Documente online.
Zona de administrare documente. Fisierele tale
Am uitat parola x Creaza cont nou
 HomeExploreaza
upload
Upload




Parametrii termodinamici de stare, si unitati de in [SI] -corelatia lor prin Ecuatiile de stare. Tabelul de corespondenta pentru unitatile de masura a presiunii.

tehnica mecanica


1) Parametrii termodinamici de stare, si unitati de in [SI] -corelatia lor prin Ecuatiile de stare. Tabelul de corespondenta pentru unitatile de masura a presiunii.


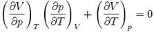
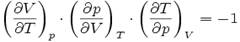
Parametrii de stare nu sunt independenti, ci legati prin una sau mai multe ecuatii de stare. De exemplu, starea termodinamica a unui gaz poate fi caracterizata prin parametrii p, V, T, iar ecuatia de stare este: f(p,V,T) = 0  



V = V(p,T)

Variatia volumului poate fi scrisa sub forma

Variatiile dp si dT pot fi independente sau legate prin anumite conditi;

Daca procesul este izocor, atunci

deci

   

sau

   

Aceste relatii permit obtinerea unor legaturi între marimi fizice importante, din punct de vedere experimental, fara a cunoaste forma explicita a ecuatiei de stare.

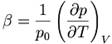
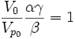
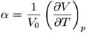
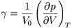
a. coeficientul termic de dilatare volumica   


b. coeficientul termic al presiunii    

c. modulul de compresibilitate    


Rezulta:     



  pentru ciclul motorului cu ardere interna (MAI)





pentru ciclul instalatiei de turbina cu aburi (CTE):

- ecuatia conservarii energiei la nivelul cazanului:



- destinate incinerarii deseurilor menajere, agricole si industriale

- de la turbinele cu gaze.

- arzatoarelor cu emisii poluante scazute: - functionând cu combustibil solid pulverizat.

-functionând cu combustibil lichid si gazos

- generatoarelor de abur : - functionând cu combustibil solid pulverizat.

- functionând cu combustibil gazos si lichid.

- industriale recuperatoare.

- Modelarea numerica a starilor stationere si tranzitorii de tensiune termoelastica în peretii metalici supusi la presiune si temperatura.





Document Info


Accesari: 19317
Apreciat: hand-up

Comenteaza documentul:

Nu esti inregistrat
Trebuie sa fii utilizator inregistrat pentru a putea comenta


Creaza cont nou

A fost util?

Daca documentul a fost util si crezi ca merita
sa adaugi un link catre el la tine in site


in pagina web a site-ului tau.




eCoduri.com - coduri postale, contabile, CAEN sau bancare

Politica de confidentialitate | Termenii si conditii de utilizare




Copyright © Contact (SCRIGROUP Int. 2026 )