Lucrarea de laborator 2 SS
Semnale cu purtator armonic, modulate in amplitudine
Scopul lucrarii
Analiza spectrala a oscilatiilor modulate īn amplitudine (MA), cu semnal modulator sinusoidal, semnal dreptunghiular si semnal triunghiular.
Desfasurarea lucrarii
S-a realizat

A) S-a masurat gradul de modulatie al semnalului MA cu ajutorul osciloscopului, pentru valorile tensiunii modulatoare, specificate īn tabelul acestui punct. Pentru semnalul modulator armonic dat de catre generatorul de functii s-a fixat frecventa fm=5 kHz. Frecventa semnalului purtator s-a fixat, de la generatorul de semnal modulat, la valoarea F =500 kHz.
Este mai usor sa se masoare 2Amax
si 2Amin si
atunci formula (3) se poate
rescrie
Amplitudinea semnalului modulator Am, si implicit gradul de modulatie au fost reglate de la generatorul de functii. Amplitudinea semnalului purtator s-a fixat astfel īncāt amplitudinea
componentei spectrale pe frecventa purtatorului, F =500 kHz, sa
fie 0 dB. Cu ajutorul analizorului
de spectru s-au masurat
componentele spectrale A0[dB], A [dB], A [dB] ale semnalului modulat īn amplitudine cu un semnal armonic. Rezultatele s-au
trecut īn tabelul corespunzator acestui punct din anexa. Tensiunile A , A si A īn volti se obtin folosind tensiunea de referinta masurata
B) Cu rezultatele din tabelul de la A) s-a construit caracteristica modulatorului m=f(Am). S-a determinat KA, panta acestei caracteristici.
C) S-au facut prelucrarile de date necesare completarii tabelului de la A) si s-au reprezentat grafic cele patru spectre. S-a masurat banda de frecventa ocupata de catre semnalul MA, BMA, folosind analizorul de spectru. S-a comparat cu banda de frecventa a semnalului modulator Bm.
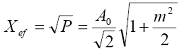
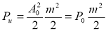
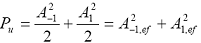
D) Cu ajutorul tabelului de la A) s-a completat tabelul de la acest punct. Īn acest tabel, P semnifica puterea calculata cu relatia (5), iar P puterea calculata cu relatia (7). X1ef si X2ef se obtin folosind relatiile (6), respectiv (9). Puterile utile PU1, PU2 se calculeaza cu ajutorul relatiilor (7), respectiv (10). Valorile efective folosite la calculul puterilor se obtin conform relatiei
Unde este valoarea efectiva a tensiunii de referinta masurate.
Relatia
Relatia
Relatia
Relatia
Relatia
E) S-a masurat banda de frecventa a generatorului de semnale modulate īn amplitudine, completāndu-se tabelul acestui punct. Amplitudinea semnalului purtator s-a fixat astfel īncāt amplitudinea componentei spectrale pe frecventa purtatorului, F =500 kHz, sa fie 0 dB. S-a fixat frecventa minima de modulatie de fm=5 kHz pentru un semnal modulator sinusoidal. Nivelul semnalului modulator s-a reglat pentru gradul de modulatie de 30%, dat de catre generatorul de semnale modulate īn amplitudine. S-a schimbat frecventa semnalului modulator, conform tabelului, pāna cānd amplitudinile componentelor laterale, A si A citite pe analizorul de spectru, au cazut cu 3 dB fata de valoarea de la fm=5 kHz. Frecventa corespunzatoare a semnalului modulator este fM. Banda de frecventa maxima a semnalului MA, dat de catre generatorul de semnal modulat, este BMA, max= F2M-F1M, unde F2M si F1M sunt frecventele maxime, masurate, ale componentelor laterala superioara, respective inferioara.
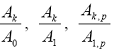
F) S-au masurat componentele spectrale ale semnalului MA pentru un semnal modulator dreptunghiular cu factorul de umplere 50%, frecventa f =5kHz si amplitudine Am=2Vrms. S-a reglat amplitudinea A , pe frecventa semnalului purtator, la valoarea 0 dB. S-au completat tabelele corespunzatoare acestui punct din anexa. A-k si Ak sunt componentele spectrale numarul k din banda laterala inferioara, respectiv banda laterala superioara, masurate cu analizorul de spectru. S-au masurat toate componentele spectrale cu amplitudini mai mari de 40 dB. Ak,p sunt amplitudinile componentelor spectrale ale semnalului modulator, masurate folosind osciloscopul digital pe post de analizor de spectru.
S-au reprezentat grafic spectrele de amplitudini normate
īn functie de frecventa, pentru semnalul MA, respectiv pentru semnalul modulator. S-a determinat banda de frecventa BMA ocupata de catre semnalul MA, considerānd ca intra īn aceasta banda componentele spectrale cu amplitudini mai mari de 40 dB.
G)
H) S-au repetat punctele F) si G) pentru un semnal de modulatie triunghiular cu factor de umplere 50%, frecventa f =5 kHz si Am Vrms
|