1.1. Conceptul de politica fiscala
1.2. Instrumentele politicii fiscale
1.3. Bugetul public
1.4. Modelarea politicii fiscale. Curba IS
1.5. Curba Laffer
1.6. Multiplicatorii fiscali si bugetari
1.7. Stabilizatorii fiscali automati
1.8. Macrostabilizarea prin politica fiscala
2.1. Conceptul de politica monetara
2.2. Instrumentele politicii monetare
2.3. Modelarea politicii monetare. Curba LM
3.1. Echilibrul economic intern. Analiza IS-LM
3.2. Alegerea politicii guvernamentale "optime"
3.3. Ajustarea socurilor
Figura 20. Modelarea politicii fiscale cu ajutorul curbei IS
![]()
![]()

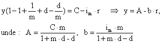
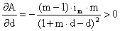
Panta curbei IS (b) depinde de trei factori: investitia marginala (im) , multiplicatorul investitiei autonome (m) si rata impozitarii directe (d), astfel:
a) în raport de investitia marginala (im): direct proportional
![]()
Termenul liber al curbei IS (A) depinde de trei factori: cererea autonoma (C), multiplicatorul investitiei autonome (m) si rata impozitarii directe (d), astfel:
a) în raport de cererea autonoma (C): direct proportional
![]()
![]()
Vf = f(pf)
pf = Vf / PIB , de unde: Vf = pf . PIB
![]()
![]()

Figura 21. Reprezentarea grafica a curbei Laffer
- sa reluam ecuatia echilibrului macroeconomic (tot în cazul economiei închise)
y = c[y - t(y)] + i(r) + g
- sa diferentiem relatia anterioara, în raport cu y si în raport cu t:
dy = c' dy - c' dt , de unde: dy (1 - c') = - c' dt, de unde:
![]()
Multiplicatorul cheltuielii guvernamentale (mg)
Multiplicatorul bugetului echilibrat (mbe)
- se pune problema în care guvernul doreste sa sporeasca cheltuielile guvernamentale dar, pentru a finanta deficitul bugetar care apare, sporeste si fiscalitatea, asa încât bugetul ramâne echilibrat
- vor actiona, deci, concomitent, atât multiplicatorul fiscal cât si multiplicatorul cheltuielilor:
![]()
![]()

Figura 22. Mecanismul stabilizatorilor fiscali automati în cazul utilizarii depline a fortei de munca

Figura 23. Mecanismul stabilizatorilor fiscali automati în cazul subutilizarii fortei de munca
- somajul: PIB efectiv este mai mic decât PIB potential
- inflatia: PIB efectiv este mai mare decât PIB potential
- variatia veniturilor bugetare (prin intermediul impozitarii)
- variatia cheltuielilor bugetare

Figura 24. Eliminarea ecartului recesionist prin politica fiscala

Figura 25. Eliminarea ecartului inflationist prin politica fiscala
Tema de seminar: Pe baza diagramelor anterioare, sa se stabileasca formulele
de calcul al ecartului recesionist, respectiv al ecartului inflationist
- este apanajul bancii centrale
- este aplicabila pe piata monetara (asupra economiei simbolice)
- se refera cu precadere la ajustarea dezechilibrelor macroeconomice interne
- este relativ
flexibila: modificarea politicii monetare se realizeaza cu
usurinta si
în termen scurt
- eficacitatea politicii monetare este incerta
- efectul politicii monetare nu este imediat
- rata de rescont
- restrictionarea creditului bancar
- operatiunile open-market
- sterilizarea
- seniorajul
- operatiunile cvasi-fiscale
- persuasiunea morala
- concept: ponderea pe care, din totalul depozitelor detinute, bancile comerciale trebuie sa o depuna, la banca centrala, într-un cont propriu, intangibil
- RLMO =
. D
(
este rata rezervelor legale minime obligatorii; RLMO este
rezerva legala minima obligatorie; D reprezinta totalul
depozitelor bancare)
- scop: controlul masei monetare din economie, în vederea gestionarii fenomenului inflationist
- concept: rata de retentie, de catre banca centrala, din valoarea titlurilor de credit pe care bancile comerciale le resconteaza la banca centrala
- scontare: vânzarea, de catre firmele non-financiare, catre bancile comerciale, a titlurilor de credit detinute, înainte de scadenta (este o forma de finantare directa a firmelor non-financiare)
- rata de scont: rata de retentie, de catre bancile comerciale, din valoarea titlurilor de credit pe care firmele non-financiare le sconteaza
- rescontare: scontarea, de catre bancile comerciale, catre banca centrala, a titlurilor de credit detinute prin scontare (este o forma de refinantare directa a bancilor comerciale)
- scop: exercitarea unei influente indirecte asupra marimii si dinamicii ratei dobânzii bancare
- mecanism:

Figura 26. Scontarea si rescontarea titlurilor de credit
![]()
![]()
![]()
![]()
![]()
![]()
![]()
- concept: limitarea superioara (plafonarea), prin masuri administrative, a excedentului de rezerva care poate fi acordat sub forma de credite
- scop: controlul masei monetare injectate în economie prin credit bancar
- mecanism: banca centrala stabileste un coeficient care se va aplica la masa creditului bancar acordata în anul precedent (subunitar: daca se doreste micsorarea creditului acordat în anul curent; supraunitar: daca se doreste majorarea creditului)
![]()
- concept: vânzarea sau cumpararea, de catre banca centrala a titlurilor de stat existente la banci sau la populatie
- scop: modificarea excedentului de rezerva al bancilor comerciale si, ca urmare, modificarea masei monetare injectate în economie prin credit
- mecanism: a) vânzarea titlurilor de stat reduce disponibilitatile bancilor (chiar daca se vinde non-bancilor - ex., populatiei - în final cecurile sunt onorate tot de catre banci)
b) cumpararea titlurilor de stat mareste disponibilitatile bancilor (chiar daca se cumpara de la non-banci - ex., de la populatie - în final cecurile sunt onorate tot catre banci)
- concept: separarea circuitelor monetare externe (valutare) de masa monetara interna
- scop: mentinerea neschimbata a bazei monetare si, ca urmare, prin intermediul multiplicatorului monetar, a masei monetare din economie
- mecanism: acelasi ca si în cazul operatiunilor open-market
- ex.: banca centrala vinde valuta pe piata valutara pentru a sustine cursul de schimb; ca urmare scade rezerva valutara deci scade baza monetara; atunci trebuie sa cumpere titluri de stat pentru a reface baza monetara
- concept: cresterea bazei monetare reale
- scop: finantarea deficitului bugetar (prin monetizarea datoriei publice)
- mecanism: împrumutul direct, de catre Trezorerie (casieria guvernului) de la banca centrala, ceea ce înseamna creare de baza monetara suplimentara
OBS.: în esenta, seniorajul nu se deosebeste de finantarea deficitului bugetar, de catre banca centrala, prin cumpararea de titluri de stat
- efect: apare fenomenul de impozitare a inflatiei, prin deteriorarea valorii activelor financiare detinute de banci si non-banci
- concept: operatiuni de politica monetara ale caror efecte pot fi, în principiu, dublate de masuri fiscale explicite (taxe, subsidii, cheltuieli directe etc.)
- tipologie: - credite subventionate
- manipularea rezervelor legale
- cursuri valutare multiple (paralele)
- garantii împotriva riscului valutar
- interventii financiare la bancile aflate în dificultate
- operatiuni de sterilizare
- concept: diligente facute de catre banca centrala catre bancile comerciale, în forma orala sau scrisa, dar neimperative, cu privire la comportamentul monetar al acestora
- scop: determinarea bancilor comerciale de a actiona în directia de politica monetara prescrisa de banca centrala
- efect: edificarea unui comportament de conformare voluntara, a bancilor comerciale si a celorlalte institutii financiare, la politica monetara a bancii centrale
cererea de moneda: L(y) + L(r) = M : oferta de moneda
- curba LM exprima egalitatea dintre cererea de moneda (liquidity) si oferta de moneda (money)
L(y) + L(r) = M
![]()
Figura 27. Curba LM
- deci, se va obtine un venit de echilibru macroeconomic intern (ye) si o rata a dobânzii de echilibru (re)
- ymax > yef : echilibru de subocupare (somaj)
- ymax = yef : echilibru de ocupare deplina
- ymax < yef : echilibru de supraocupare (inflatie)

Figura 28. Regiunile de inflatie si somaj, pe baza analizei IS-LM. Corelatiile dintre economia reala si cea monetara
- keynesismul: recomanda politica fiscala (ca fiind cea mai eficace - cu efectul cel mai mare asupra venitului)
- neoclasicismul: recomanda politica monetara (ca fiind, de asemenea, cea mai eficace)
OBS: se accepta forma în L întors (rasturnat) a curbei LM

Figura 29. Politica fiscala are eficienta maxima (variatia venitului este maxima) pe zona keynesiana a curbei ofertei agregate

Figura 30. Politica monetara are eficienta maxima (variatia venitului este maxima) pe zona neoclasica a curbei ofertei agregate

Figura 31. Expresia grafica simplificata a ajustarii socurilor fiscale si monetare
|