Cazuri de incarcare nesimetrice pe aripa - Sarcini de calcul pe ampenaje
Cazuri de incarcare nesimetrice pe aripa
Aceste tipuri de incarcari reprezinta cazurile in care sarcina aerodinamica este repartizata nesimetric pe cele doua planuri ale aripii.
Incarcarea asimetrica pe aripa
Situatia este reprezentativa pentru zborul la incidente mari. Atunci este posibil ca unul din planurile aripii sa intre partial in STALL, caz in care respectivul plan se "descarca" relativ brusc (vezi fifura de mai jos).
Caz de calcul:
Momentul de inertie in jurul axei Ox este:
Caracteristicile geometrice ale unui plan al aripii sunt:
- Coordonata y la incastrare este:
![]()
- Coordonata y la extremitatea aripii este:
![]()
- Coarda profilului aripii la incastrare:
![]()
- Coarda profilului aripii la extremitate:
![]()
- Unghiul de sageata la 25% din coarda:
![]()
![]()
- Unghiul de sageata la 50% din coarda:
![]()
![]()
- Anvergura aripii:
![]()
- Suprafata aripii:
![]()
- Alungirea aripii:
- Panta curbei de portanta:
In continuare vom defini functiile care ne dau distributia de portanta in lungul anvergurii
aripii (utilizam o distributie data de metoda DIEDERICH):
S-a facut o interpolare tip Lagrange dupa doua variabile:
unde
reprezinta raportul
si este intotdeauna subunitar.
Pentru incarcare asimetrica avem urmatoarele conditii initiale (se considera o manevra in care unul din semiplanuri se descarca brusc pana la k% din sarcina din cazul initial):
- Viteza si factorul de sarcina:
- Altitudinea de zbor este:
[m]
- Densitatea aerului la altitudinea de 0 m este:
![]()
- Temperatura aerului la altitudinea de 0 m este:
[K]
- Temperatura aerului la altitudinea de 6100 m este:
![]()
- Densitatea aerului la altitudinea de 6100 m este:
![]()
- Viteza sunetului la altitudinea de 6100 m este:
![]()
- Numarul Mach corespunzator vitezei VA este:
![]()
- Masa avionului:
![]()
- Greutatea avionului:
- Coarda medie geometrica:
![]()
- Corectia de compresibilitate a unghiului de sageata:
- Variatia corzii in anvergura:
- Dependenta Cz de factorul de sarcina n si viteza v:
In conditiile initiale date avem:
Functia care ne da forma repartitiei de portanta in anvergura:
Distributia de portanta in lungul anvergurii este o functie de y, de factorul de sarcina
n si de viteza v:
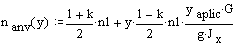
Punctul de aplicatie al portantei pe un semiplan este definit de relatia:
![]()
Coeficientul de descarcare al aripii (in acest caz pentru un avion de acrobatie):
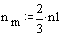
Variatia factorului de suprasarcina in lungul anvergurii in timpul manevrei este data de relatia:

Incarcarea disimetrica pe aripa
Situatia apare in cazul unui bracaj de aripioare (eleroane, elevoane), bracaj evident asimetric. Din punct de vedere al calculului structurii aeronavei ne intereseaza numai efectele momentului aerodinamic de comanda precum si al fortelor aerodinamice locale suplimentare.
Conditii initiale:
- Factorul de suprasarcina:
![]()
- Momentul de inertie:
![]()
- Altitudinea de zbor:
![]()
- Temperatura aerului la altitudinea de 0 m este:
![]()
- Densitatea aerului la altitudinea de 0 m este:
![]()
- Densitatea aerului la altitudinea de 6100 m este:
![]()
- Acceleratia gravitationala:
![]()
- Cazurile de calcul sunt pentru vitezele VA, VB si VC:
![]()
![]()
![]()
![]()
![]()
- Factorul de suprasarcina initial:
![]()
- Manevra (se presupune un bracaj brusc de eleroane):
in grade
in radiani
Efecte:
- Unghiul de sageata al sarnierei:
in grade
in radiani
![]()
![]()
- Momentul de ruliu dat de un bracaj antisimetric de eleroane este:
Cazul evolutiei cu VA:
Cazul evolutiei cu VB:
Cazul evolutiei cu VC:
Acceleratia unghiulara:
![]()
![]()
Factorul de sarcina local va fi in final:
![]()

Observatie:
Se presupune ca bracajul antisimetric nu afecteaza semnificativ portanta aripii
si ca urmare aceasta se considera
Sarcini de calcul pe ampenaje
Sarcini de calcul pe ampenajul orizontal
In principiu normele de proiectare au in vedere sarcini aparute ca urmare a unor manevre bruste si/sau controlate de ampenaj orizontal si sarcini datorate rafalelor. Sarcinile de manevra se datoreaza bracajelor, dupa o anumita lege, ale profundorului. Ca si in alte situatii calculele au in vedere numai efectele instantanee asupra fortelor si momentelor ce solicita structura aeronavei, nu si studiul evolutiei avionului ca urmare a acestor solicitari.
Efectele manevrelor si/sau rafalelor se suprapun peste ale evolutiilor la echilibru. In diagrama de manevra s-au analizat situatiile de echilibru.
Sarcini de manevra brusca de profundor
Regimul initial:
![]()
Manevra: Se considera bracaje maxime de profundor. Bracajul este limitat de efortul
la mansa sau de limitatorii de cursa.
in grade
in grade
in radiani
in radiani
Suprafata ampenajului orizontal:
![]()
Pozitia centrului de greutate al avionului:
![]()
Distanta de la CG al avionului la punctul de aplicatie al fortei portante:
![]()
Momentul de inertie:
![]()
Acceleratia gravitationala:
![]()
Masa avionului:
![]()
Greutatea avionului:
![]()
![]()
Panta curbei de portanta a ampenajului orizontal:
Suprafata aripii:
![]()
Altitudinea de zbor:
![]()
Temperatura aerului la altitudinea de 0 m este:
![]()
Densitatea aerului la altitudinea de 0 m este:
![]()
Densitatea aerului la altitudinea de 6100 m este:
![]()
Raza de giratie:
![]()
Variatia de portanta pe ampenajul orizontal:
Bracaj maxim pozitiv:
![]()
Bracaj maxim negativ:
![]()
Momentul de tangaj:
Bracaj maxim pozitiv:
Bracaj maxim negativ:
Acceleratia unghiulara:
Bracaj maxim pozitiv:
![]()
Bracaj maxim negativ:
![]()
Distributia factorului de suprasarcina:
Pentru bracaj maxim pozitiv:
Pentru bracaj maxim negativ:
6.2.1.2.Sarcini de manevra controlata de profundor
Regim initial (considerat caz limita):
Manevra controlata: Se presupune ca exista un bracaj de profundor (valoarea sa nu ne intereseaza) care conduce la acceleratia de tangaj:
![]()
Forta suplimentara pe ampenajul orizontal:
![]()
Factorul de suprasarcina local in lungul axei Ox va fi:

Sarcini de calcul pe ampenajul vertical
Aceste sarcini se datoreaza zborului cu deriva, manevrelor de directie si/sau rafalelor laterale. Fortele pe ampenajul vertical se considera aplicate in focarul acestuia si se calculeaza tinand cont de prezenta fuselajului.
6.2.2.1.Sarcini de manevra brusca de directie in zbor simetric
Caz initial: Aeronava este in zbor simetric cu:
Manevra: Se presupune un bracaj brusc de directie pana la valorile maxime posibile:
in grade
in grade
in radiani
in radiani
Efecte:
Suprafata ampenajului vertical:
![]()
Pozitia centrului de greutate al avionului:
![]()
Distanta de la CG al avionului la punctul de aplicatie al fortei portante pe axa Ox:
![]()
Distanta de la CG al avionului la punctul de aplicatie al fortei portante pe axa Oz:
![]()
Momentul de inertie:
![]()
![]()
Acceleratia gravitationala:
![]()
Masa avionului:
![]()
Greutatea avionului:
![]()
Panta curbei de portanta a ampenajului vertical:
Suprafata aripii:
![]()
Altitudinea de zbor:
![]()
Temperatura aerului la altitudinea de 0 m este:
![]()
Densitatea aerului la altitudinea de 0 m este:
![]()
Densitatea aerului la altitudinea de 6100 m este:
![]()
Variatia portantei:
![]()
![]()
Momentele de ruliu si giratie ce apar datorita variatiei pozitive de portanta:
Bracaj pozitiv:
Razele de giratie:
Acceleratiile unghiulare:
Bracaj negativ:
Uzual efectul DMx se neglijeaza. Asadar, in final, factorul de sarcina lateral (Oy) este:
6.2.2.2.Sarcini de manevra de directie in zbor cu deriva
Se considera un zbor cu deriva peste care se suprapune efectul unui bracaj de directie maxim (cu sens de valoare initiala). Bracajul are sensul corespunzator cresterii unghiului de deriva.
Initial:
Deriva:
in radiani
Bracajul de directie:
in radiani
Efecte: Zborul cu deriva j conduce la sarcina pe ampenajul vertical:
![]()
Variatia de portanta datorata bracajului d astfel incat sa creasca unghiul de deriva:
![]()
Raza de giratie:
Acceleratia de giratie este:
In final factorul de sarcina lateral este:
6.2.2.3.Sarcini in zborul cu deriva
Se considera un zbor cu deriva:
![]()
factorul de sarcina
unghiul de deriva
Portanta pe ampenajul vertical datorata derivei este:
![]()
Momentul de giratie datorat Pv este:
![]()
Acceleratia unghiulara instantanee este:
Raza de giratie:
Factorul de sarcina lateral este:
6.2.2.4.Sarcini de rafala laterala pe ampenajul vertical
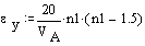
Initial: Aeronava se afla in zbor orizontal si simetric cu:
este in km/h si in
sens EAS
![]()
Rafala laterala:
coarda medie
geometrica
masa
avionului
![]()
![]()
Forta laterala pe ampenajul vertical in rafala este:
Momentul de giratie datorat fortei DPrafala si considerand comenzile blocate este:
Acceleratia de giratie instantanee este:
Factorul de sarcina lateral in rafala este:
in rafala pozitiva
in rafala negativa
|