ALTE DOCUMENTE
|
||||||||||
DISPOZITIVE PASIVE
În emitatoare se folosesc pe scara larga o serie de dispozitive pasive, care sunt asociate diferitelor circuite electronice, împreuna cu care, formeaza un ansamblu functional. Denumirea de "pasive", provine de la faptul ca acestea - pentru a functiona - nu sunt conectate la surse de tensiune, dar, prin ele trec curenti de radiofrecventa, divizeaza sau însumeaza puteri, conecteaza surse de RF diferite pe o sarcina comuna, filtreaza armonicile produse de echipamentele active, sau sunt folosite pentru echilibrarea functionarii altor dispozitive si absorb o parte a puterilor produse de dezechilibrarea acestora.
|
Fig. 86. Cuplor de 3 dB - constructie |
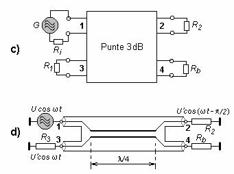
Cuplorul de 3 dB este un dispozitiv cu o constructie relativ simpla, formând o punte din doi conductori cuplati. Puntea este formata din doua linii simetrice cu lungimi de λ/4 închise într-un ecran metalic. Terminalele puntii (numite port) sunt mufe (conectoare) coaxiale (fig. 86). Din punct de vedere electric cuplorul de 3 dB este un dispozitiv liniar.
În unele variante ale schemei în punte se monteaza si o rezistenta de balast Rb. În particular, în cazul functionarii simultane a generatoarelor (emitatoarelor), în rezistenta de balast nu se pierde putere, în cazul unei relatii convenabile între amplitudinile si fazele tensiunilor U1 si U2. Prin deconectarea unui generator, puterea celui de al doilea se împarte în mod egal între rezistentele de sarcina (Rs) si de balast (Rb).
Dezvoltarea principiului de însumare a puterilor în punte, a dus la crearea unor scheme în punte cu mai multe porturi care permit adunarea puterilor unui numar dat N de generatoare (amplificatoare). Prin conectarea tuturor celor N amplificatoare, randamentul schemei în punte tinde spre 100%; el scade în cazul deconectarii unor amplificatoare, deoarece o parte de putere se pierde în reziste 757c25h ntele de balast.
Un dispozitiv în punte de însumare a puterilor poate fi considerata ca o retea cu 4 porturi (fig. 87a); la doua porturi sunt conectate rezistentele Rs si Rb, iar la celelalte doua - generatoarele, care nu sunt cuplate (nu exista influenta) între ele în cazul realizarii echilibrarii.
Potrivit principiului
reciprocitatii, acest dispozitiv poate fi transformat într-un
dispozitiv în punte echilibrat, de divizare
a puterilor, asa cum se arata în fig. 87c: pentru R1 =
R2 puterea generatorului
se divide între rezistentele de sarcina R1 si R2,
fara pierderi în rezistenta de balast Rb. Daca impedanta proprie a
generatorului Ri = Rb
atunci orice modificare a modulului si a fazei unei sarcini (chiar si
scurtcicuitarea

ei) nu schimba tensiunea pe
cealalta sarcina. Proprietati analoage are dispozitivul în
punte multipol pentru divizarea puterii între N sarcini.

Fig. 87. Considerarea
puntii de însumare ca o retea cu patru porturi (octopol) pasiva
a si b - însumarea puterilor a doua generatoare; c si d - divizarea puterii unui generator între doua rezistente de sarcina R1 si R2
Echilibrarea puntii într-o banda larga de frecvente, poate fi perturbata într-un grad sau altul, din cauza prezentei în schema ei a elementelor reactive si a eventualei variatii a impedantei de sarcina. În acest caz, impedantele de intrare ale puntii se modifica si adaptarea puntii cu generatorul, se înrautateste. Situatia se complica suplimentar din cauza aparitiei unor cuplaje parazite între generatoare.
Functionarea puntii se bazeaza pe posibilitatea determinarii conditiilor de excitare simultana a liniilor sale cu unde în antifaza sau în faza. În antifaza, undele în ambele conductoare ale liniei în oricare sectiune transversala, au tensiuni - fata de de masa - egale si în opozitie de faza. În faza, undele au tensiunea aceeasi atât ca marime cât si ca faza. Fiecarui tip de unda, îi corespunde propria impedanta, adica linia în conditiile date, se caracterizeaza prin dubla impedanta (fig. 88).
|
Fig. 98. Decuplarea antenei de etajul final al emitatorului |
2. Decuplarea antenei.
Eventuala dezadaptare a sistemului radiant determina aparitia reflexiilor si perturbarea functionarii emitatorului. Undele reflectate ajung la circulator iar acesta le dirijeaza în rezistenta de balast Rb.
Circulatorul are foarte multe alte aplicatii în microunde, sisteme de masura, radiolocatie etc.
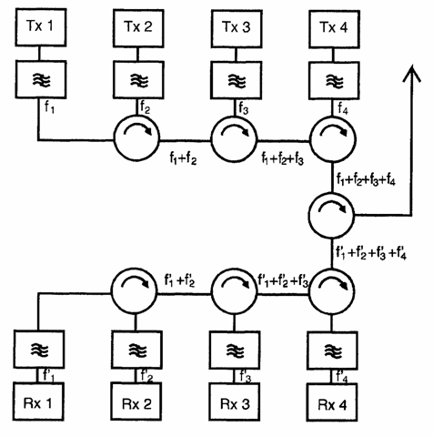
3. Aplicatie în domeniul microundelor (RR)

În figura este prezentata o statie de RR cu patru emitatoare, respectiv patru receptoare conectate la antena prin intermediul circulatorilor.
5.6. DIPLEXERUL
Diplexerul este un dispozitiv care permite functionarea simultana pe aceeasi antena a doua emitatoare care lucreaza pe frecvente diferite, au largimi de banda foarte diferite, asigurând decuplarea între emitatoarele respective.
Un exemplu de utilizare frecventa este cel din televiziune în care se transmit:
Un canal de imagine, de banda larga (de la 6 la 10 MHz);
Un canal de sunet cu banda redusa (câteva zeci de kHz).
Cele doua canale trebuiesc cuplate pe aceeasi antena dar în acelasi timp, emitatoarele - între ele - trebuie sa fie foarte bine decuplate.
5.6.1. Functionarea diplexerului
5.6.1.1. Diplexer cu filtre înseriate cu cuplorii
Diplexerul descris în figura 99 utilizeaza doua cuploare de 3 dB conectate în punte si doua filtre identice. Filtrele contin doua cavitati acordate pe frecventa centrala a sunetului cuplate între ele. Astfel, întreg ansamblul lasa cale libera frecventei purtatoare a sunetului si reflecta frecventa purtatoare imagine.

Fig. 99. Diplexer cu
filtre înseriate cu cuplorii de 3 dB
Cavitatile folosite în diplexer sunt adaptabile pentru toate normele de sunet. Ca urmare selectivitatea filtrului trebuie ajustata pentru fiecare tip de sunet.
Frecventa purtatoare sunet se aplica pe portul 1 al cuplorului din stânga si se distribuie celor doua filtre prin porturile 2 si 3. Pentru aceasta frecventa, filtrele prezinta o impedanta joasa, ca atare, semnalul trece prin filtre si se aplica porturilor 2 si 3 al cuplorului din dreapta si se va regasi la iesirea spre antena la portul 4 . Frecventa purtatoare a sunetului la portul 1 este în antifaza cu semnalul de la portul , astfel încât, se anuleaza.
Puterea corespunzatoare frecventei purtatoare imagine se aplica portului 1 al cuplorului din dreapta. Filtrele prezinta pentru aceasta frecventa o impedanta mare, asa încât, ea va fi reflectata si însumata la portul 4 spre antena.
Asa dar, prin acest dispozitiv (diplexer) s-au putut conecta doua generatoare cu frecvente diferite pe o singura sarcina, iar între generatoare nu a existat nici-o influenta.
5.6.1.2. Diplexer cu cavitati rezonante in derivatie
În figura 100 este prezentat diplexerul cu doi cuplori de 3 dB combinat cu doua cavitati rezonante acordate pe frecventa purtatoare a sunetului, au un foarte ridicat factor de calitate si a carui impedanta de intrare este foarte mica pentru f = fsunet si foarte mare pentru f ≠ fsunet. Cavitatile rezonante (CR1 si CR2) sunt conectate în derivatie pe traseul de propagare care leaga 2 cu 2 si 3 cu 3

Fig. 100. Diplexer cu cavitati rezonante în derivatie
Cavitatile rezonante CR1 si CR2 sunt filtre rejectoare, iar în punctul de conectare pe liniile 2 - 2' si 3 - 3' ele prezinta scurtcircuit pentru frecventa purtatoare a sunetului, dar lasa sa treaca frecventa purtatoare de imagine. În aceasta situatie puterea semnalului de imagine aplicata la portul 1 al cuplorului din stânga se divizeaza în mod egal pe diagonala 2-3 si trece fara obstacole în cuplorul din dreapta si se însumeaza în portul 4' spre antena. Puterea reflectata de catre filtrele rejectoare din cauza neuniformitatilor de conectare (în cantitate foarte mica), se întoarce la cuplorul din dreapta si va fi absorbita de rezistenta de balast Rb.
Puterea corespunzatoare frecventei purtatoare a sunetului însotitor care intra în puntea din dreapta pe portul 1 se divide între porturile 2" si 3 . Dupa ce este reflectata de filtrele rejectoare revine în punte, se însumeaza si trec spre antena. O neînsemnata parte din energie care trece de filtrele rejectoare, ajung în puntea din stânga si este absorbita de rezistenta de balast.
Observatie.
În unele cazuri, între cuplorii diplexerului se monteza filtre rejectoare acordate pe frecvente din banda laterala inferioara a semnalului de imagine, care a fost suprimata. În acest caz, acele frecvente nu vor ajunge în cuplorul din dreapta (fig. 100) si mai departe în antena, însa se reflecta în filtru si revin în cuplorul din stânga unde sunt absorbite de rezistenta de balast. Acest procedeu asigura formarea benzii laterale inferioare, sau contribuie la atenuarea suplimentara a semnalelor cu o anumita pondere, din spectrul frecventelor ale restului de banda.
Frecventele de acord ale filtrelor rejectoare, în mod obisnuit, se determina în felul urmator: la limita inferioara a benzii suprimate fimagine - 1,25 MHz; pe frecventa subpurtatoare de crominanta fimagine - 4,43 MHz si altele daca se considera necesar (fig.101). Frecventa egala cu -1,25 MHz fata de purtatoare este importanta deoarece este la limita benzii si ar putea afecta sunetul din canalul adiacent inferior. Frecventa egala cu -4,43 MHz fata de purtatoare este produsul modularii în amplitudine a frecventei subpurtatoarei de crominanta, în banda laterala inferioara. Aceasta frecventa "cade" în banda video a canalului adiacent inferior si daca nivelul ei nu este redus corespunzator poate produce perturbatii în acel canal (fig. 101).
Fig. 101. Relatiile între caracteristicile de frecventa ale emitatoarelor
a - spectrele nominale radiate de emitatoarele TV;
b - caracteristica de frecventa a emitatorului de imagine

În unele documentatii tehnice sau lucrari de
specialitate, diplexerul asa cum a fost el definit, daca are în
componenta si filtre rejectoare pentru corectarea benzii
laterale inferioare, este numit filtreplexor
(fig. 102).
Fig. 102. Schema de principiu a diplexerului (filtreplexerului) emitatorului tip Zona
|