MASURAREA IMPEDANTELOR PRIN METODE DE PUNTE

Fig. 24
Schema generala a puntii de curent alternativ 111g67b este prezentata în figura 24. Conditia de echilibru a puntii este:
![]()
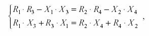
Ecuatia , în complex, este echivalenta cu doua ecuatii scalare ce pot fi scrise sub forma:

sau sub forma:

în
care:
= R1+jX1;
= R2+jX2;
= R3+jX3;
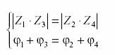
= R4+jX4 sau, pentru deducerea sistemului, sub forma
= │ZK│ejφk,
k=1,2,3,4.
Observatii:
1. Conditia de echilibru este data de un sistem de doua ecuatii ce trebuie satisfacute simultan. Îndeplinirea acestei conditii se poate realiza prin reglarea a cel putin doi parametri în schema puntii.
2. Scrierea impedantelor sub forma
=R+jX presupune de obicei schema serie pentru impedante, însa
acestea pot fi realizate si cu schema
paralel a componentelor R, L, C . De
aici posibilitatea realizarii unei diversitati foarte mari de punti de curent
alternativ. Totusi, nu toate aceste punti pot fi echilibrate, iar altele permit
cu greu atingerea echilibrului sau sunt neconvenabile ca realizare.
3. Conditia de faza ( limiteaza
numarul puntilor ce pot fi echilibrate. De exemplu, puntea din figura 25,a este imposibil de echilibrat deoarece
f + f , iar - 900 < f + f < 900. Schimbând însa
cu
se obtine
puntea din figura 25,b la care
echilibrul este posibil.

Fig. 25
4. Puntile cele mai convenabile sunt acelea la care cele doua marimi masurate pot fi citite separat. Acest lucru este posibil daca doua dintre impedantele puntii sunt fie rezistente pure, fie reactante pure (adica doua din unghiurile f , f , f sau f sa fie 00, + 900 sau - 900).
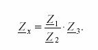
În
general, impedanta de masurat este complexa (
= Rx+jXx) , ceea
ce implica existenta în punte a unui alt brat de forma
= R+jX (brat
de referinta sau brat de comparatie), celelalte doua brate fiind de forma
= R sau
= jX (brate auxiliare).
Puntile
în care bratele auxiliare sunt apropiate se numesc punti de raport, iar cele cu brate auxiliare opuse se numesc punti de produs. Pentru puntea de raport la care
este bratul de
referinta, conditia de echilibru este:

Astfel, impedanta
poate fi comparata cu impedanta
. Daca raportul
/
este real, puntea compara
doua impedante de acelasi fel (ambele inductive sau ambele capacitive). Pentru puntea de produs la care
este bratul de referinta conditia de echilibru se scrie:

La aceste punti masurarea poate fi privita ca
o comparare a impedantei
cu admitanta
. Daca produsul
*
este real puntea compara
doua impedante de tipuri diferite (una
inductiva cu una capacitiva).
5. Puntile care se pot echilibra sunt convergente. Puntile la care componentele masurate Rx si Xx se echilibreaza independent au convergenta maxima si sunt preferate în masurarile curente. La aceste punti numarul reglajelor succesive este minim, depinzând de sensibilitatea indicatorului de nul.
6. În unele cazuri conditiile de echilibru nu depind de frecventa tensiunii de alimentare a puntii. Acele scheme sunt preferate în masurari, evitânduse astfel constructiile unor surse de alimentare riguros sinusoidale.
Bibliografie :
1. ANTONIU, M., Masurari electronice - metrologice, aparate de masura analogice ;
Editura " Gh. Asachi", Iasi, 1995;
2. HELFRICK, A.D., Modern Instrumentation and Measurement Techniques;
Editura "Pretince-Hall International Inc.", 1990;
3. ILIESCU, C., Masurari electrice si electronice ;
Editura Didactica si Pedagogica , Bucuresti, 1986 ;
4. MANOLESCU, P., CARMEN IONESCU GOLOVANOV, Masurari electrice si electronice ;
Editura Didactica si Pedagogica, Bucuresti, 1988 ;
5. MAZDA, F. F., Electronic Instruments and Measurement Techniques ;
University Press,
6. MILLEA, A., Masurari electrice- principii si metode;
Editura Tehnica, Bucuresti, 1989 ;
7. NICOLAU, E., Manualul inginerului electronist ;
Edituta Tehnica, Bucuresti, 1990 .
|