Documente online.
Zona de administrare documente. Fisierele tale
Am uitat parola x Creaza cont nou
 HomeExploreaza
upload
Upload




O TRECERE IN REVISTA A TEORIEI MICROECONOMICE

economie


O Trecere în revista a Teoriei Microeconomice

"Oamenii practici, care se considera ca fiind exceptati de la orice influente intelectuale, sunt de regula sclavii vreunui economist defunct ... Ideile, nu interestele îmbracate, sunt cele periculoae pentru bine sau rau. "  



John Maynard Keynes, The General Theory of Employment, Interest, and Money (1936)


"Economia este stiinta care studiaza comportamentul uman ca si o legatura dintre finalizari si mijloace insuficiente care au utilizari alternative."

Lionel Charles Robbins, Lord Robbins, An Essay on the Nature and Significance of Economic Science (1932)


Analiza economica a dreptului se realizeaza pe principiile teoriei microeconomice, pe care le vom trece în revista în acest capitol. Pentru acei dintre dvs. care nu au studiat aceasta ramura a economiei, citirea acestui capitol se va dovedi o provocare dar esentiala pentru a întelege restul cartii. Pentru cei care deja au studiat teoria microeconomica, citirea acestui capitol nu este necesara. Pentru acei cititori care sunt cumva între aceste extreme, le sugeram sa înceapa sa citeasca acest capitol, trecând peste ceea ce le este familiar si studiind cu atentie ceea ce nu le este familiar. Daca nu sunteti siguri unde va situati în acest spectru de cunoastere, treceti la întrebarile de la sfârsitul capitolului. Daca aveti dificultati în a raspunde la ele, probabil va trebui sa studiati acest capitol cu grija înainte de a trece mai departe.

.1. VEDERE GENERALĂ: STRUCTURA TEORIEI MICROECONOMICE

Microeconomia se preocupa de elaborarea deciziei de catre grupuri mici, cum ar fi indivizi, familii, cluburi, firme si agentii guvernamentale. În acest capitol vom dezvolta instrumentele de baza ale microeconomiei pe care le vom folosi în capitolele urmatoare pentru a analiza reglementarile legale si institutiile.  

Microeconomia este definita frecvent ca studiul modului în care sunt alocate resurse insuficiente[1] între finalitati competitoare. Sa cumparati acest casetofon audio digital pe care îl doriti, sau sa cumparati un costum ferches de interviu pentru interviul pentru post? Sa mergeti într-o excursie cu câtiva prieteni în acest weekend sau sa studiati acasa? Deoarece aveti un venit si timp limitate, trebuie sa faceti alegeri. Teoria microeconomica ofera o teorie generala cu privire la modul în care oamenii fac astfel de decizii.  

Împartim studiul nostru asupra microeconomiei în cinci sectiuni. Prima este teoria optiunii consumatorului si a cererii. Aceasta teorie descrie modul în care consumatorul tipic, constrâns de un venit limitat, alege dintre multe bunuri si servicii oferite spre vânzare.  

A doua sectiune se ocupa de alegerile facute de catre organizatiile de business sau firme. Vom dezvolta un model al firmei care ne ajuta sa vedem modul în care firma decide asupra ce bunuri si servicii sa produca, cât de mult sa produca si la ce pret sa-si vânda rezultatele sale.  

În a treia sectiune vom considera modul în care interactioneaza consumatorii si firmele. Prin combinarea teoriei consumatorului si a firmei vom explica cum sunt coordonate deciziile consumatorilor si firmelor prin miscari în pretul pietei. Eventual, deciziile consumatorilor si ale firmelor trebuie sa fie facute consistente în sensul ca oarecum cele doua parti sunt de acord cu privire la cantitatea si pretul bunului sau serviciului care va fi produs si consumat.


 scarce

2.2. UNELE CONCEPTE FUNDAMENTALE: MAXIMIZARE, ECHILIBRU sI EFICIENŢĂ

În mod uzual economistii asuma ca fiecare actor economic maximizeaza ceva: consumatorii maximizeaza utilitatea (adica, bucurie sau satisfactie); firmele maximizeaza profiturile, politicienii maximizeaza voturile, birocratia maximizeaza veniturile, organizatiile caritabile maximizeaza bunastarea sociala, s.a.m.d. Adesea, economistii spun ca modelele care presupun comportamentul de maximizare functioneaza deoarece majoritatea oamenilor sunt rationali si rationalitatea cere maximizare. Diferiti oameni doresc lucruri diferite, cum ar fi bogatie, putere, faima, dragoste, fericire, s.a.m.d. Alternativele cu care se confrunta un elaborator de decizie economica îi dau diferite cantitati din ceea ce doreste. O conceptie a rationalitatii retine ca un actor rational poate ierarhiza alternativele în acord cu gradul în care acestea îi dau ceea ce doreste. În practica, alternativele disponibile pentru actor sunt constrânse. De exemplu, un consumator rational poate ierarhiza o gramada de alternative de bunuri de consum si bugetul acestui consumator îl constrânge asupra alegerii sale dintre acestea. Un consumator rational ar alege cea mai buna alternativa pe care o permit constrângerile.  

Alegerea celei mai bune alternative pe care o permit constrângerile poate fi descrisa matematic ca maximizare. Pentru a vedea de ce, sa consideram ca numerele reale pot fi ierarhizate de la mic la mare, la fel cum consumatorul rational ierarhizeaza alternativele în acord cu gradul în care acestea îi dau ceea ce doreste. Ca urmare, alternativele mai bune pot fi asociate cu numerele mari. Economistii numesc aceasta asociere o "functie utilitate". Mai mult, constrângerea asupra alegerii poate fi uzual exprimata matematic ca o "constrângere a fezabilitatii". Alegerea celei mai bune alternative pe care constrângerile o permit corespunde cu maximizarea functiei utilitate, subiect al constrângerii fezabilitatii. Pentru ilustrare: consumatorul care merge la cumparaturi se spune ca maximizeaza utilitatea, subiect al constrângerii bugetului sau.  

Întrorcându-ne la al doilea concept fundamental, nu exista nici o mentalitate atât de adânc înradacinata printre economisti cum este un echilibru în interactiunea actorilor maximizarii. Un echilibru este model de interactiune care persista pâna când nu este perturbat de forte din exterior. Uzual, economistii considera ca interactiunile tind catre un echilibru, indiferent daca ele apar în piete, alegeri, cluburi, jocuri, echipe, corporatii sau casatorii.

Exista o conexiune vitala între maximizare si echilibru în teoria microenomiei. Caracterizam comportamentul fiecarui individ sau grup ca maximizând ceva. Comprtamentul de maximizare tinde sa împinga acesti indivizi si grupuri înspre un punct de repaus, un echilibru. Cu siguranta ei nu intentioneaza sa rezulte un echilibru; mai degraba ei înceraca pur si simplu sa maximizeze indiferent ce este de interes pentru ei. Cu toate acestea, uzual interactiunea agentilor de maximizare are ca rezultat un echilibru.  

Un echilibru stabil este acela care nu se va schimba pâna când nu intervin forte din afara. Pentru a ilust 353d322d ra, stratul de zapada din valea unui munte este în echilibru stabil, în timp ce stratul de zapada de pe vârful muntelui poate fi în echilibru instabil. De fapt, o interactiune îndreptata spre un echilibru stabil îsi atinge destinatia daca nu o deviaza forte din exterior. În viata sociala forte din exterior intervin adesea înainte ca o interactiune sa ajunga la echilibru. Totusi, o analiza a echilibrului are sens. Cea mai simpla interactiune de analizat este una care nu se schimba. Urmarirea întregului drum al schimbarii este mult mai dificila. Exista teorii microenomice avansate privind cresterea, ciclurile si dezechilibrele, dar noi nu vom avea nevoie de ele în aceasta carte. Compararea echilibrelor, numita statistica compartaiva, va fi abordarea noastra de baza.  

Întorcându-ne la al treilea concept fundamental, economistii au mai multe definitii distincte ale eficientei. Un proces de productie se spune ca este productiv eficient daca este îndeplinita una din doua conditii:  

  1. nu este posibil sa se produca aceeasi cantitate de output folosind a combinatie de inputuri cu un cost mai scazut, sau
  2. nu este posibil sa se produca mai mult 

Sa consideram o firma care foloseste munca si utilaje pentru a produce un bun de consum numit "dispozitiv". Sa presupunem ca firma produce în mod current 100 de dispozitive pe saptamâna, folosind 10 muncitori si 15 utilaje. Firma este productiv eficienta daca:  

  1. nu este posibil sa se produca 100 de dispozitive pe saptamâna folosind 10 muncitori si mai putin de 15 utilaje, sau folosind 15 utilaje si mai putin de 10 muncitori, sau
  2. nu este poibil sa se produca mai mult de 100 de dispozitive pe saptamâna din combinarea a 10 muncitori si 15 masini.

Celalat tip de eficienta, numita eficienta Pareto dupa inventatorul sau[1], se refera la satisfacerea preferintelor individuale. O situatie particulara se spune ca este Eficienta Pareto daca este imposibil sa fie schimbata astfel încât cel putin o persoana sa fie adusa într-o situatie mai buna (în propria sa estimare), fara a face ca alta persoana sa fie într-o situatie mai rea (din nou, în prorpia sa estimare). De dragul simplitatii, sa presupunem ca sunt numai doi consumatori, Smith si Jones si doua bunuri, umbrela si pâine. Initial, bunurile sunt distribuite între ei. Este alocarea eficienta Pareto? Da, daca este imposibil sa se realoce pâinea si umbrela astfel încât, fie Smith, fie Jones, sa fie într-o pozitie mai buna, fara a face ca cealalta persoana sa fie într-o pozitie mai rea .  

Aceste trei concepte de baza - maximizare, echilibru si eficienta - sunt fundamentale pentru a explica comportamentul economic, în special în institutii descentralizate, cum sunt pietele, care implica interactiunea coordonata a multor oameni diferiti. Totusi, unii avocati care sunt critici ai analizei economice, se îndoiesc ca aceste concepte sunt întradevar utile în explicarea fenomenelor sociale importante. Ei întreaba "De ce sa subliniem echilibrul în locul schimbarii? Nu este mai bine sa bazam predictiile pe psihologia alegerii decât sa prescriem rationalitate?" În timp ce acesti critici au merite, faptul ramâne ca cele trei concepte economice de baza au o larga aplicatie în drept.

  Vilfredo Pareto a fost un om de stiinta în domeniul politic si economist, italian, care a scris la începutul secolului XX.

  Exista un alt concept al eficientei - o potentiala îmbunatatire a Pareto, aeficientei Kaldor-Hicls - pe care o vom descrie în § IX.c, care urmeaza.

2.3. INSTRUMENTE MATEMATICE

Veti fi foat îngrijorati cu privire la cantitatea de matematica pe care o veti gasi în aceasta carte. Nu este mult. Folosim algebra simpla si grafice.

2.3. NSTRUMENTE MATEMATICE A. FUNCŢII

Economia este obisnuita cu functii: functii de productie, functii utilitate, functii cost, functii bunastare sociala si altele. O functie este o relatie dintre doua seturi de numere, astfel ca pentru fiecare numar dintr-un set corespunde exact un numar din celalalt set. Pentru a ilustra: coloanele de mai jos corespund unei relatii functionale dintre numerele din coloana din partea stânga si acelea din coloana din partea dreapta. Astfel, numarul 4 din coloana x de mai jos, corespunde numarul 10 din coloana y.  

În fapt, de notat ca fiecare numar din coloana x corespunde exact unui numar din coloana y. Astfel, putem spune ca variabila y este o functie de variabila x sau, în cea mai comuna forma de notare:

Aceasta este citita ca "y este o functie de x" sau "y este egal cu o f de x".  

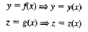
De notat ca numarul 4 nu este singurul numar din colana x care corespunde numarului 10 din coloana y; numarul 6 de asemenea corespunde numarului 10. În aceast tabel, pentru o valoare data a lui x, corespunde o valoare a lui y, dar pentru unele valori ale lui y corespund mai mult de o valoare a lui x. O valoare a lui x determina o valoare exacta a lui y, în timp ce o valoare a lui y nu determina o valoare exacta a lui x. Astfel, în y = f(x), y este numita variabila dependenta, deoarece ea depinde de valoarea lui x, iar x este numita variabila independenta. Deoarece y depinde de x în acest tabel, y este o functie de x dar, deoarece x (dupa cunostinta noastra) nu depinde de y, x nu este o functie de y.  

Sa presupunem acum ca exista o alta variabila dependenta, numita z, care depinde de asemenea de x. Functia care leaga z de x poate fi numita g:  

Când sunt doua functii, g(x) si f(x), cu variabile dependente diferite, z si y, poate fi greu sa tinem minte care functie merge cu care variabila. Pentru a evita aceasta dificultate, adesea este dat acelasi nume unei functii si variabilei determinate de aceasta. Urmând aceasta strategie, functiile precedente ar fi redenumite dupa cum urmeaza:  

Uneori va fi discutata o functie absatracta, fara a specifica numerele exacte care apartin acesteia. De exemplu, cititurului i se poate spune ca y este o functie de x  si sa nu i se spuna niciodata exact care valori ale lui y corespund caror valori ale lui x. Apoi, ideea este sa facem pur si simplu comunicatul general ca y depinde de x, dar este într-un mod înca nespecificat. Daca sunt date numere exacte, ele pot fi listate într-un tabel, asa cum am vazut. O alta cale de a arata legatura dintre o variabila dependenta si una independenta este sa se dea o ecuatie exacta. De exemplu, a functiei z = z(x) poate fi data în forma exacta:

care precizeaza ca functia z asigura corespondenta dintre valorile lui x cu valori ale lui z egale cu cinci plus o jumatate din oricare valoare ar lua-o x:  

O functie poate lega o variabila dependenta (la o functie întotdeauna exista numai una dintre ele), la mai mult de o variabila independenta. Daca scriem y = h(x,z) spunem ca functia h realizeaza legatura dintre o valoare a variabilei dependente y cu fiecare pereche de valori a variabilelor independente x si z. Aceasta functie poate avea forma specifica:  

conform careia y scade cu 3 unitati când x creste cu o unitate si y creste cu o unitate când z creste cu o unitate

2.3. INSTRUMENTE MATEMATICE B. GRAFICE

Putem îmbunatati întelegerea intuitiva a unei relatii functionale prin reprezentarea sa grafica, astfel încât ea sa poata fi vizualizata. Într-un grafic, valorile variabilei independente sunt uzual înscrise pe axa orizontala si valorile variabilei dependente sunt uzual reprezentate pe axa verticala. Fiecare punct din reteaua de linii corespunde unei perechi de valori pentru variabile. Ca exemplu, vezi Figura 2.1. Dreapta cu panta crescatoare din grafic reprezinta toate perechile de valori care satisfac functia y = 5 + x/2. Puteti verifica aceasta gasind un cuplu de puncte care trebuie sa fie pe dreapta care corespunde acestei functii. De exemplu, daca y = 0? Ce valoare ar trebui sa aibe x? Daca y = 0, atunci o aritmentica simpla va releva ca x este egal cu - 10. Astfel, perechea (0, -10) este un punct p edreapta definita de functie. Dar daca x = 0? Ce valoare va avea y? În acest caz, al doilea termen din partea dreapta a ecuatiei dispare, astfel ca y = 5. Astfel, perechea de valori (5, 0) este un punct pe dreapta definita de catre functie.  

Graficul lui y = 5 + x/2 releva unele lucruri cu privire la relatia dintre y si x, pe care nu le-am descoperi asa de usor altfel. De exemplu, de notat ca dreapta reprezentând ecuatia este  îndreptata în sus, sau de la sud vest la nord est. Panta pozitiva, asa cum este denumita, releva ca relatia dintre x si y este una directa. Astfel, asa cum creste x creste si y. si asa cum descreste x, y descreste. Spus mai general, atunci când variabila independenta si cea dependenta se misca în aceeasi directie, panta graficului relatiei lor va fi pozitiva.  

Graficul releva de asemenea taria acestei relatii directe, prin faptul ca arata daca modificari mici ale lui x conduc la modificari mici sau mari ale lui y. De notat ca daca x scade cu 2 unitati, y creste cu 1 unitate. O alta cale de a prezenta aceasta este sa spunem ca pentru a avea o crestere cu 10 unitati a lui y, trebuie sa fie o crestere cu 20 unitati a lui x.[1]  

Opusul unei relatii directe este o relatie inversa. În acest tip de relatie, variabila dependenta si cea independenta se misca în directii opuse. Astfel, daca x si y sunt într-o relatie inversa, o crestere a lui x (variabila independenta) va conduce la o descrestere a lui y. De asemenea, o descrestere a lui x va conduce la o crestere a lui y. Un exemplu al unei relatii inverse între o variabila independenta si una dependenta este y = 5 - x/2. Graficul acestei drepte este de asemenea prezentat în Figura 2.1. De notat ca dreapta este îndreptata în jos, adica drepta merge de la nord vest la sud est.  

Întrebarea 2A: Sa presupunem ca ecuatia are forma y = 5 + x. Realizati reprezentarea grafica, similar cu cea din Figura 2.1. Relatia dintre x si y este directa sau inversa? Panta noii ecuatii este mai mare sau mai mica decât panta prezentata în Figura 2.1?  

Sa presupunem acum ca ecuatia este y = 5 - x. Realizati reprezentarea grafica, similar cu cea din Figura 2.1. Relatia dintre x si y este directa sau inversa? Panta noii ecuatii este pozitiva sau negativa? Panta ecuatiei y = 5 - x/2 este mai lina sau mai abrupta decât cea a ecuatiei y = 5 - x?  

Graficul lui y = 5 + x/2 din Figura 2.1 releva de asemenea ca relatia dintre variabile este liniara. Aceasta înseamna ca atunci când trasam graficul valorilor varibilei dependente si variabilei independente, legatura rezultata este o linie dreapta. Una dintre implicatiile linairitatii este aceea ca modificari ale variabilei independente cauzeaza o rata consatanta a modificarii variabilei dependente. În termeni ai Figurii 2.1, daca am dori sa stim efectul asupra lui y al dublarii valorii lui x, nu conteaza daca investigam efectul când x este egal cu 2 sau 3147. Efectul asupra lui y al dublarii valorii lui x este proportional acelasi, raportat la valoarea lui x.  

Desigur, alternativa la o relatie liniara este o relatie nonliniara. În general, legaturile nonliniare sunt mai dificil de gestionat decât relatiile liniare. Ele frecvent, desi nu întotdeauna, sunt caracterizate de variabile independente ridicate la o putere printr-un exponent. Exemple sunt y = x2 si y = 5/x1/2. Figura 2.2 prezinta graficul lui y = x2. O alta legatura nonliniara comuna în economie este data de exemplu A = xy, unde A este o constanta. Un grafic al acestei functii este dat în Figura 2.3.  



  Panta ecuatiei de care ne ocupam în Figura 2.1 este ˝, care este coeficientul lui x din ecuatie. De fapt, în orice relatie liniara, coeficientul variabilei independente da panta ecuatiei.

2.4. TEORIA OPŢIUNII  sI A CERERII CONSUMATORULUI

Teoria generala a economistilor cu privire la modul în care oamenii îsi fac optiunile este denumita teoria optiunii rationale. Ce înseamna sa faci o optiune rationala, va aparea în cursul acestei sectiuni a acestui capitol. În aceasta sectiune vom arata cum explica aceasta teorie optiunea consumatorului cu privire la ce bunuri sau servicii sa cumpere si în ce cantitati.

2.4. TEORIA OPŢIUNII CONSUMATORULUI sI A CERERII A. ORDONĂRILE PREFERINŢELOR CONSUMATORULUI

Constructia modelului economic al optiunii consumatorului începe cu o relatare asupra preferintelor consumatorilor. Consumatorii se presupune ca stiu lucrurile care le plac si cele care le displac si ca sunt capabili sa ierarhizeze combinatiile alternative de bunuri si servicii, în acord cu abilitatea lor de a satisface preferintele consumatorului. Aceasta implica nu mai mult decât sa ierarhizeze alternativele ca: mai buna decât, mai rea decât, sau la fel de buna ca o alta. Întradevar, unii economisti cred ca conditiile pe care ei le impun în ordonarea sau ierarhizarea preferintelor consumatorului constituie ceea ce un economist denumeste cu termenul "rational". Care sunt aceste conditii? Acestea sunt ca o ordonare sau ierarhizare a preferintei consumatorului sa fie completa, tranzitiva si reflexiva. 

Pentru ca o ordonare sa fie completa aceasta înseamna pur si simplu ca respectivul consumator sa fie capabil sa spuna cum ierarhizeaza toate combinatiile posibile de bunuri si servicii. Sa presupunem ca A reprezinta o gramada de anumite bunuri si servicii si ca B reprezinta o alta gramada din aceleasi bunuri si servicii, dar în cantitati diferite. Pentru ca ordonarea sa fie completa este necesar ca sa ne spuna ca prefera A lui B, sau ca prefera B lui A, sau ca A si B sunt egal de bune (adica, faptul ca consumatorul este indiferent între a avea pe A sau a avea pe B). Consumatorului nu i se permite sa spuna "Nu pot sa le compar."  

Reflexivitatea este o conditie ascunsa asupra preferintelor consumatorului. Ea înseamna ca orice gramada de bunuri, A, este cel putin la fel de buna ca ea însasi. Aceasta conditie este atât de banal de adevarata încât este dificil sa dam o justificare pentru includerea sa.  



Tranzitivitatea înseamna ca preferintele de ordonare se supun urmatoarelor conditii: daca gramada A este preferata gramezii B si gramada B este preferata gramezii C, atunci trebuie sa fie cazul ca A este preferata fata de C. Aceasta se aplica de asemenea la indiferenta: daca consumatorul este indifierent între A si B (adica, le prefera la fel) si între B si C, atunci el este de asemenea indiferent între A si C. Tranzitivitatea preîntâmpina circularitatea preferintelor individuale. Adica, tranzitivitatea înseamna ca este imposibil pentru ca A sa fie preferat lui B, B sa fie preferat lui C si C sa fie preferat lui A. Majoritatea dintre noi probabil simt ca cineva care are preferinte circulare este fie extrem de tânar, sau copilaros, sau nebun.  

Întrebarea 2B: Sa presupunem ca îl întrebati pe James daca ar prefera un hamburger sau un hot dog la cina si el spune ca ar dori un hot dog. Cinci ore mai târziu îl întrebati ce ar dori pentru cina, un hambruger sau un hot dog. James a raspuns, "Un hambruger". Preferintele lui James pentru hot dog versus hamburger se supun conditiilor de mai sus? De ce da, sau de ce nu? 

Este important sa ne reamintim ca preferintele consumatorului sunt subiective. Diferitii oameni au gusturi diferite si acestea vor fi reflectate în faptul ca ei pot avea realizari ale preferintei diferite asupra acelorasi bunuri si servicii. Economistii lasa altor discipline, cum ar fi psihologia si sociologia, studiul sursei acestor preferinte. Noi luam gusturile sau preferintele consumatorului ca date, sau, asa cum spun economistii, ca exogene, ceea ce înseamna ca ele sunt determinate în afara sistemului economic.[1]

O consecinta importanta a subiectivitatii preferintelor individului este ca economistii nu au acceptat metoda pentru compararea tariei preferintelor oamenilor. Sa presupunem ca Stan ne spune ca el prefera gramada A fata de gramada B si Jill ne spune ca ea simpte la fel: si ea prefera A lui B. Exista vreo cale care sa ne spuna care îl prefera pe A mai mult? În abstract, raspunsul este "Nu, nu exista." Tot ce avem de la fiecare consummator este ordinea preferintelor, nu taria acestor preferinte. Inabilitatea de a face comparatii interpersonale ale bunastarii are unele implicatii importante pentru proiectarea si implementarea politicilor publice, asa cum vom vedea în sectiunea despre economia bunastarii.  

  Aceasta declaratie ridica inevitabil steguletul acelora care gândesc ca economistii ignora unul dintre cele mai fundamentale aspecte ale economiei moderne, topirea gusturilor consumatorului prin reclama. Noi nu ignoram toti aceasta; noi chiar întelegem usor dimensiunea si importanta reclamei si altor industrii devotate alterarii gusturilor consumatorului. Dar retinem punctul de vedere ca economia per se nu are nimic de spus cu privire la modul în care are loc aceasta alterare.

2.4. TEORIA OPŢIUNII CONSUMATORULUI sI A CERERII

B. FUNCŢIILE UTILITĂŢII sI CURBELE INDIFERENŢEI


Odata ce consumatorul a descris care este ordinea preferintelor sale, putem deduce o functie a utilitatii pentru acest consumator. Functia utilitate identifica preferinte mai ridicate, cu numere mai mari. Sa presupunem ca pentru un consumator dat sunt disponibile numai doua produse sau servicii, x si y. Daca notam cu u utilitatea pentru consumator, atunci functia u = u(x, y) descrie utilitatea pe care o primeste consumatorul de la diferite combinatii ale lui x si y.  

O cale foarte utila de vizualizare a functiei utilitatii consumatorului este prin intermediul unui grafic numit o harta a indiferentei. Un exemplu este prezentat în Figura 2.4.  

Aici am desenat mai multe curbe de indiferenta. Fiecare curba reprezinta toate combinatiile de x si y care dau consumatorului aceeasi cantitate de utilitate sau bunastare. Alternativ, putem spune ca gusturile consumatorului sunt astfel încât el este indiferent pentru toate combinatiile de x si y care care sunt situate de-alungul unei curbe date - de aici numele de curba indiferentei. Astfel, toate acele combinatii de x si y aflate pe curba indiferentei marcata cu U0 , dau consumatorului aceeasi utilitate. Acele combinatii situate pe curba de indiferenta superioara marcata cu U1 dau acestui consummator o utilitate similara, dar acest nivel de utilitate este mai ridicat decât cel al tuturor acelor combinatii de x si y situate pe curba de indiferenta U0 .  

Problema optiunii consumatorului apare din coliziunea preferintelor consumatorului cu obstacolele în satisfacerea acestora. Obstacolele sunt constrângeri care forteaza decidentul sa aleaga dintre alternative. Exista multe constrângeri, incluzând timpul, energia, cunostintele si cultura cuiva, dar cel mai des întâlnita este venitul limitat. Putem reprezenta constrângerea venitului consumatorului, sau linia bugetului asa cum este numita în Figura 2.5.  

Aria dedesubtul dreptei si dreapta însasi reprezinta toate combinatiile de x si y pe care consumatorul si le poate permite, dat fiind venitul sau[1] . Probabil ca consumatorul intentioneaza sa-si cheltuiasca tot venitul pentru cumpararea acestor doua bunuri si servicii, astfel încât combinatiile pe care ne vom concentra sunt acelea care se afla pe linia de buget însasi.  

Întrebarea 2C: Într-o figura ca cea din Figura 2.5 si începând cu o linie de buget ca aceea din Figura 2.5, aratati cum ati desena noua constrângere de venit pentru a reflecta urmatoarele schimbari:  

  1. o crestere în venitul consumatorului, preturile fiind tinute constante;
  2. o descrestere în venitul consumatorului, preturile fiind tinute constante;
  3. o descrestere în pretul lui x, venitul si pretul lui y fiind tinute constante;
  4. o crestere în pretul lui y , venitul si pretul lui x fiind tinute constante.    

 Ecuatia pentru linia bugetului este I = pxx + pyy  unde px este pretul per unitate al lui x si ppretul per unitate al lui y. Ca si exercitiu, puteti încerca sa rearanjati aceasta ecuatie, cu y ca si variabila dependenta, pentru a arata ca panta dreptei este negativa. Atunci veti vedea ca coeficientul termenului în x este egal cu - px / py . Acest raport este numit de catre economisti ca fiind pret relativ. Puteti dori în continuare sa vedeti daca puteti arata cum ati reprezenta noua linie de buget care ar rezulta din:

1.        o crestere a venitului la I' , preturile lui x si y ramânând constante si

2.        o scadere a pretului per unitate al lui x , I si pretul lui y fiind tinute constante.

În final, vedeti daca puteti arata ca intersectia cu axa y a liniei bugetului este egala cu I / py  si intersectia cu axa x este egala cu I / p.

2.4. TEORIA OPŢIUNII CONSUMATORULUI sI A CERERII

C. OPTI MUL CONSUMATORULUI


Putem acum combina informatia cu privire la gusturile consumatorului, date de harta indiferentei, cu informatia cu privire la constrângerea de venit data de linia de buget, pentru a arata ce combinatie de x si y maximizeaza utilitatea consumatorului în functie de constrângerea impusa de bugetul sau. Vezi Figura 2.6.  

Aici pachetul optim al consumatorului este reprezentat de punctul M, care contine x* si y*. Dintre toate combinatiile fezabile de x si y, aceasta combinatie da acestui consumator cea mai mare utilitate [1].

 Deoarece am asumat ca curbele indiferentei normale sunt convexe fata de origine, exista un unic pachet de x si y care maximizeaza utilitatea consumatorului. Pentru alte forme ale curbelor de indiferenta este posibil sa existe mai mult de un pachet care maximizeaza utilitatea.

2.4. TEORIA OPŢIUNII CONSUMATORULUI sI A CERERII

D. O GENERALIZARE: OPTIMUL ECONOMIC CA sI COST MARGINAL = BENEFICIU MARGINAL


Datorita importantei centrale a maximizarii constrânse în teoria microeconomica, sa ne oprim un moment ca sa examinam o cale mai generala de a caracteriza un astfel de maxim:

Un maxim constrâns, sau oricare alt optim economic, poate fi descris ca un punct unde costul marginal este egal cu beneficial marginal.  

Sa vedem cum caracterizeaza aceasta regula deciziile de maximizare [1] . Începem prin a asuma ca decidentul alege un oarecare nivel initial a ceea ce el este interesat sa maximizeze. El încearca apoi sa determine daca acest nivel initial este maximul sau; este acest nivel atât de bun cât poate el face, date fiind constrângerile? El poate raspunde la aceasta întrebare prin realizarea de schimbari foarte mici, pe care un economist le numeste marginale, fata de nivelul initial. Sa presupunem ca decidentul propune sa cresca usor peste nivelul initial, indiferent care este acesta. Va exista un cost asociat acestei mici cresteri, numit cost marginal. Dar va fi de asemenea si un beneficiu din a avea sau a face mai mult din ceea ce el doreste sa maximizeze. Beneficiul acestei mici cresteri este denumit beneficiu maginal. Decidentul se va percepe ca fiind într-o situatie mai buna la acest nou nivel, comparativ cu nivelul sau initial, atâta timp cât beneficiul marginal al micii cresteri este mai mare decât costul marginal al schimbarii. El va continua sa faca aceste mici, sau marginale, ajustari atât timp cât beneficiul marginal depaseste costul marginal si se va opri sa mai faca schimbari când costul marginal al ultimei schimbari facute este egal (sau este mai mare decât) beneficiul marginal. Acel nivel este maximul decidentului.

Întrebarea 2D: Sa presupunem ca, în loc sa creasca nivelul peste alegerea initiala, decidentul încearca mai întâi sa descreasca cantitatea a ceea ce el doreste sa maximizeze. Explicati cum este facuta comparatia costului marginal si a beneficiului marginal pentru aceste descresteri si cum ajunge decidentul la optim. (Se asuma ca nivelul initial este mai mare decât cel care se va dovedi la sfârsit a fi optimul).  

Putem caracteriza maximul venitului constrâns al consumatorului M din Figura 2.6, în termeni ai egalitatii dintre costul si beneficial marginal. Mici schimbari, în oricare directie, de-alungul liniei de buget I, reprezinta o situatie în care consumatorul cheltuie cu un dolar mai putin pentru unul dintre bunuri si un dolar mai mult pentru celalalt. Pentru a masura costul si beneficiul acestor schimbari marginale de-alungul liniei de buget, folosim notiunea de schimbari mici sau marginale în utilitate. De exemplu, daca scade cu un dolar suma pentru cumpararea lui y, aceasta deplasare cauzeaza o pierdere în utilitate pe care o putem numi costul marginal al realocarii bugetului. Dar dolarul cheltuit anterior pe y poate fi acum cheltuit pe x. Mai multe unitati din x înseamna o utilitate mai mare, astfel ca putem numi aceasta crestere ca beneficiul marginal al realocarii bugetului. Sa presupunem ca consumatorul se gândeste daca sa cheltuiasca un dolar mai putin pe bunul y si un dolar mai mult pe x. O va face? Numai daca costul marginal (descrsterea în utilitate datorata faptului ca are din y de un dolar mai putin) este mai mic decât beneficiul marginal (cresterea în utilitate din faptul ca are cu un dolar mai mult din x). Consumatorul va continua sa realoce dolarii de la cumpararea lui y si îi va directiona spre cumpararea lui x, pâna când procesul se va opri si maximul venitului constrâns va fi atins când beneficiul marginal al ultimei schimbari facute este egal cu costul marginal. Aceasta are loc în punctual M din Figura 2.6.

Figura 2.7 aplica maximizarea constrânsa pentru a reduce cantitatea de poluare. Pe axa verticala sunt sumele în dolari. Pe axa orizontala sunt unitati de reducere a poluarii. În origine nu este nici un efort pentru a reduce poluarea. Pe dreapta verticala etichetata cu "100%" poluarea a fost complet eliminata.  

Curba etichetata cu MB arata beneficial marginal pentru societate, al reducerii poluarii. Asumam ca acesta a fost masurat corect, luând în calcul sanatatea, estetica si toate celelalte beneficii pentru membrii societatii, care apar din reducerea poluarii la diverse nivele. Aceasta dreapta porneste de la un nivel ridicat, apoi descreste. Aceasta panta spre în jos evidentiaza faptul ca eforturile initiale privind reducerea poluarii confera mari beneficii pentru societate. Eforturile urmatoare, de reducere a poluarii, confera de asemenea un beneficiu pentru societate, dar nu la fel de mare ca si cel din eforturile initiale. În final, pe masura ce ne apropiem de dreapta verticala etichetata "100%" si toate vestigiile poluarii au fost eliminate, beneficiul pentru societate ca urmare a realizarii acestor ultimi pasi este pozitiv, dar nu la fel de mare ca si beneficiul din etapele timpurii ale reducerii poluarii.  

Curba etichetata MC reprezinta costul societal al atingerii nivelelor date de reducere a poluarii. Indivizii si firmele care polueaza trebuie sa suporte costuri ale conformarii cu directive societala de a reduce poluarea: ei trebuie sa adopte procese de productie mai curate si mai sigure, care sunt de asemenea mai scumpe; ei trebuie sa-si instaleze dispozitive de monitorizare care verifica nivelele de poluare pe care le genereaza; si ei trebuie sa se apere în instanta când sunt acuzati de violarea liniilor directoare privind reducerea poluarii. Am desenat cuba MC ca fiind cu panta în sus pentru a indica ca costurile de atingere a unui nivel oarecare dat de reducere a poluarii, cresc. Aceasta înseamna ca costul reducerii poluarii cele mai rele se poate sa nu fie foarte ridicat, dar nivelele urmatoare de reducere vor fi mult mai scumpe.  

Data fiind scaderea beneficiului margial si cresterea costului marginal, întrebarea care apare este: "Care este cantitatea optima de efort de reducere a poluarii ?" O examinare a Figurii 2.7 arata ca P* este cantitatea optima social a efortului de reducere a poluarii. (De notat ca (100% - P*) este cantitatea optima de poluare). Orice scadere va cauza o reducere a beneficiilor care ar fi mai mare decât economiile de costuri.  

De notat ca în figura avem o concluzie potential controversata - adica, cum ca nu ar fi optim pentru societate sa încerce sa elimine poluarea în întregime. Punând lucrurile cumva diferit, în conformitate cu figura, poate fi social optim sa se tolereze o oarecare poluare.  

Aceasta nu afecteaza concluzia pe care majoritatea economistilor o sustin. Motivul, care poate fi evident, este ca economistii încearca sa tina cont atât de costuri cât si de beneficii. Nimic nu este pe gratis. Majoritatea întelepciunii economistilor vine din recunoasterea acestui fapt si din deducerea tehnicilor pentru calculul costurilor lucrurilor si apoi compararea acestor costuri fata cu beneficiile.  

Întrebarea 2E: Sa prespunem ca obiectivul societatii referitor la poluare este sa se maximizeze beneficiile totale pentru societate ale refucerii poluarii, indiferent de costuri. Care nivel al efortului de reducere a poluarii din Figura 2.7 ar corespunde acestui obiectiv?  

Întrebarea 2F: Sa prespunem ca am caracteriza decizia societatii cu privire la eforturile pentru reducerea poluarii ca o încercare de a maximiza beneficiul net al eforturilor de reducere a poluarii. Sa definim beneficiul net ca si diferenta dintre beneficiul marginal si costul marginal. Care nivel al efortului de reducere a poluarii corespunde acestui obiectiv?  

Întrebarea 2G: Folosind un grafic ca si cel din Figura 2.7, aratati efectul asupra determinarii cantitatii optime de efortului social de reducere a poluarii al urmatoarelor:  

1.   o schimbare tehnologica care reduce costul marginal al atingerii unui nivel oarecare al reducerii poluarii;

2.   o descoperire conform careia sunt riscuri mai mari cu privire la sanatate, asociate cu fiecare nivel de poluare dat, decât erau crezute a fi anterior;

3.   o descoperire ca intersectia dreptelor MB si MC a aparut la dreapta verticala, etichetata cu "100%".  

Daca întelegeti ca pentru economisti optimul pentru aproape toate deciziile apare în punctul în care beneficiul marginal este egal cu costul marginal, atunci ati parcurs un drum lung spre stapânirea instrumentelor microeconomiei necesare pentru a raspunde la majoritatea întrebarilor când trebuie luate o decizie.

 Aceasta regula poate descrie la fel de bine un optim economic unde obiectivul decidentului este sa maximizeze ceva. În acest caz, optimul ar fi înca punctul în care MC = MB, dar demonstratia elaborarii deciziei stilizate a cuiva pentru a ajunge la acel punct ar fi diferita de aceea data în acest text..  

2.4. TEORIA OPŢIUNII CONSUMATORULUI sI A CERERII

E. CEREREA INDIVIDUALĂ


Putem folosi modelul optiunii consumatorului din sectiunea anterioara pentru a obtine o relatie între pretul unui bun si cantitatea din acel bun dintr-un pachet optim al consumatorului.  

Pornind din punctul M din Figura 2.6, trebuie notat ca atunci când pretul lui x este acela dat de linia de buget, cantitatea optima din x pentru consum este x*. Dar ce cantitate din x va dori acest consummator sa cumpere astfel încât sa maximizeze utilitatea când pretul lui x este mai scazut decât cel dat de linia de buget din Figura 2.6 ? Putem raspunde la aceasta întrebare tinând Py si I constante, lasând Px sa cada si notând cantitatea din x din pachetele optime urmatoare. Nu este surprinzator, rezultatul acestui exercitiu va fi ca pretul lui x si cantitatea din x din pachetele optime se afla în relatie inversa. Adica, atunci când pretul lui x creste, cantitatea din x pe care o va cumpara consumatorul scade, si vice versa. Acest rezultat este faimoasa lege a cererii.  

Putem reprezenta graphic aceasta relatie dintre Px si cantitatea din x ceruta pentru a obtine curba cererii individuale, D, prezentata în Figura 2.8.  

2.4. TEORIA OPŢIUNII CONSUMATORULUI sI A CERERII

F. ELASTICITATEA PREŢULUI CERERII


Curba cererii pe care am desenat-o în Figura 2.8 ar fi putut avea o panta diferita decât cea prezentata; ea ar fi putut fi ori mai aplatizata sau mai abrupta. Forma mai abrupta sau mai putin abrupta a curbei cererii este legata de un concept important numit elasticitatea pretului cererii, sau mai simplu elasticitatea cererii.  

Elasticitatea cererii masoara raspunsul cantitatii unui bun la o schimbare în pretul sau. Elasticitatea este calculata ca si variatia procentuala a cantitatii cerute, împartita la variatia procentuala a pretului. Masura este frecvent notata fie cu litera e si domeniile elasticitatii sunt numite "inelastica" ( e < 1 ), "elastica" ( e > 1 ) si "unitar elastica" ( e = 1).[1] Pentru un bun cu cerere inelastica, variatia procentuala a pretului depaseste variatia procentuala a cantitatii cerute. Astfel, un bun care are e = 0,5 este unul pentru care o scadere cu 50% a pretului, va cauza o crestere cu 25% a cantitatii cerute, sau pentru care o crestere cu 15% a pretului va cauza o scadere cu 7,5% a cantitatii cerute. Pentru un bun cu cerere elastica, variatia procentuala a pretului este mai mica decât variatia procentuala a cantitatii cerute. Ca si rezultat, un bun care are e = 1,5 este unul pentru care o scadere cu 50% a pretului va cauza o crestere cu 75% a cantitatii cerute, sau pentru care o crestere cu 20% a pretului va cauza o scadere cu 30% a cantitatii cerute.  

Cel mai important determinant al elasticitatii pretului cererii este prezenta substituentilor bunului. Cu cât sunt mai muti substituenti pentru un bun, cu atât este mai mare elasticitatea cererii; cu cât sunt mai putini substituenti cu atât mai scazuta este elasticitatea. Astfel, se poate astepta la o elasticitatea a pretului cererii relativ mare pentru bunui individuale ca vita, porc, pui, sau pâine alba si o elasticitate a pretului relativ scazuta pentru o categorie mai cuprinzatoare de bunuri, cum ar fi carnea. Se poate de asemenea astepta o elasticitate relativ scazuta a cererii pentru articole mai vicioase cum ar fi tigarile si bautura.  

Economistii au masurat elasticitatea pretului cererii pentru numeroase bunuri si servicii. Tabelul 2.1 prezinta unele dintre aceste masuratori. Am inclus atât elasticitatile pe termen scurt (de pâna la un an) si termen lung (mai mult de un an). Cu cât este mai lunga perioada de timp în timpul careia consumatorii pot face o ajustare la o variatie de pret, cu atât va fi mai elastica cererea lor. Sa consideram cazul gazolinei. Sa presupunem ca este o crestere subita a pretului gazolinei. Pe termen scurt, sa spunem în urmatoarele câteva luni, vor fi putine substituente pentru gazolina si consumatorii vor putea face doar ajustari limitate la obiceiurile lor privind consumul de gazolina. Ca si rezultat, se poate astepta o elasticitate relativ scazuta a cererii pentru gazolina pe termen scurt. În fapt, cifra din Tabelul 2.1 este 0,14 ceea ce indica ca daca pretul benzinei se dubleaza, va avea loc un declin cu numai 14% a cantitatii de gazolina ceruta. Dar pe o perioada de timp mai lunga, consumatorii pot face ajustari mai extinse la cresterea pretului benzinei prin, de exemplu, mers pe jos, transport în comun si bicicleta.  

  Prin conventie, e, elasticitatea pretului cererii, este un numar pozitiv (sau absolut), chiar daca calculul pe care l-am sugerat va conduce la un numar negativ



2.5. TEORIA OFERTEI

Ne întoarcem acum pentru a revedea cealalta fata a pietei: partea ofertei. Institutia cheie în furnizarea de bunuri si servicii pentru vânzarea catre consumatori este firma de business. În aceasta sectiune vom vedea care este obiectivul pe care îl urmareste firma si cum decide aceasta ce sa furnizeze. În urmatoarea sectiune vom combina modelele noastre privind oferta si cererea, pentru a arata cum activitatile de maximizare independente ale consumatorilor si firmelor realizeaza un echilibru al pietei.

2.5. TEORIA OFERTEI A. Firma Maximizatoare a Profitului

Firma este institutia în care outputul (produse si servicii) este fabricat din inputuri (capital, munca, pamânt, etc.). Asa cum am asumat ca consumatorii maximeaza utilitatea rational, subiect al constrângerii venitului lor, asumam ca firmele maximizeaza profiturile, subiect al constrângerilor impuse lor de cererea consumatorului si tehnologia productiei.  

În microeconomie, profiturile sunt definite ca diferenta dintre venitul total si costurile totale ale productiei. Venitul total pentru firma este egal cu numarul de unitati de output vândute, înmultit cu pretul fiecarei unitati. Costurile totale sunt egale cu costurile fiecaruia dintre inputuri înmultit cu numarul de unitati de input folosite, însumate la nivelul tuturor inputurilor. Firma care maximizeaza profitul produce acea cantitate de output care conduce la cea mai mare diferenta pozitiva dintre venitul firmei si costurile sale. Teoria microeconomica demonstreaza ca firma va maximiza profiturile sale daca produce acea cantitate de output al carei cost marginal este egal cu benitul sau marginal. (De fapt, aceasta este pur si simplu o aplicatie a regulii geneale pe care am discutat-o mai devreme în § 2.4.d: Pentru a atinge un optim, puneti în ecuatie costul marginal si beneficiul marginal).  

Exista aici câtiva termeni noi, pe care trebuie sa-i definim si sa-i explicam. Costul marginal este definit ca si cresterea costurilor totale care rezulta din producerea ultimei unitati (marginale) de output. În mod similar, venitul marginal este definit ca si cresterea venitului total care rezulta din vânzarea a înca unei unitati de output. Sa presupunem ca o firma urmareste sa-si maximizeze profiturile si produce un nivel oarecare de output, q1. Sa presupunem în continuare ca pentru producerea q1, contabilii firmei raporteaza ca suplimentul la veniturile totale din vânzarea celei de a q1 - a unitati a fost mai mare decât suplimentul la costurile totale de producere a acelei unitati. Ce se poate concluziona? În mod clar, productia unitatii a q1 - a unitati de output a crescut profiturile firmei deoarece veniturile totale au crescut mai mult decât costurile totale.  

Sa presupunem acum ca firma gândeste productia unitatii a q2 - a de output. Contabilii raporteaza ca pentru aceasta unitate de output costul marginal va depasi venitul marginal; adica, productia lui q2 va adauga mai mult la costurile totale decât va adauga la venitul total. În mod clar atunci, productia lui q2 va scadea profiturile.  

Aceste consideratii sugereaza ca atunci când venitul marginal depaseste costul marginal, firma îsi va extinde productia si ca atunci când costul marginal depaseste venitul marginal, ea va reduce cantitatea de output produsa. Urmeaza ca profiturile vor fi maximizate pentru acea output pentru care costul marginal si venitul marginal sunt egale. De notat economia acestei reguli: Pentru a maximiza profiturile, firma nu trebuie sa se preocupe de costurile sale totale sau de veniturile totale; în schimb ea poate pur si simplu sa experimenteze unitate-cu-unitate de productie pentru a descoperi nivelul de output care maximizeaza profiturile sale.  

În Figura 2.9 outputul care maximizeaza profitul firmei este prezentat de punctul în care curba costului marginal si curba venitului marginal al firmei sunt egale. Nivelul de output care maximizeaza profitul, este notat cu q*. Profiturile totale la acest nivel al productiei, notata prin aria hasurata din figura, este egala cu diferenta dintre veniturile totale ale firmei (p înmultit cu q*).  

Sunt câteva lucruri pe care va treebui sa le notati despre curbele din graphic. Am desenat venitul marginal orizontala si egala cu pretul predominant. Aceasta implica ca firma poate vinde atât de mult cât doreste, la pretul predominant. Dublarea vânzarilor sale nu va avea nici un efect asupra pretului pietei bunului sau serviciului. Acest fel de comportament este numit comportament luare-la-pret. Ea caracterizeaza industriile în care sunt atât de multe firme, majoritatea lor mici, încât actiunea nici uneia dintre firme nu poate afecta pretul pietei bunului sau serviciului. Un exemplu poate fi farmingul. Sunt atâti furnizori de grâu încât decizia unui fermier de a dubla sau tripla outputul sau de a-l reduce la jumatate nu va avea nici un impact asupra pretului sau de piata. (Desigur, daca toate fermele decide sa dubleze outputul, va fi un impact substantial asupra pretului pietei).

2.5. TEORIA OFERTEI B. Termenul scurt si Termenul lung

În microeconomie se spune ca firma opereaza în doua cadre de timp diferite: pe termen scurt si pe termen lung. Aceste perioade de timp nu corespund timpului calendaristic. În schimb ele sunt definite în termeni ai inputurilor firmei. Pe termen scurt cel putin un input este fix si factorul de productie usual care este fix este capitalul (cladirile firmei, utilajele si alte inputuri durabile). Deoarece capitalul este fix ae termen scurt, toate costurile associate cu capitalul sunt numite costuri fixe. Pe termen scut firma poate, în esenta, sa ignore acele costuri; ele vor aparea indiferent daca firma nu produce nimic sau produce 10 milioane de unitati de output. Termenul lung se distinge prin faptul ca toti factorii de productie devin variabili. Nu mai este nici un cost fix. Firmele stabilite îsi pot extinde capacitatea lor productiva sau sa paraseasca total industria si firme noi pot intra în business.  

O alta distinctie importanta între termenul lung si termenul scurt este în legatura cu nivelul de echilibru al outputului care maximizeaza profitul pentru fiecare firma. În oricare punct în timp este o rata medie a venitului câstigat de capital din ramura economica în ansamblul sau. Când profiturile dintr-o anumita ramura industriala depasesc media ratei profitului din industrie în ansamblul sau, firmele vor intra în aceasta industrie, asumând ca nu sunt bariere pentru a intra. Când are loc intrarea, pretul outputului din industrie scade, fîcând ca veniturile fiecarei firme sa scada. De asemenea, competitia crescuta pentru factorii de productie face ca preturile inputului sa creasca, împingând în sus costurile fiecarei firme. Combinarea acestor doua forte face ca profiturile fiecarei firme sa scada. Intrarea înceteaza când profiturile scad la rata medie.  

Economistii au o cale speciala de a descrie acesti factori. Venitul mediu la capital este tratat ca parte a acestor costuri care sunt scazute din venituri pentru a obtine "profituri economice". Astfel, când rata venitului la capitalul investit in industrie este egal cu media pe economie ca întreg, se spune ca "profiturile economice sunt zero"[1].  

Aceasta duce la concluzia ca profiturile economice sunt zero într-o industrie care este în echilibru pe termen lung. Deoarece aceasta conditie poate aparea numai în punctul de minim al curbei costului mediu al firmei, unde costurile medii de productie sunt atât de scazute cât este posibil ca ele sa fie, inputurile vor fi folosite cel mai eficient în echilibrul pe termen lung. Astfel, conditia profiturilor economice zero, departe de a fi un cosmar, este chiar o stare de dorit.


  Când profiturile într-o industrie data sunt mai mici decât cele din economie în ansamblul sau, se spune ca profiturile economice sunt negative. În acest caz, firmele ies din aceasta industrie pentru a merge în alte industrii în care profiturile sunt cel putin egale cu media pe economie. Ca si exercitiu, vedeti daca puteti demonstra procesul prin care profiturile merg spre zero când profiturile economice negetive dintr-o industrie fac sa aibe loc iesirea.

2.6. ECHILIBRUL PIEŢEI

Având descrise comportamentul consumatorilor de maximizare a utilitatii si al producatorilor de maximizare a profitului, urmatoarea noastra sarcina este sa le punem împreuna pentru a explica cum interactioneaza ele. Vom demonstra mai întâi cum un pret unic si o cantitate sunt determinate de o interactiune a cererii si ofertei într-o piata perfect competitiva si apoi vom arata ce se va întâmpla cu pretul si cantitatea când structura pietei schimba într-una de monopol. Vom încheia aceasta sectiune cu un exemplu al analizei echilibrului al unei probleme importanete de politica publica.

2.6. ECHILIBRUL PIEŢEI A. Echilibrul într-o Industrie Perfect Competitiva

O industrie în care sunt atât de multe firme încât nici una din ele nu poate influenta pretul pietei prin deciziile sale individuale si în care sunt atât de multi consumatori încât deciziile individuale de maximizare a utilitatii ale nici unuia dintre consumatori nu poate afecta pretul pietei, este numita o industrie perfect competitiva. Pentru o astfel de industrie cererea agregata pentru o oferta agregata de output poate fi reprezentata prin curba cererii îndreptata îm jos, d = d(p) si curba ofertei întreptata în sus, s = s(p), prezentate în Figura 2.10. Pretul si cantitatea schimbului pietei sau de echilibru apar în punctul de interesectie al curbelor ofertei si cererii agregate. La aceasta combinatie a pretului si cantitatii, deciziile consumatorilor si furnizorilor sunt consistente.  

O cale de a vedea de ce combinatia Pc, qc din Figura 2.10 este un echilibru este sa vedem ce s-ar fi întâmplat daca ar fi fost obtinuta o combinatie diferita pret - cantitate. Sa presupunem ca pretul initial al pietei era P1. La acel pret, producatorii si-ar maximiza profiturile prin furnizarea cantitatii qs1 de output si consumatorii care-si maximizeaza utilitatea ar fi pregatiti ca cumpere qd1 unitati de output. Aceste decizii de oferta si cerere sunt inconsistente: la P1 cantitatea pe care furnizorii ar dori sa o vânda depaseste cantitatea pe care consumatorii ar dori sa o cumpere. Cum va reactiona piata la acest exces de oferta? În mod clar, pretul pietei trebuie sa cada. Daca pretul scade, consumatorii vor cere mai mult si producatorii vor furniza mai putin , astfel ca diferenta dintre oferta si cerere se va diminua. Eventual, pretul poate atinge valoarea Pc. La acest pret, asa cum am vazut, cantitatea pe care furnizorii doresc sa o vânda si cantitatea pe care consumatorii doresc sa o cumpere sunt egale.  

2.6. ECHILIBRUL PIEŢEI O DIGRESIUNE: COSTUL OPORTUNITĂŢII sI AVANTAJUL COMPARATIV

Am folosit implicit unul dintre cele mai fundamentale concepte din microeconomie: costul oportunitatii. Acest termen se refera la costul economic al unei alternative care a fost acceptata. Când ati decis sa urmati un colegiu, liceu sau Dreptul, ati eliminat anumite alte aleternative valoroase, cum ar fi luarea unui job, antrenarea pentru Olimpiada, sau o calatorie în jurul lumii pe un vapor. În recunoasterea costului mersului la colegiu, liceu sau Drept, adevaratul cost economic a fost acela al urmatoarei cele mai bune alternative. Acest punct de vedere este adevarat în deciziile tuturor actorilor economici: când îsi maximizeaza utilitatea, consumatorul trebuie sa ia în considerare oportunitatile pierdute ca urmare a alegerii unui anumit pachet de bunuri de consum, în loc de altul; când îsi maximizeaza profiturile, firma trebuie trebuie sa ia în considerare oportunitatile pierdute prin angajarea resurselor sale în producerea unor anumite dispozitive, în loc de altceva.  

În general, notiunea economica de cost al oportunitatii este mai extinsa decât notiunea mai comuna, a costului contabil. Un exemplu va puncta aceasta.[1]  Sa presupunem ca o ruda bogata va da o masina al carei valoare de piata este de $15.000. Ea va spune ca daca vindeti masina puteti pastra banii pe care i-ati primi, dar daca veti folosi dvs. masina ea va plati benzina, uleiul, mentenanta, reparatiile si asigurarea. Pe scurt, ea spune"Folosirea masinii este GRATISĂ!"  Dar este? Sa presupunem ca cei $15.000 pentru care ati putea vinde masina, v-ar adduce o dobânda de 12% pe an într-un cont de economii, deci $1.800 pe an venit din dobânda. Daca folositi masina un an, valoarea sa de vânzare la scadea la $11.000 - un cost pentru dvs. de $4.000. Astfel, costul oportunitatii pentru ca folositi masina pentru un an este $4.000 plus dobânda pierduta de $1.800 - un total de $5.800. Adica departe de a fi pe gratis. Costul contabil al folosirii masinii este zero, dar costul oportunitatii este pozitiv.  

Avatajul comparativ este un alt concept economic util, legat de notiunea de cost al oportunitatii. Legea avantajului comparativ afirma ca oamenii ar trebui sa se angajeze în acele actiuni în care costul oportunitatii acestora este mai mic decât cel al altor actiuni. De exemplu, cineva care este înalt de 2,2 m are un avantaj comparativ în a urma o cariera în backetul profesionist. Dar ce spuneti despre cineva ale carei abilitati sunt astfel încât poate face mai multe lucruri bine? Sa presupunem de exemplu ca un avocat instruit este de asemenea un dactilograf foarte bun. Îsi va dactilografia singur, sau va angaja pe cineva sa o faca în timp ce el se va specializa în practica dreptului? Notiunea de avantaj comparativ sustine specializarea: avocatul, care este mai putin eficient în dactilografiere, decât sa încerce sa faca ambele joburi, poate face atât de multi bani prin specializarea sa în practicarea dreptului, încât îsi poate usor permite sa angajeze pe altcineva, pentru a dactilografia pentru el.


  Exemplul este luat din Roy Tuffin si Paul Gregory, Principles of Microeconomics 156 (2d ed. 1986)

2.6. ECHILIBRUL PIEŢEI B. ECHILIBRUL ÎNTR-O PIAŢĂ MONOPOLISTICĂ

Monopolul este la cealalta extrema a structurii pietei. Într-un monopol este numai un furnizor, astfel încât firma si industria sunt identice. Un monopol poate apare si persista numai unde sunt bariere pentru a intra, care o fac imposibila pentru ca sa apara firme competitoare. În general, astfel de bariere pot aparea din doua surse: prima, din restrictii statutare si alte restrictii legale la intrare; si a foua, din conditii tehnologice ale productiei cunoscute ca economii de scara. Un exemplu al unei restrictii statutare la intrare a fost refuzul Civil Aeronautics Board, din anii 1930 si pâna la mijlocul anilor 1970 de a permite intrarea de noi linii aeriene pe piata pentru traficul pasagerilor pe rute importante ca Los Angeles - New York si Chicago - Miami.  

A doua bariera de intrare este tehnologica. Economiile de scara sunt o conditie a productiei în care cu cât este mai mare nivelul de output, cu atât este mai scazut costul mediu al productiei. Unde exista astfel de conditii, o firma poate produce orice nivel de output la un cost mai mic decât multiple firme. Un monopolist care îsi datoreaza existenta economiilor de scara este uneori numit un monopol natural. Utilitatile publice, cum sunt companiile locale de apa, telecomunicatii, cablu si electricitate, sunt adesea monopoluri naturale. Avantajele tehnologice ale unui monopol natural ar fi partial pierdute daca firmei unice îi este permis sa restrictioneze outputul sau si sa aplice un pret de monopol. Din acest motiv, monopolurile naturale sunt în mod tipic reglementate de catre guvern.  

Monopolistul, ca si firma competitiva, maximizeaza profitul prin producerea acelui output pentru care costul marginal este egal cu venitul marginal. Costul marginal al monopolistului, ca si pentru firma competitiva, este costul producerii înca unei unitati de output. Acesta curba a costului este reprezentata în Figura 2.11 prin curba etichetata MC.

Dar venitul marginal pentru monopolist este diferit de ceea ce este pentru firma comprtitiva. Amintiti-va ca venitul marginal descrie variatia în veniturile totale ale unei firme pentru o variatie mica, sau marginala, a numarului de unitati de output vândute. Pentru firma competitiva venitul marginal este egal cu pretul outputului. Deoarece firma competitiva poate vinde atât de mult cât îi place la pretul predominant, fiecare unitate suplimentara de output vânduta adauga exact pretul de vânzare la veniturile totale ale firmei. Dar pentru monopolist, venitul marginal scade pe masura ce numarul de unitati vândute creste. Aceasta este indicat în Figura 2.11 prin curba cu panta descrescatoare etichetata MR. De notat ca curba MR se afla sub curba cererii. Aceasta indica faptul ca venitul marginal din orice unitate vânduta de un monopolist este întotdeauna mai mic decât pretul. MR este pozitiva dar scade pentru unitati de output între 0 si qc; astfel, vânzarea fiecareia dintre aceste unitati creste veniturile totale ale firmei dar la o rata descrescatoare. De fapt, unitatea qc nu aduna nimic la veniturile totale ale firmei (MR = 0) si pentru fiecare unitate de output peste qc,  MR este mai mic decât zero, ceea ce înseamna ca fiecare dintre aceste unitati de fapt reduc veniturile totale ale monopolistului.  

Motivul pentru aceasta relatie complexa dintre venitul marginal li unitatile vândute de catre monopolist este curba cererii cu panta descrescatoare. Curba cererii cu panta descrescatoare implica faptul ca monopolistul trebuie sa reduca pretul; dar pentru a vinde o unitate în plus de output el trebuie sa scada pretul nu numai al ultimei, sau marginalei, unitati ci a tuturor unitatilor vândute.[1] Din acest fapt poate fi aratat, folosind calculele, ca aportul la veniturile totale dintr-o unitate suplimentara de output vândut va fi întotdeauna mai putin decât pretul aplicat pentru acea unitate. Astfel, deoarece MR este întotdeauna mai mic decât pretul pentru toate unitatile de output si deoarece pretul este în declin dealungul curbei cererii, curba MR trebuie de asemenea sa fie cu panta descrescatoare si sa se situeze sub curba cererii.  

Monopolistul maximizeaza profitul sau prin alegerea acelui nivel de output pentru care venitul marginal si costul marginal sunt egale. Acest nivel de output, qm, este prezentat în Figura 2.11. Curba cererii indica faptul ca consumatorii doresc sa plateasca Pm pentru acea cantitate de output. De notat ca daca aceasta industrie ar fi fost competitiva în loc de monopolista, actiunile firmei de maximizare a profitului ar fi avut ca si rezultat un pret de echilibru si o cantitate la intersectia curbei ofertei agregate, S, si curba cererii industriei, D. Pretul competitiv, Pc, este mai scazut decât pretul monopolist si cantitatea de output produs si consumat în conditii de competitie, qc, este mai mare decât cel în conditii de monopol.  

Economistii disting structuri de piata suplimentare, care sunt intermediare între extremele competitiei perfecte si monopol. Cele mai importante dintre acestea sunt oligopolul si competitia imperfecta. O piata oligopola este una care contine firme putine care recunosc ca deciziile lor individuale de maximizare a profitului sunt interdependente. Aceasta înseamna ca optimul pentru firma A depinde nu numai de costurile sale marginale si cererea pentru outputurile sale, ci si de ce au decis firmele B, C si D sa produca si preturile pe care ele le aplica. Analiza economica a acestei interdependente necesita cunoasterea teoriei jocurilor, pe care o vom discuta mai jos. O piata imperfect competitiva este una care împartaseste majoritatea caracteristicilor pietei perfect competitive - de exemplu, intrari si iesiri libere ale firmelor si prezenta multor firme - dar are un element monopolist important: firmele produc output diferentiabile în loc de outputul omogen produs de firmele perfect competitive. Astfel, firmele imperfect competitive îsi disting outputul lor prin nume de brand, culori, dimensiuni, calitate, surabilitate s.a.m.d.


  Aceasta presupune ca monopolistul nu poate discrimina prin pret (adica, sa aplice preturi diferite la consumatori diferiti, pentru acelasi produs).

2.6. ECHILIBRUL PIEŢEI C. UN EXEMPLU DE ANALIZĂ DE ECHILIBRU

Este util sa avem un exemplu al aplicarii acestei teorii unei probleme reale. Sa ne imaginam o piata pentru închirierea de case, ca si aceea prezentata în Figura 2.12.

Cererea pentru închirierea de locuinte este data de curba D, si oferta de închirieri de case este data de curba ofertei S, cu panta îndreptata în sus. Asumând ca piata închirierii de case este competitiva, atunci actiunile independente ale consumatorilor si ale proprietarilor de case maximizatori de profit va conduce la o rata a închirierii r1 care sa fie aplicata si de h1 unitati de case de închiriat care sa fie furnizate si cerute. De notat ca acesta este un echilibru în sensul pe care l-am discutat mai sus: deciziile celor care cer produsul si al celor care o ofera sunt consistente la pretul r1. Daca nu este ceva care sa cauzeze ca curba cererii sau curba ofertei sa se deplaseze, aceasta combinasie pret si output va ramâne în forta.  

Dar, sa presupunem acum ca gurvenul local determina ca r1 este prea ridicat. Acesta adopta o ordonanta care specifica rata de închiriere maxima pentru case de rm, considerabila sub rata de echilibru a pietei. Speranta guvernului este aceea ca cel putin aceeasi cantitate de case va fi consumata de cei care închiriaza, dar la o rata de închiriere mai scazuta. Totusi, o privire pe Figura 2.12 conduce la una dintre îndoielile care rezulta. La rm, consumatorii cer hd unitati de case de închiriat. O cestere a cantitatii cerute la o rata mai mare, r1. Dar la aceasta rata mai scazuta, furnizorii sunt pregatiti sa ofere numai hs unitati de case pentru închiriat. Aparent, nu le merita sa aloce atât de mult din unitatile lor de case chiriasilor la aceasta rata scazuta; probabil, daca rm este tot ceea ce poate fi obtinut din închirierea unitatilor de case, furnizotii prefera sa comute unele dintre unitatile lor altor utilizari, cum ar fi ocuparea de catre familia proprietarului sau vânzarea lor ca si condomenii. Rezultatul plafonarii ratei impusa de catre guvern este o lipsa de, sau exces de cerere pentru, unitati de închiriere de (hd - hs).  

Daca plafonarea ratei este impusa strict, lipsa va persista. Trebuie gasite unele metode non-pret pentru a determina cine primeste cele hs  unitati de închiriere, cum ar fi coada de asteptare. Eventual, lipsa poate fi usurata daca, fie curba cererii se deplaseaza spre interior sau curba ofertei se deplaseaza în afara. Este de asemenea posibil ca proprietarii vor lasa ca proprietatile lor sa se deterioreze, prin neefectuarea mentenantei de rutina si a reparatiilor, astfel încât calitatea proprietatii lor scade atât de mult încât rm sa le produca o rata a venitului competitiva pentru ei.  

Daca, totusi, plafonarea ratei nu este impusa cu strictete, atunci consumatorii si furnizorii vor gasi o cale pentru a elimina lipsa. De exemplu, chiriasii pot oferi proprietarilor servicii gratuite sau plati secrete (uneori numite plati ascunse), pentru a avea o rata de închiriere efectiva peste rm si sa-i faca pe proprietari sa le închirieze lor în locul acelora care doresc sa plateasca numai rm. Aceste servicii si plati ascunse se pot ridica la (r2 - rm) per unitatea de case.

2.7. TEORIA JOCULUI

Frecvent legea se confrunta cu situatii în care sunt decidenti putini si în care actiunea optima de întreprins pentru o persoana depinde de ceea ce alege un alt actor. Aceste situatii sunt ca si jocurile, prin aceea ca oamenii trebuie sa decida asupra unei strategii. O strategie este un plan de actiune care raspunde la reactiile altora. Teoria jocului se ocupa de orice situatie în care strategia este importanta. Ca urmare, teoria jocului ne va întari întelegerea unor reguli si institutii juridice. Pentru aceia care ar dori sa urmeze acest subiect mai în detaliu, exista acum mai multe carti introductive în teoria jocului.[1]  

Pentru a caracteriza un joc, trebuie sa specificam trei lucruri:  

  1. jucatorii
  2. strategiile fiecarui jucator, si
  3. câstigurile[2] fiecarui jucator, pentru fiecare strategie.

Sa consideram un exemplu faimos - dilema prizonierului. Doi oameni, Suspectul 1 si Suspectul 2, conspira sa comita o crima. Ei au fost retinuti de politie în apropierea locului în care a fost comisa crima, dusi la sectia de politie si pusi în camere separate astfel încât sa nu poata comunica. Auritatile îi chestioneaza individual si încearca sa puna un suspect împotriva celuilat. Evidenta împotriva lor este circumstantiala - ei erau pur si simplu în locul nepotrivit la momentul de timp nepotrivit. Daca procurorul trebuie sa mearga la instanta numai cu aceasta evidenta, atunci suspectii vor fi acuzati de o ofensa minora si vor primi o pedeapsa relativ usoara - sa spunem un an de închisoare. Procurorul ar prefera foarte mult ca unul sau ambii suspecti sa marturiseasca despre crima mai serioasa pe care se considera ca ei au comis-o. Mai specific, daca oricare dintre suspecti marturiseste (si astfel implica pe celalalt) si celalt nu, cel care nu marturiseste va primi 7 ani de închisoare si, ca si recompensa pentru ca a ajutat statul, cel care a marturisit va primi numai jumatate de an de închisoare. Daca ambii suspecti pot fi facuti sa marturiseasca, fiecare va petrece 5 ani în închisoare. Ce va face fiecare dintre suspecti - sa marturiseasca, sau sa taca?



Strategiile disponibile suspectilor poate fi prezentata într-o matrice a câstigurilor ca si aceea din Figura 2.13.  

Fiecare suspect are doua strategii: sa marturiseasca sau sa taca. Câstigurile fiecarui jucator din a urma o strategie data sunt aratate de intrarile din cele patru celule ale careului, cu câstigul pentru Suspectul 2 fiind dat întâi si câstigul pentru Suspectul 1 fiind dat al doilea.  

Iata cum trebuie citite intrarile în matricea câstigurilor. Daca Suspectul 1 marturiseste si Suspectul 2 de asemenea marturiseste, fiecare va primi 5 ani de închisoare. (Aceasta este celula cu intrarea (-5, -5). Daca Suspectul 1 marturiseste si Suspectul 2 tace, Suspectul 1 va petrece jumatate de an în închisoare, si Suspectul 2 va petrece 7 ani în închisoare. (Aceasta este celula cu intrarea (-7, -0,5).) Daca Suspectul 1 tace si Suspectul 2 marturiseste, atunci Suspectul 2 va petrece o jumatate de an în închisoare, si Suspectul 1 va petrece 7 ani în închisoare. (Aceasta este celula cu intrarea (-1, -1).)  

Exista o alta cale de a privi optiunile Suspectului 1. Matricea câstigurilor este uneori numita ca forma strategica a jocului. O alternativa este forma extinsa. Aceasta pune optiunile unui jucator sub forma unui arbore al deciziei, care este aratata în Figura 2.14.  

Dorim acum sa exploram care este strategia optima - sa marturiseasca sau sa taca - pentru fiecare jucator, date fiind optiunile din matricea câstigurilor si data fiind alegerea facuta de celalalt jucator. Sa consideram cum îsi va selecta Suspectul 1 strategia sa optima. Sa ne amintim ca jucatorii sunt tinuti în camere separate si nu pot comunica unul cu celalalt. (Deoarece jocul este simetric, acesta este în exact acelasi fel în care Suspectul 2 îsi va alege strategia sa optima.)  

În primul rând, ce ar trebui sa faca Suspectul 1 daca Suspectul 2 marturiseste? Daca el tace când Suspectul 2 marturiseste, el va petrece 5 ani. Astfel, daca Suspectul 2 marturiseste, în mod clar cel mai bun lucru pentru Suspectul 1 este sa marturiseasca.  

Dar daca Suspectul 2 adopta strategia alternativa de a tacea? Care este cel mai bun lucru pe care îl poate face Suspectul 1 atunci? Daca Suspectul 2 tace si Suspectul 1 marturiseste, el va petrece numai o jumatate de an de închisoare. Daca el tace când si Suspectul 2 tace, el va petrece 1 an de închisoare. Din nou, cel mai bun lucru de facut pentru Suspectul 1 daca celalalt partener tace este sa marturiseasca.  

Astfel, Suspectul 1 va marturisi întotdeauna. Indifierent ce va face celalalt jucator, marturisirea va însemna întotdeauna mai putin timp în închisoare pentru el. În jargonul teoriei jocului acesta înseamna ca marturisirea este o strategie dominanta - miscarea optima de facut pentru un jucator  este aceeasi, indiferent de ceea ce face celalalt jucator.  

Deoarece celalalt suspect va merge în mod precis pe aceleasi calcule, el va marturisi de asemenea. Marturisirea este strategia dominanta pentru fiecare jucator. Rezultatul este ca suspectii vor lege amândoi sa marturiseasca si astfel fiecare va petrece 5 ani de închisoare.  

Solutia acestui joc, în care ambii suspecti marturisesc, este un echilibru: nu exista nici un motiv pentru nici unul dintre jucatori sa-si schimbe strategia. Exista un concept faimos în zeoria jocului care caracterizeaza acest echilibru - un echilibru Nash. Într-un astfel de echilibru, nici unul dintre jucatori nu poate ajunge într-o pozitie mai buna prin schimbarea comportamentului sau, atât timp cât ceilalti jucatori nu si-l schimba pe al lor. (De notat ca echilibrul competitiv pe care l-am discutat în sectiunile anterioare este un exemplu al unui echilibru Nash când sunt mai muti jucatori în joc.)  

Notiunea unui echilibru nash este fundamentala în teoria jocului, dar ea are scapari. De exemplu, sunt unele jocuri care nu au echilibru Nash. Exista unele jocuri care au mai multe echilibre Nash. si în final, nu este în mod necesar o corespondenta între echilibrul nash si eficienta Pareto, criteriul pe care îl folosesc economistii pentru a evalua multe echilibre. Pentru a vedea de ce, sa ne întoarcem la dilema prizonierului de mai sus. Am vazut ca este un echilibru Nash pentru ca ambii suspecti sa marturiseasca. Dar veti nota ca aceasta nu este o eficienta - Pareto a jocului. Când ambii suspecti marturisesc, ei vor petrece fiecare 5 ani în închisoare. Este posibil pentru ambii jucatori sa fie într-o pozitie mai buna. Astfel, celula 4 (unde fiecare primeste un an de închisoare) este un rezultat eficient - Pareto. În mod clar, acea solutie este imposibila, deoarece suspectii nu pot face legaminte obligatorii sa nu marturiseasca.[3]  

Putem folosi dilema priyonierului pentru a discuta un alt concept fundamental al teoriei jocului - jocuri repetate. Sa presupunem ca dilema prizonierului nu s-ar fi jucat numai o data ci de un numar de ori, de aceeasi jucatori. Ar schimba analiza noastra asupra jocului?  Daca aceeasi jucatori joaca acelasi joc în accord cu aceleasi reguli în mod repetat, atunci este posibil sa apara cooperare si ca jucatorii au un stimulent sa-si stabileasca o reputatie - în acest caz, de încredere.  

Un lucru important de stiut cu privire la un joc repetat este daca jocul va fi repetat de un numar fix de ori, sau de un numar indefinite. Pentru a vedea diferenta, sa presupunem ca dilemma prizonierului de mai sus se repeta de exact zece ori. Acum, strategia optima a fiecarui jucator trebuie sa fie considerata pe parcursul jocurilor, nu doar pentru un joc o data. Îmaginati-va ca Suspectul 2 se gândeste, înainte de a fi jucat primul joc, ce strategie va trebui el sa urmeze pentru fiecare joc. El îsi poate imagina ca el si partenerul sau, daca sunt prinsi dupa crima, vor învata (sau vor conveni) sa taca în loc de a marturisi. Dar apoi Suspectul 2 se gândeste înainte, la jocul final, al zecelea. Chiar daca jucatorii au învatat (sau au convenit) sa taca pâna la Jocul 9, lucrurile vor fi diferite în Jocul 10. Deoarece aceasta este ultima data când se joaca jocul, Suspectul 1 are un stimulent puternic sa marturiseasca. Daca ea marturiseste la ultimul joc si Suspectul 2 respecta acordul de a nu marturisi, el va petrece 7 ani în închisoare si ea jumatate de an. Cunoscând ca ea are acest stimulent de a trisa asupra acordului de a nu marturisi în ultimul joc, cea mai buna strategie pentru Suspectul 2 este de asemenea sa marturiseasca în jocul final. Dar acum, într-un sens, Jocul 9 devine jocul final. si în ceea ce priveste decizia asupra strategiei optime pentru acest joc, exact aceeasi logica se aplica ca si pentru Jocul 10 -ambii jucatori vor marturisi în Jocul 9, de asemenea. De asemenea si Suspectul 1 poate face acelasi lucru si ea va realiza ca cel mai bun lucru de facut este sa marturiseasca în Jocul 8 si asa mai departe. În terminologia teoriei jocului, jocul se lamureste astfel încât marturisirea are loc de fiecare dintre jucatori, de fiecare data este jucat jocul, daca acesta este jucat de un numar fix de ori.  

Lucrurile pot fi diferite daca jocul se repeta de un numar indefinit de ori. În aceste circumstante poate fi o inducere de cooperare. Robert Axelrod a aratat ca într-un joc ca dilema prizonierului, repetat de un numar indefinit de ori, strategia optima este tit-for-tat - daca celalalt jucator a cooperat la ultimul joc, tu cooperezi la acest joc; daca ea nu a cooperat la ultimul joc, tu nu cooperezi la acest joc.[4]  

Aceste consideratii privind un numar fix versus indefinit de jocuri pot parea rupte de contextul preocuparilor dreptului, dar ele chiar nu sunt. Sa consideram, de exemplu, legaturile dintre un creditor si un debitor. Când afacerile debitorului merg bine, relatiile de credit dintre creditor si debitor pot fi analogizate cu un joc jucat de un numar indefinit de ori. Dar daca debitorul este probabil sa devina în curând insolvabil, legaturile dintre debitor si creditor devin mult mai asemanatoare cu cele ale unui joc care trebuie jucat de un numar fix (si probabil mic) de ori.  

Vom vedea ca aceste concepte din teoria jocului vor juca un rol important în întelegerea noastra asupra reglementarilor si institutiilor legale.


Pentru aceia care ar dori sa urmeze teoria jocurilor mai în detaliu, exista acum mai multe texte introductive: Eric Rasmusen, GAMES AND INFORMATION: AN INTRODUCTION TO GAME THEORY (2nd ed. 1995); David Kreps, GAME THEORY AND ECONOMIC MODELLING (1990); sI Avinash Dixit si Barry Nalebuff, THINKING STRATEGICALLY: THE COMPETITIVE EDGE IN BUDINESS, POLITICS, AND EVERYDAY LIFE (1991). Tratari mai avansate pot fi gasite în Roger Myerson, GAME THEORY (1991) si Drew Fudenberg si Jean Tirole, GAME THEORY (1991). Cu referinta speciala la drept, vezi Douglas Baird, Robert Gertner, si Randal Picker, GAME THEORY AND THE LAW (1995).

  payoffs

  Va puteti gândi la o cale fezabila prin care suspectii sa fi convenit înainte sa nu marturiseasca niciodata ca ei au savârsit crima? Pusa în limbajul teoriei jocului, poate un participant într-un joc ca si dilema prizonierului sa faca un anagajament credibil sa nu marturiseasca daca el si partenerul sau sunt prinsi?

 Vezi Robert Axel, THE EVOLUTION OF COOPERATION (1984)

2.8. TEORIA STABILIRII PREŢULUI UNUI ACTIV

Aria teoriei microeconomice care se ocupa de pieta muncii si cea de capital sunt peste scopul materialului din aceasta carte. Exista totusi un instrument din aceasta arie pe care îl vom folosi: teoria stabilirii pretului unui activ.  

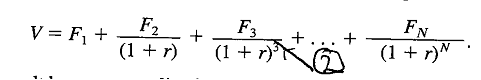
Activele sunt resurse care genereaza un flux de venit. De exemplu, un bloc de apartamente poate genera un flux de plati de chirii; un patent poate genera un flux de plati de drepturi de autor; o anuitate poate genera o suma fixa pe an. Exista o tehnica pentru a converti astazi aceste diverse fluxuri de venituri viitoare (sau cheltuieli viitoare sau, înca mai general, intrari nete) într-o suma totala. Întrebarea generala care se pune este: "Cât de mult ati fi dispus sa platiti astazi pentru un activ care genereaza un viitor flux de intrari nete?"  

Putem raspunde la aceasta întrebare prin calcularea valorii scontate prezenta[1] a fluxului viitor de intrari nete. Sa presupunem ca detinerea unui anumit activ va genera F1 intrari nete la sfârsitul primului an; F2 intrari nete la sfârsitul celui de al doilea an; F3 intrari nete la sfârsitul celui de al treilea an; si FN intrari nete la sfârsitul celui de al n-lea an; Valoarea scontata prezenta a acestui active este egala cu:

Acest rezultat are multe aplicatii în drept. De exemplu, sa presupunem ca o instanta cauta sa compenseze pe cineva a carui proprietate a fost distrusa. O metoda de evaluare a pierderii este sa se calculeze valoarea scontata prezenta a fluxului viitor de intrari nete la care proprietarul ar fi fost îndreptatit.

the present discounted value

2.9. ECHILIBRUL GENERAL sI ECONOMIA BUNĂSTĂRII

Teoria microeconomica pe care am trecut-o în revista pâna acum s-a focalizat, în descrierea deciziilor consumatorilor si firmelor, pe conceptele fundamentale ale maximizarii, echilibrului si eficientei. Partea teoriei microeconomice numita economia bunastarii exploreaza cum interaxtioneaza deciziile multor indivizi si firme pentru a afecta bunastarea indivizilor. Economia bunastarii este mult mai filozofica decât alte teme din teoria microeconomica. De aici apar chestiunile marii politici. De exemplu, este un conflict inerent între eficienta si corectitudine? În ce masura pot pietele nereglementate sa maximizeze bunastarea individului? Când si cum ar trebui sa intervina guvernul pe o piata? Poate economia sa identifice o distributie justa a bunurilor si serviciilor? În aceasta scurta introducere putem numai sa atingem modul în care teoria microeconomica abordeaza aceste chestiuni. Cu toate acestea, acest material este fundamental pentru analiza economica a reglementarilor legale.

2.9. ECHILIBRUL GENERAL sI ECONOMIA BUNĂSTĂRII A. Echilibrul General si Teoremele Eficientei

Una dintre marile împliniri ale microeconomiei moderne este specificarea conditiilor în care deciziile independente ale consumatorilor maximizând utilitatea si firmelor maximizând profitul vor conduce la stabilirea inevitabila, spontana, a echilibrului în toate pietele simultan. O astfel de conditie este cunoscuta ca echilibrul general. Echilibrul general va fi atins numai când fortele competitive au dus pe piata la egalitatea beneficiului marginal si a costului marginal, pentru fiecare dintre bunuri si servicii. Asa cum bine va puteti imagina, sunt doua motive practice pentru a cunoaste ce conditii trebuie îndeplinite pentru a obtine echilibrul general. Prima, în timp ce toate pietele lumii reale se poate sa nu se supuna acestor conditii, multe dintre ele o vor face. A doua, specificarea conditiilor care conduc la echilibrul general furnizeaza un etalon pentru a evalua diverse piete si a face recomandari pentru politica publica.  

Microeconomia moderna a demonstrat ca echilibrul general are caracteristici pe care economistii le descriu ca optim social - adica, echilibrul general este eficient atât productiv cât si alocativ.


2.9. ECHILIBRUL GENERAL sI ECONOMIA BUNĂSTĂRII B. Esecurile Pietei

Echilibrul general este un rezultat atât de dorit încât ar fi de ajutor pentru a cunoaste conditiile în care el va avea loc. Dezbracat de detalii, conditia esentiala este ca toate pietele sunt perfect competitive. Putem caracteriza lucrurile care ar putea merge rau si sa împiedice ca aceasta conditie esentiala sa fie atinsa pe o piata. În aceasta sectiune vom descrie cele patru surse ale esecului pietei, asa cum este numit, si vom descrie politicile publice care pot, în teorie, sa corecteze acele esecuri.  

1. Monopolul si Puterea Pietei. Prima susrsa a esecului pietei este monopolul în diferitele sale forme: monopol pe piata de desfacere, întelegeri secrete între alte firme competitive întelepte sau furnizori de inputuri, si monopsony (numai un cumparator) pe piata de input. Daca industria ar fi competitiva, beneficiul marginal si costul marginal ar fi egale. Dar asa cum este ilustrat în Figura 2.11, combinatia monopolistului, outputul care maximizeaza profitul si pretul, apare într-un punct unde pretul depaseste costul marginal al productiei. Pretul este prea mare si cantitatea furnizata este prea scazuta din punct de vedere al eficientei.  

Politicile publice pentru corectarea defectelor monopolului sunt sa înlocuiasca unde este posibil monopolul cu competitia, sau sa se reglementeze pretul aplicat de catre monopolist. Prima politica este rationala pentru legile antitrust. Dar uneori nu este posibil, sau chiar de dorit sa se înlocuiasca un monopol. Monopoluri naturale, cum sunt utilitatile publice, sunt un exemplu; acestor monopoluri li se permite sa continue sa existe, dar guvernul reglementeaza preturile lor.  

2. Externalitati. A doua sursa de esec al pietei este prezenta a ceea ce economistii numesc externalitati. Scimbul în cadrul unei piete este voluntar si mutual benefic. În mod tipic, partile la schimb capteaza toate beneficiile si suporta toate costurile. Dar uneori beneficiile unui schimb se pot revarsa catre alte parti decât cele angajate explicit în schimb. Mai mult, costurile schimbului pot de asemenea sa se reverse catre alte parti. Prima instanta este un exemplu al unui beneficiu extern; al doilea un cost extern. Un exemplu al unui beneficiu extern este polenizarea pe care o face o albina vecinului sau care detine o livada de mere. Un exemplu al unui cost extern este poluarea aerului sau apei.  

Sa exploram ideea unui cost extern (frecvent numit simplu o externalitate) pentru a vedea cum poate el duce la esecul pietei si ce politici publice pot corecta acest esec. Sa presupunem ca o fabrica localizata în amonte fata de un oras populat, deverseaza materiale toxice în râu ca si subprodus al procesului sau de productie. Aceasta actiune a fabricii impune un cost nenegociabil pentru locuitorii orasului din aval: ei trebuie sa suporte unele costuri suplimentare pentru a curata apa sau pentru a aduce o apa mai sugura din alta parte. În ce mod a esuat piata în acest exemplu? Motivul pentru care piata esueaza în prezenta costurilor externe este acela ca generatorul externalitatii nu trebuie sa plateasca pentru ca i-a prejudiciat pe altii si adtfel exercita o prea mica auto-constrângere. Ei actioneaza ca si cum costul deversarii rezuduurilor este zero, câd de fapt sunt costuri reale implicate, dupa cum pot depune marturie cetatenii din aval. Într-un sens tehnic, generatorul externalitatii produce prea mult output si prejudiciaza prea mult deoarece exista o diferenta între costul marginal privat si costul marginal social.  

Costul marginal privat, în exemplul nostru, este costul marginal al productiei pentru fabrica. Costul marginal social este suma costului marginal privat si costurile marginale aditionale impuse involuntar unei terte parti de fiecare unitate de productie. Diferenta este prezentata în Figura 2.15. Costul marginal social este mai mare decât costul marginal privat la fiecare nivel de output. Diferenta verticala dintre cele doua curbe este egala cu cantitatea de cost marginal extern la oricare nivel de output. De notat ca daca productia este zero, nu este externalitate, dar pe masura ce productia creste, cantitatea de cost extern per unitatea de output creste.  

Firma maximizatoare de profit opereaza de-alungul curbei costului sau marginal privat si maximizeaza profiturile prin alegerea acelui nivel de output pentru care PC = PMC - adica qp. Dar din punctul de vedere al societatii, acest output este prea larg. Resursele societatii vor fi folosite cel mai eficient daca firma îsi alege nivelul outputului sau devine egal cu PC si SMC la qs. La acest nivel firma a tinut cont nu numai de costurile sale de productie ci de asemenea oricare costuri pe care ea le impune altora involuntar.  

Ce politici publice vor induce generatorului externalitatii sa tina cont de costurile externe? Aceasta este una dintre întrebarile centrale la care aceasta carte va încerca sa raspunda. Cheia pentru a atinge optimul social unde nu sunt externalitati este sa se induca maximizatorilor de profit sa-si restrictioneze outputul la optimul social, nu la optimul privat, punct. Acesta este facuta prin politici care fac firma sa opereze de-a lungul curbei costului marginal social în loc de de-a lungul curbei costului marginal privat. Când aceasta este realizata, externalitatea se spune ca a fost internalizata în sensul ca firma privata îl ia acum în considerare.  

Întrebarea 2H: În Figura 2.15, daca firma produce qS output, este generat vreun cost extern? Daca da, care este nivelul output numit un optim social? Nu ar fi optim sa nu avem cost extern? La ce nivel de output ar aparea aceasta? Furnizeaza vreo ghidare discutia noastra anterioara care a caracterizat orice optim social ca si punctul în care costul marginal (social) este egal cu beneficiul marginal (social)? Este consistent punctul în care costul marginal social si beneficiul marginal social sunt egale, cu existenta vreunui cost extern? De ce da, sau de ce nu?


3. Bunuri publice. A treia sursa a esecului pietei este prezenta unui bun numit un bun public. Un bun public este o marfa cu doua caracteristici foarte strâns legate:  

1.  consum fara rivalitate: consumul unui bun public de o persoana nu lasa mai putin pentru oricare alt consumator, si

2.  non excludere: costurile excluderii beneficiarilor care consuma bunul si nu platesc sunt asa de mari ca nici o firma privata maximizatoare de profit nu doreste sa furnizeze bunul.      

Sa consideram apararea nationala. Sa presupunem, în scopul ilustrarii, ca apararea nationala este furnizata de companii private competitoare. Pentru o taxa anuala o companie ar vinde protectie clientilor sai fata de pierderi din invazii straine pe calea aerului, terestre, sau marine. Numai acei clienti care cumparar unele din serviciile companiei sunt protejati fata de invazia externa. Probabil acesti clienti pot fi identificati prin înbracaminte speciala si propietatea lor marcata cu un mare X alb pe acoperisul caselor lor.  

Cine va cumpara serviciile acestor companii private de aparare nationala? Unii o vor face, dar multi nu. Multi dintre non-cumparatori vor motiva ca daca vecinul lor va cumpara o polita de la o companie privata de aparare nationala, atunci si ei vor fi protejati: se va dovedi virtual imposibil pentru compania privata ca sa protejeze proprietatea si persoana vecinului fara a furniza de asemenea securitate vecinului non-cumparator. Astfel, consumul de aparare nationala este fara rivalitate: consumul de catre o persoana nu lasa mai putin pentru oricare alt consumator. Din acest motiv, este o puternica inducere pentru consumatorii bunului public furnizat privat sa încerce sa fie free riders: ei spera sa beneficieze fara vreun cost pentru ei, din plata altora.  

Problema legata pentru furnizprul privat al bunului public este dificultatea de a exclude beneficiarii care nu platesc. Tentativa de a-i distinge pe aceia care au subscris la companiile de aparare privata de cei care nu au subscris, este aproape sigur un esec: de exemplu, hainele de identificare si marcajele proprietatii pot fi usor contrafacute.  

Ca si rezultat al prezentei free riders si a costului ridicat al distingerii beneficiarilor platitori de cei neplatitori, nu este probabil ca compania privata va fi capabila sa induca multor oameni sa cumpere serviciile de aparare. Daca firmele particulare profit-maximizatoare sunt singurele furnizoare de aparare nationala, va fi furnizat prea putin din acest bun.  

Cum poate politica publica corecta esecul pietei în furnizarea bunurilor publice? Sunt doua corective generale. Primul, guvernul poate prelua sa subsidieze furnizarea privata a bunului public, fie direct, sau indirect prin sistemul de taxe. Un exemplu poate fi cercetarea în stiinta fundamentala. Al doilea, guvernul poate prelua sa furnizeze el însusi bunul public si sa plateasca costurile de furnizare a serviciului prin veniturile colectate prin taxare obligatorie. Acesta este de fapt modul în care este furnizata apararea nationala.  

4. Asimetrii informationale severe. A patra sursa a esecului pietei este o debalansare a informatiei între partile unui schimb, una atât de severa încât schimbul este împiedicat.  

Pentru ilustrare, este adesea cazul ca vânzatorii stiu mai mult cu privire la calitatea bunurilor decât stiu cumparatorii. De exemplu, o persoana care îsi ofera masina sa pentru vânzare stie mult mai mult cu privire la subterfugiile ei decât stie un potential comparator. Similar, când o banca prezinta un acord de depozitare spre semnare unei persoane care îsi deschide un cont la vedere, banca stie mult mai mult decât clientul cu privire la consecintele legale ale acordului.  

Când vânzatorii stiu mai mult despre produs decât stiu cumparatorii, sau vice versa, se spune ca informatia este distribuita asimetric în piata. În unele circumstante, aceste asimetrii pot fi corectate prin mecanismul schimbului voluntar, de exemplu prin dorinta vânzatorului de a furniza un certificat de garantie cu privire la calitatea produsului. Dar asimetriile severe pot distorsiona pietele atat de mult încât prin schimb volutar nu poate fi atins un optim social. Când se întâmpla aceasta, interventia guvernului în piata poate în mod ideal corecta asimetriile corectionale si induce mai mult un schimb aproape optim. De exemplu, cumparatorii unei case sunt adesea în dezavantaj vis-ŕ-vis de proprietarii actuali în cunoasterea defectelor latente, cum ar fi prezenta termitelor sau fundatia crapata a casei. Ca si rezultat, piata pentru vânzarea caselor se poate sa nu functioneaza eficient; cumparatorii se poate sa plateasca prea mult pentru case sau ei se pot retine în mod ineficinet de al cumparari datorita fricii unor defecte latente. Multe state au raspuns prin a cere vânzatorilor sa dezvaluie cunoasterea oricaror defecte latente cumparatorilor în perspectiva ai caselor. Daca vânzatorii nu dac aceasta dezvaluire, atunci ei pot fi responsabili pentru corectarea acelor defecte.




Document Info


Accesari: 5991
Apreciat: hand-up

Comenteaza documentul:

Nu esti inregistrat
Trebuie sa fii utilizator inregistrat pentru a putea comenta


Creaza cont nou

A fost util?

Daca documentul a fost util si crezi ca merita
sa adaugi un link catre el la tine in site


in pagina web a site-ului tau.




eCoduri.com - coduri postale, contabile, CAEN sau bancare

Politica de confidentialitate | Termenii si conditii de utilizare




Copyright © Contact (SCRIGROUP Int. 2025 )