Documente online.
Zona de administrare documente. Fisierele tale
Am uitat parola x Creaza cont nou
 HomeExploreaza
upload
Upload




MASURARI DE REZISTENTE CU PUNTEA WHEATSTONE

tehnica mecanica


MĂSURĂRI DE REZISTENTE CU PUNTEA WHEATSTONE


Principiul lucrarii:



Puntea Wheatstone este un montaj electric care permite masurarea cu precizie a rezistentelor prin metode de comparatie cu rezistente etalon.

O punte Wheatstone consta, în esenta, dintr-o retea electrica completa, pur rezistivâ, alcatiuta din patru laturi si patru noduri, alimentata în curent continuu. Plasând rezistenta de masurat într-una din laturi, iar în celelalte trei/ezistente de comparatie cunoscute, tensiunea între doua noduri neadiacente unei aceleiasi kîuri depinde de rezistentele retelei si poate fi utilizata pentru determinarea rezistentei necunoscute.


Fig. 1 - Schema de principiu a puntii Wheatstone

Schema de principiu a puntii Wheatstone este prezentata în Fig. 1, în care:

a, b - rezistente de precizie ridicata care pot fi modificate în trepte zecimale; la uncie punti montate (asamblate) se modifica direct (in trepte zecimale) raponul a/b;

R - rezistenta de precizie ridicata din care se asigura echilibrarea puntii, alcatuita din înscrierea mai multor rezistente deeadice variabile, cu treapta minima de variatie 0,010-1 Q;

X - rezistenta de masurat;

DN - detector de nul(galvanomctru);

E - sursa de alimentare cu tensiune continua;

Rh - reostat dereglaj.

Se pot pune în evidenta, pe structura din Fig 1, doua diagonale cu roluri functionale diferite:

AB - diagonala de alimentare, în care este plasata sursa de tensiune continua;

CD - diagonala de masurare, in care se afla conectat aparatul de masurat (galvanometrul), care indica tensiunea UCD, între nodurile C si D (respectiv curentul Ig generat de aceasta).

Pentru protectia galvanometralui, în serie cu acesta se prevede rezistenta Rp, care poate fi scoasa din circuit prin apasarea butonului cu revenire BR.

Puntea Wheatstone poate lucra In regim echilibrat sau dezechilibrat; echilibrarea se poate realiza manual (de catre operator) sau automat - prin reactie -pe baza informatiei furnizate de valoarea tensiunii de dezechilibru UCD în cadrul lucrarii se va studia puntea Wheatstone lucrând în regim echilibrat, cu echilibrare manuala:


1.1. Functionarea puntii Wheatstone în regim echilibrat

Pentru anumite valori ale rezistentelor din laturile (bratele) puntii, tensiunea UCD, si respectiv, curentul Ig se anuleaza. Aceasta situatie corespunde regimului echilibrat al puntii si prezinta avantajul ca permite determinarea valorii rezistentei de masurat X numai în functie de valorile rezistentelor a, b si R din celelalte laturi, fara a depinde de elementele digonalei de alimentare si diagonalei de masurare. Într-adevar, pentru Ig=0, trbuie îndeplinite conditiile:

aI1 = bl (1)

XI1=RI2 (2)

de unde rezulta:

X=a/b*R (3)

Masurarea rezistentelor cu puntea Wheatstone îh regim echilibrat consta deci,, în modificarea valorilor rezistentelor de comparatie a, b, R pâna ce se obtine indicatia Ig = 0 la aparatul de masurat. Asadar masurarea se face printr-o metoda de zero, deci aparatul de masurat trebuie sa fie un detector de nul (aparat demare sensibilitate care nu necesita o scara gradata extinsa, el fiind utilizat numai pentru a sesiza anularea curentului prin diagonala de masurare).

Datorita simplitatii relatiei (2) de determinare a rezistentei X, cat si a preciziei ridicate de masurare (dependenta fn exclusivitate de precizia rezistentelor de comparatie), puntea Wheatstone în regim echilibrat reprezinta unul din cele mai utilizate mijloace de masurare a rezistentelor.

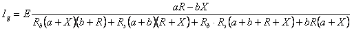
În cazurile în care rezistentele din laturile puntii nu satisfac relatia (2), deci tensiunea UCD≠0, puntea Wheatstone se afla în regim dezechilibrat. Curentul prin diagonala de masurare Ig este dat de relatia (3), dedusa prin aplicarea legilor Kirchhoff:

(4)

în care:

Rs - rezistenta diagonalei de alimentare;

Rb - rezistenta diagonalei de masurare.

Se poate constata ca în regim dezechilibrat rezistentele a, b, R, RD, Rs, precum si tensiunea E fiind fixate, lg depinde numai de rezistenta X si printr-o adecvata a scarii aparatului de masurat (care numai este detector de nul), se poate citi direct valoarea rezistentei de masurat

Este evident ca la efectuarea masurarilor în regim dezechilibrat, precizia este mai redusa, intervenind in plus erorile introduse de aparatul de masurat, de rezistentele celor doua diagonale si de variatiile tensiunii sursei de alimentare.

Relatia (3) permite efectuarea unei analize pe baza careia sa se poata deduce atât modalitatile de echilibrare sistematica a puntii, cât si de exprimare a indicatorilordc calitate ai masurarilor cu puntea Wheatstone.

Se remarca usor câ punând în relatia (3) conditia Ig=0 se obtine imediat relatia (2).

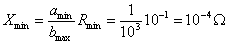
Domeniul de masurare; conform relatiei (2), limitele superioara si inferioara ale rezistentelor ce pot fi masurate cu puntile Wheatstone uzuale se pot determina, teoretic cu relatiile:

Domeniul practic de masurare cu aceste punti este însa mai restrâns, îndeosebi în ceea ce priveste limita inferioara care nu poate fi mai mica de 1Ω (întrucât rezistentele de contact si cele ale firelor de legatura devin comparabile cu rezistenta de masurat); pentru X>106Ω sensibilitatea puntii scade considerabil. Rezulta câ, pentru asigurarea calitatii masurarii, domeniul practic de utilizare a puntii Wheatstone este 1Ω≤X≤105Ω .


11. Chestiuni de studiat;

2.1.Se vor masura rezistentele etalon de 10Ω, 100Ω, 1000Ω si 10000Ω pe diverse rapoarte a/b, stabi!indu-sc raportul cel mai convenabil pentru fiecare din valorile mentionate.

2.2.Se vor efectua masurari asupra unui set de 5 rezistente industriale de valoare necunoscuta.

2.3.Pentru un lot de 5 rezistente industriale de valoare cunoscuta se va verifica incadrarca în clasele de tolerante standardizate.

2.4.Se vor masura rezistentele interne ale unui muitimetru (pozitionat pe V c.c.) pe toate scarile acestuia si se vor compara cu valorile înscrise pe scala.


III. Schemele de montaj si modul de lucru:

NOTA: În continuare se descriu schemele de montaj si modul de lucru bazate pe utilizarea puntii Wheatstone tip RWh 2.1a (INMB); pentru alte tipuri de punti montajele si operatiile de efectuat sunt similare, deosebirile fiind sesizate la performantele acestora si amplasarea diferita a elementelor de reglaj.

Pentru toate punctele prevazute la chestiuni de studiat se executa montajul din Fig.2.

în care:

SA- sursa de c.c. externa de alimentare a puntii Wheatstone fixata initial, înainte de conectarea la bornele B, pe baza indicatiei volumului V sau a elementelor sale de reglaj, la valoarea de 6 V;

DN - detector de nul (galvanometru) cu sensibilitatea de curent S1≥106 pentru asigurarea unui regim tranzitoriu minim acului (spotului) galvanometrului, în paralel cu acesta s-a prevazut rezistenta Rexd egala cu rezistenta critica exterioara a galvanometrului utilizat;

X - rezistenta necunoscuta (de masurat).



Fig. 2 Schema montajului pentru masurarea rezistentelor cu puntea Wheatstone


OBSERVATII IMPORTANTE

A. înainte de cuplarea sursei SA în circuitul puntii Wheatstone, sau la schimbarea rezistentei de masurat X, ambele taste "BRUT" si "FIN", prin care se

introduce în circuit detectorul de nul (galvanometru), trebuie obligatoriu sa fie de presate!

B. Pentru a asigura manevrarea optima a rezistentei de echilibrare R, printr-o polartare adecvata a puntii, este necesara o etapa pregatitoare, care se efectueaza astfel:

- se conecteaza la bornele rezistentei Rt o rezistenta etalon de IOQ;

- se fixeaza R pe valoarea I2Q;

- se apasa tasta "BRUT" urmar induse deviatia galvanometrului; daca deviatia acestuia este spre stânga se vor inversa conexiunile sursei SA la bornele punfii (sau se va apasa butonul de inversare al polaritatii BP existent pe panoul frontal al puntii Wheatstone tip RWh 2.1a.); aceasta configuratie va ramane nemodificata pe perioada efectuarii tuturor determinarilor deoarece, atunci când deviatia galvanometrului este spre dreapta rezulta ca (a/b)R>X si în consecinta R trebuie micsorata pentru asigurarea echilibrarii puntii, iar când deviatia este spre stânga rezulta ca (a/b)R<XsJ deci R trebuie marita.

ATENŢIE! Orice determinare, care îheepe dupa ce îh prealabil s-a conectat sursa SA în circuitul puntii Wheatstone, iar rezistenta X s-a fixat la bornele R^, presupun mai întâi apasarea tastei "BRUT" si manevrarea rezistentei de echilibrare R pâna la aducerea indicatiei galvanometrului la zero, si apoi apasarea tastei "FINM manevrând rezistenta R din ploturile cele mai putin semnificative pentru aducerea indicatiei galvanometrului la zero.

3.1.Pentru efectuarea determinarilor, conform punctului 2.1. de la chestiuni de studiat, se conecteaza la punte prima dintre rezistentele etalon indicate. Deoarece valorile rezistentelor de masurat sunt cunoscute, se vor alege pentru masurare toate rapoartele a/b care fac posibila masurarea, tinând seama de caracteristicile puntii, pentru indcplinirea relatiei (2).

Masurarile se vor face, utilizând pe rând toate aceste rapoarte, procedându-se în felul urmator:

- se fixeaza raportul a/b si rezistenta R la o valoare convenabila;

- se apasa tasta "BRUT" si se cautâ ca prin manevrarea lui R sâ se aduca indicatia detectorului de nul la zero;

- echilibrarea astfel obtinuta este apoi verificata, prin apasarea tastei "FIN", manevrandu-sc eventual rangurile zecimale inferioare ale rezistentei R.

Daca sunt situatii m care pe pozitia "FIN", nu se poate obtine o echilibrare perfecta, se trece la determinarea rezistentei necunoscute prin interpolare. Pentru aceasta, cu tasta "FIN" apasata, se dau din rangul cel mai putin semnificativ a! rezistentei R, doua valori R, si R2 care sa produca deviatii de 3-5 diviziuni ale spotului galvanometrului, la stânga, respectiv la dreapta lui zero.

Pentru fiecare rezistenta etalon masurata se va indica raportul a/b optim din punct de vedere al posibilitatii de utilizare a cât mai multor decade ale rezistentei R.

Rezultatele masuratorilor se trec intr-un tabel conform modelului prezentat în paragraful IV.

3.2.Pentru masurarea unei rezistente industriale necunoscute, conform punctului 2.4. al chestiunilor de studiat, se va proceda îh felul urmator:

- se conecteaza rezistenta necunoscuta Ia bornele Rx;

- se fixeaza raportul a/b=l, se da lui R valoarea maxima, testându-se directia în care deviaza spotul galvanometrului, prin apasarea tastei "BRUT" (testarea presupune apasarea tastei respective, fara însa a o mentine fn aceasta pozitie). Se * modifica apoi R, la valoarea 1Q si se testeaza din nou directia în care deviaza / spotul galvanometrului la apasarea "BRUT". Daca:

a) în cele doua situatii deviatiile sunt la dreapta, rezulta ca valorile (a/bJR^, (a/b)lQ, sunt mai mari decât X si ca atare, raportul a/b trebuie scazut (IO*1, IO"2), reluându-se toata operatia de la început, pâna se ajunge la situatia c);

b) în cele doua situatii deviatiile sunt la stânga, rezulta ca valorile (a/b)RmiK, (a/b)lQ, sunt mai mici decât X si ca atare, raportul a/b trebuie marit, reluându-se toata operata de la început, pâna se ajunge la situatia c);

c) îh cele doua situatii se obtin deviatii în sensuri contrare, rezulta câ raportul a/b ales, corelat cu valorile lui R, permite masurarea rezistentei necunoscute X.



în aceasta situatie, tinând seama ca, deviatiile la dreapta se obtin pentru raportul (a/b)Rmax>X, se cauta echilibrarea puntii, scazând rezistenta R de la valoarea maxima. Odata terminata echilibrarea pe pozitia "BRUT", se reface echilibrarea pe pozitia "FIN".

In urma acestei operatii se obtine o prima valoare a rezistentei necunoscute, v Pentru ca masurarea sa se faca in conditii de maxima precizie, trebuie facuta toata operatia, stabilind acum raportul a/b optim pentru rezistenta de masurat (vezi punctul 3.1.).

Rezultatele vor fi trecute într-un tabel conform modelului prezentat fn paragraful IV.

3.3.Opcratiile de masurare pentru lotul de rezistente industriale cunoscute la t care trebuie determinate tolerantele, se vor efectua similar ca la punctul 3.1., iarf rezultatele se vor prezenta într-un tabel conform modelului din paragraful IV.

3.4.Pentru masurarea rezistentei interne a unui multimetru, conform punctului 2.6. al chestiunilor de studiat, se conecteaza la bornele Rx ale puntii multimctrul MAVO-35 pozitionat pe V c.c, având rezistenta interna normata : (20KQ/V) indicata pe scala acestuia. Pe baza acestor indicatii se stabileste raportul a/b optim si se procedeaza la masurarea rezistentei interne, conform celor aratate la punctul 3.1. (pentru aceste valori ale rezistentelor la borne cuprinse în domeniul de masurare al puntii).

Rezultatele vor fi trecute într-un tabel conform modelului prezentat în paragraful IV.


IV. Rezultate experimentale:

4.1.Rezultatele experimentale obtinute la masurarea rezistentelor etalon, conform punctelor 2.1. ale chestiunilor de studiat, se vor prezenta într-un tabel de forma:  

REΩ

a/b

Observatii





















































































unde:

RE - rezistenta etalon masurata de puntea Wheatstone;

a/b - raportul fixat la puntea Wheatstone;

R - valoarea rezistentei de echilibrare citita pe punte;

R2 - valoarea rezistentei de echilibrare citita pe punte îh cazul interpolarii, careia li corespunde deviatia stânga at;

Ri - valoarea rezistentei de echilibrare citita pe punte îh cazul interpolarii, careia îi corespunde deviatia dreapta a2

X - valoarea calculata a rezistentei conform relatiei (2);

R - valoarea calculata a rezistentei de interpolare conform relatiei (6).

4.2.Rezultatele experimentale ootinute la masurarea rezistentelor industriale, conform punctelor 2.4. si 2.5. ale chestiunilor de studiat, se vor trece in tabelul 2 ., în care:

Tn - toleranta fnscrisa pa rezistenta industriala;

a/b - raportul dedus (ales) la puntea Wheatstone;

R - valoarea rezistentei de echilibrare;

X - valoarea calculata a rezistentei industriale conform relatiei (2);

Nr. crt.

Ta %

a/b

R Ω

X Ω

зrn %

Observatii

Rl









R2















[%] - eroarea relativa procentuala calculata pentru rezistenta industriala pe baza dctenninariicu puntea Whcatstonc, unde Rn reprezinta valoarea inscriptionata de fabricant pe aceasta.

La rubrica numarul curent, în ca/ul rezistentelor industriale necunoscute se va trece numarul inscriptionat pe fiecare (de pe montajul cu rezistente), iar în cazul celor marcate valoarea lor nominala R".


4.3.Rezultatele experimentale obtinute la masurarea rezistentelor Ia borne a unui multimetru, conform punctului 2.6. al chestiunilor de studiat, se vor prezenta într-un tabel de forma:

Tabel 3 . (model)


Domeniul MAVO-35

rv Ω/V

Rbc

a/b

R Ω

X Ω

Observatii

0-1 V







0-2.5 V







0-10 V







0-25 V








în care:

rv - rezistenta interna normata (Q/V) a aparatului;

Rbc - rezistenta la borne calculata pe domeniu! respectiv;

a/b - raportul optim ales la puntea Wheatstone;

R - valoarea rezistentei de echilibrare;

X - valoarea calculata a rezistentei conform relatiei (2), care reprezinta rezistenta la borne a aparatului (determinata cu puntea Wheatstone) pe domeniul respectiv.

La rubrica observatii se vor face aprecieri privind comparatia dintre Rbc si X.







Document Info


Accesari: 4681
Apreciat: hand-up

Comenteaza documentul:

Nu esti inregistrat
Trebuie sa fii utilizator inregistrat pentru a putea comenta


Creaza cont nou

A fost util?

Daca documentul a fost util si crezi ca merita
sa adaugi un link catre el la tine in site


in pagina web a site-ului tau.




eCoduri.com - coduri postale, contabile, CAEN sau bancare

Politica de confidentialitate | Termenii si conditii de utilizare




Copyright © Contact (SCRIGROUP Int. 2025 )