F2 se numesc caracterisitici BODE sau caracteristici logaritmice de pulsatie sau de frecventa.

Importanta caracteristicilor BODE consta in faptul ca ele reperzinta un model al sistemului, iar acest lucru rezulta dintr-un studiu care arata ca cele doua caracteristici pot sa fie obtinute cu ajutorul particularizarii functiei de transfer a sistemelor pe ramura pozitiva a axei imaginare astfel presupunem ca sistemul are functia de transfer H(s) adica H este definita pe tot planul "s".


Se numeste functie raspuns la pulsatie H(j ω) = H(s)| s=jω (6)

H(j ω) este un numar complex in reprezentare polara, astfel putem scrie:

(7)

Se demonstreaza ca in regim permanent sinusoidal semnalului de intrare u(t) = u0sin ωt ii corespunde la iesire semnalul y(t) = u0|H(j ω)|·sin (ωt+argH(j ω))

(8)

Ca urmare caracteristicile BODE pot fi scrise si sub forma:

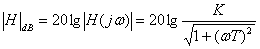
F1lg) = |H(j ω)|dB = |H|dB (9)

F2lg) = arg H(j ω) = φH (10)

pentru ω>0

Formulele (1), (2), (9) si (10) sunt foarte importante fiindca potrivit primelor formule caracteristicile BODE pot fi determinate experimental asa cum au fost definite, iar potrivit ultimelor formule acestea pot fi calculate analitic. In consecinta rezultatele obtinute pe cale analitica pot sa fie aplicate unor caracteristici obtinute experimental.

Exemple:

1. Un sistem electric - un circuit RC



uy



2. Un sistem mecanic - un sistem resort-amortizor




- sistem de ordinul I

m

- system de ordinul I

Forma generala a unui system de ordinul I este:

(11)

Functia de transfer a unui sistem de ordinul I va fi:



Un numar complex x+jy poate fi scris:

Astfel modulul va fi:

si defazajul va fi:
















zona

zona

zona

pulsatiilor joase

pulsatiilor medii

pulsatiilor inalte

Zona pulsatiilor medii caracterizeaza comportarea sistemului in regimul tranzitoriu propriu-zis.








Document Info


Accesari: 5069
Apreciat: hand-up

Comenteaza documentul:

Nu esti inregistrat
Trebuie sa fii utilizator inregistrat pentru a putea comenta


Creaza cont nou

A fost util?

Daca documentul a fost util si crezi ca merita
sa adaugi un link catre el la tine in site


in pagina web a site-ului tau.




eCoduri.com - coduri postale, contabile, CAEN sau bancare

Politica de confidentialitate | Termenii si conditii de utilizare




Copyright © Contact (SCRIGROUP Int. 2025 )