Rigiditatea hidraulica
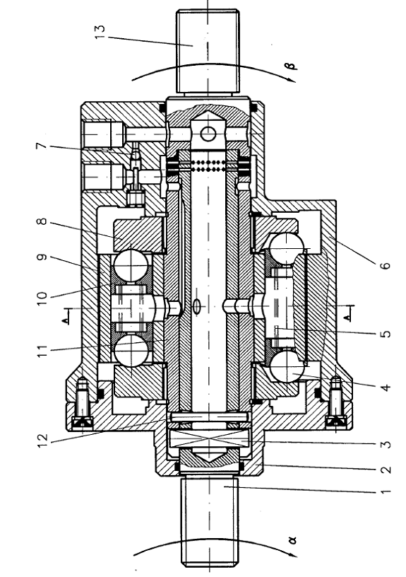
Industria moderna utilizeaza numeroase tipuri de servomecanisme mecanohidraulice rotative formate din motoare hidraulice volumice rotative si distribuitoare de urmarire. Dintre aceste servomecanisme, cel mai compact si cel mai raspândit este cel bazat pe hidromotorul orbital si distribuitorul rotativ de urmarire, dar aceasta solutie prezinta dezavantajul unei tehnologii complexe si al unei presiuni adm 858s1815i isibile relativ reduse. Servomecanismul a fost conceput pentru amplificarea momentului aplicat unui arbore numit "de intrare" prin intermediul unui hidromotor lent cu pistoane axiale (CARON), format din blocul cilindrilor (9), în care culiseaza axial pistoanele (10), doua came frontale multiple (8), blocate axial prin inele de siguranta si tangential prin caneluri triunghiulare fata de o bucsa distribuitoare (11), care constituie în acelasi timp si arborele "de iesire" al servomecanismului.Arborele de intrare (1) si arborele de iesire (13), sunt amplasati concentric în interiorul blocului cilindrilor si formeaza un distribuitor rotativ, alimentat de o pompa volumica printr-un racord si printr-o camera toroidala. Blocul cilindrilor este blocat tangential de carcasa servomecanismului prin caneluri cu joc, care permit centrarea libera a blocului cilindrilor fata de bucsa distribuitoare. Contactul dintre pistoane, came si bilele (4) în regim de avarie (la întreruperea alimentarii cu lichid a servomecanismului), este mentinut de arcurile elicoidale (5). Rotirea arborelui de intrare fata de arborele de iesire necesita deformarea unor arcuri lamelare (3). În regim de avarie, arborele de iesire poate fi rotit prin intermediul arborelui de intrare printr-un stift cilindric (12), dupa încovoierea completa a arcurilor lamelare. În carcasa este amplasata o supapa de sens (7) care permite suntarea hidromotorului în regim de avarie. Arborele de intrare este prevazut cu trei canale axiale dispuse pe suprafata exterioara la 1200 în planul de simetrie al blocului cilindrilor si intercalate fata de canalele axiale mentionate anterior. Acelasi arbore este prevazut cu un set de gauri radiale aflate în corespondenta cu gauri similare practicate în arborele de iesire.
În pozitia neutra, distribuitorul rotativ asigura returul lichidului de lucru la bazin, orificiile hidromotorului fiind închise. În celelalte doua pozitii, distribuitorul permite admisia lichidului în camerele active ale hidromotorului si evacuarea lichidului din camerele pasive ale acestuia. Hidromotorul roteste arborele de iesire pâna la închiderea distribuitorului, realizând o reactie de pozitie rigida. Astfel, arborele de iesire urmareste practic sincron arborele de intrare, realizând momentul impus de mecanismul actionat. Valoarea maxima a momentului realizat este proportionala cu presiunea maxima admisibila si cu volumul geometric de lucru (capacitatea) hidromotorului. Servomecanismul poate fi realizat si cu centrul închis, corespunzator aplicatiilor caracterizate prin alimentarea mai multor servomotoare la presiune constanta. În acest caz, singura modificare a sistemului de distributie consta în îndepartarea orificiilor radiale prin care lichidul furnizat de sistemul de alimentare se întoarce la rezervor, partial sau integral. De asemenea, servomecanismul poate fi realizat cu reactie hidromecanica, prin transformarea motorului hidraulic rotativ într-un traductor pentru unghiul de rotatie al bucsei de distributie.
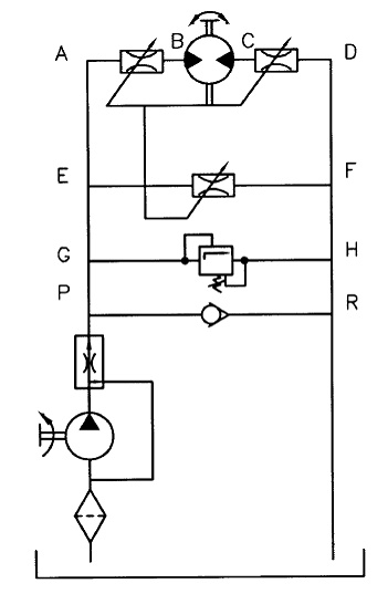
Simbolul detaliat al servomecanismului este indicat în figura1, iar schema hidraulica echivalenta este prezentata în figura2.

Schema de principiu a servomecanismului(figura 1)

Servomecanism mecanohidraulic rotativ

Schema hidraulica echivalenta a servomecanismului.(figura 2)
![]()
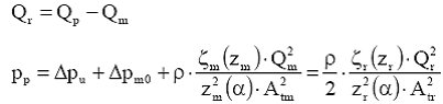
Ecuatia de continuitate pentru punctul G are forma:
![]()
Bilantul pierderilor de presiune pentru traseul ABCDEFGHPR este:
![]()
Pompele care deservesc sistemele de directie sunt antrenate în general de motoare termice, care lucreaza la turatie variabila. Pentru a evita influenta acesteia, pompele sunt prevazute cu regulatoare de debit, astfel ca putem admite Qp = const.
Datorita identitatii droselelor Dma si Dme rezulta:

unde: zm este gradul de deschidere al droselelor Dma si Dme,

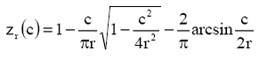
Ţinând seama ca acoperirea initiala a sertarului, c0 = min Ds /2, se poate determina deschiderea droselelor Dma si Dme:

Pentru
s-a obtinut relatia:

Functia z) a fost aproximata prin polinomul

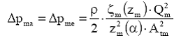
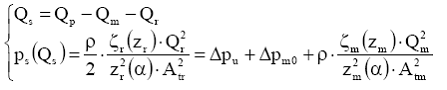
S-a notat cu pm caderea de presiune pe hidromotorul cu pistoane axiale.
Aceasta acopera momentul util si pierderile mecanice:
![]()
unde pm0 = 2 ... 4 bar
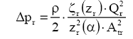
Caderea de presiune pe droselul Dr se determina cu relatia:

în care

iar functia r (zr) se calculeaza cu polinomul de interpolare pentru:

Functionarea amplificatorului în regim stationar este descrisa de sistemul:

daca supapa de deversare este închisa, si de sistemul:

daca supapa de deversare, având caracteristica statica ps (Qs) este deschisa.
|