UNIVERSITATEA DE VEST VASILE GOLDIS
BAIA MARE
FACULTATEA DE STIINTE ECONOMICE
MASTERAT LA ADMINISTRAREA AFACERILOR
LUCRARE DE DIZERTATIE
CUPRINS
1.CREDITUL OBLIGATAR
1.1.Generalitati 3
1.2.Etapele emisiunii de obligatiuni 4
1.2.1.Oferta publica de vanzare 5
1.2.2.Plasamentul privat 6
1.3.Imprumutul obligatar privat 7
1.4.Imprumutul obligatar public 7
1.5.Partile care intervin in imprumutul obligatar 8
1.6.Tipologia obligatiunilor 9
1.7.Cotarea si cursul obligatiunilor 14
1.8.Imprumuturi obligatare ordinare 14
1.8.1.Caracteristici financiare ale imprumuturilor obligatare 15
1.8.2.Modificarea caracteristicilor financiare ale obligatiunilor 18
1.9.Randamentul obligatiunilor 19
1.10.Modalitati de rambursare a imprumutului obligatar 19
1.11.Amortizarea imprumuturilro obligatare 20
1.11.1.Amortizarea prin anuitati constante 21
1.11.2.Amortizarea prin serii egale 22
1.11.3.Amortizarea in faza unica 23
1.12.Imprumuturi obligatare convertibile 25
1.13.Finantarea prin obligatiuni sau prin actiuni 26
1.14.Costul imprumutului obligatar 26
1.15.Emisiunea de obligatiuni ale societatilor comerciale din Romania 27
2.STUDIU DE CAZ PRIVIND EMITEREA UNUI CREDITOBLIGATAR
LA S.C. "CONFSTAR" S.A. BAIA MARE
2.1.Prezentarea societatii SC "CONFSTAR" S.A. 29
2.1.1.Domeniul de activitate 29
2.1.2.Capitalul social si structura actionariatului 30
2.1.3.Potentialul uman si material al intreprinderii 31
2.1.4.Strategia concurentiala a societatii 32
2.2.Programul de dezvoltare al SC "CONFSTAR" S.A. pentru anul 2005 32
2.3.Emiterea creditului obligatar 33
2.4.Aprecierea viabilitatii proiectului de investitie 34
2.5.Amortizarea creditului obligatar emis 36
2.5.1.Amortizarea prin serii egale a creditului obligatar emis 37
2.5.2.Amortizarea prin anuitati constante a creditului obligatar emis 38
2.5.3.Amortizarea in faza unica a creditului obligatar emis 39
CONCLUZII
BIBLIOGRAFIE 45
1. CREDITUL OBLIGATAR
1.1. GENERALITĂŢI
Apelul la economiile publice sau împrumutul obligatar este un contract de credit încheiat între o masa de creditori si un singur debitor, o modalitate de procurare de resurse financiare pe termen lung si într-un cuantum ridicat, necesare asigurarii cresterii economice si respectarii unor obligatii de plati asumate.
Creditul obligatar se obtine prin emisiunea de titluri de credit, în principal de obligatiuni.
Obligatiunea este un titlu de credit pe termen lung emis de catre o societate pe actiuni, o institutie guvernamentala sau municipala, a carei rambursare este, în mod obisnuit, garantata prin bunuri patrimoniale sau ipoteci. In timp ce pentru emitent obligatiunile reprezinta datorii care genereaza plati periodice sub forma de dobânzi, pentru subscriitori ele reprezinta drepturi de creanta.
Obligatiunile semnifica un împrumut acordat de o masa de creditori unui anumit debitor. Fiecare creditor primeste un înscris care se numeste certificat de obligatiune sau mai simplu obligatiune, care are înscrisa valoarea nominala, fiecare obligatiune reprezentând o fractiune a datoriei contractate de catre întreprindere. Obligatiunile reprezinta valori mobiliare, emise în diferite sume si pot fi transmise liber de la un detinator la altul, prin negociere pe piata bursiera sau extrabursiera.
Emitenti ai obligatiunilor sunt în principal statul si colectivitatile locale, care recurg la împrumuturi publice pentru finantarea lucrarilor publice, a constructiilor si reconstructiilor edilitare costisitoare sau, pur si simplu, pentru acoperirea deficitelor bugetare. Ratiunea de a apela la aceasta modalitate de finantare este aceea de a repartiza asupra mai multor generatii (beneficiare si ele ale lucrarilor publice) efortul financiar al realizarii acestor obiective sociale.
Întreprinderile cu o buna reputatie financiara sunt admise de autoritatile bursiere ca emitenti de obligatiuni. Alaturi de împrumutul bancar traditional, acestea apeleaza complementar la împrumutul obligatar pentru asi realiza o anumita structura -"tinta" a capitalurilor lor, dar si pentru a disipa împrumutul asupra mai multor împrumutatori mici si a evita riscul ca o banca împrumutatoare sa devina un partener puternic si exigent [11].
Investitorii institutionali (fondurile si societatile de investitii, casele de asigurari, cele de pensii etc.), precum si cei privati (persoane fizice) doresc sa-si plaseze economisirile în cumpararea de obligatiuni ca urmare a sigurantei superioare ce se asociaza acestui tip de plasament financiar. Obligatiunile au garantia (Statului, a organismelor publice si a întreprinderilor de renume) ca vor fi remunerate cu dobânda specificata si ca vor fi rambursate integral.
Împrumutul obligatar se distinge de cel clasic printr-o serie de caracteristici:
emisiunea de obligatiuni reuneste un numar mare de creditori, spre deosebire de împrumutul clasic, la care creditorul este unic (banca, intermediar financiar specializat);
recuperarea investitiei în cazul împrumutului obligatar se poate face înainte de scadenta, la pretul pietei, diferit de pretul platit initial pentru achizitionarea obligatiunilor.
Împrumutul obligatar are mai multe caracteristici care îi definesc continutul si scopul, pentru a putea fi gestionat în conditii cât mai bune.
Astfel, se deosebesc parametri distinctivi si parametri de randament care caracterizeaza un împrumut obligatar.
În prima categorie sunt cuprinse: numele emitentului, suma totala a împrumutului, numarul de titluri, valoarea nominala, data subscrierii.
În cea de-a doua categorie sunt incluse: pretul de emisiune, valoarea de rambursare, rata dobânzii, modul de calcul al remuneratiei, conditii de amortizare sau de rascumparare.
Drepturile ce însotesc obligatiunile sunt urmatoarele:
dreptul la o dobânda (cupon) - dobânda reprezinta un câstig fix, determinat prin ponderarea valorii nominale a obligatiunii cu rata nominala a dobânzii;
dreptul de rambursare a împrumutului - la scadenta, obligatarilor li se restituie suma împrumutata sau înainte de scadenta, o valoare superioara celei nominale (diferenta reprezinta prima de rambursare) prin care se încearca compensarea dobânzilor aferente perioadei ramasa pâna la scadenta;
dreptul de participare la Adunarea Generala a Obligatarilor - care se întruneste doar la cererea a cel putin un sfert din obligatari, posesori de obligatiuni nerambursate.
Spre deosebire de actiuni, obligatiunile îi priveaza pe posesorii acestora de dreptul de a participa la deciziile din cadrul firmei (obligatarii nu au drept de vot). În schimb, obligatarii nu sunt afectati de riscurile firmei: chiar daca firma înregistreaza o situatie financiara nefavorabila, ea este obligata sa achite în continuare dobânzile datorate detinatorilor de obligatiuni.
Tot în avantajul obligatarilor este si procedura de garantare a obligatiunilor cu anumite active. Obligatarii sunt astfel protejati de riscul neplatii (dobânzilor si/sau împrumutului), deoarece se pot baza pe dreptul pe care îl au asupra respectivului activ. Exista însa si obligatiuni negarantate. Emisiunea acestora se bazeaza numai pe încrederea de care se bucura firma emitenta.
Un alt avantaj al obligatiunilor, comparativ cu actiunile, îl reprezinta regimul fiscal mai avantajos: veniturile din dobânda sunt impozitate conform legislatiei române în vigoare cu 1% din suma acestora, fata de veniturile din dividende care se impoziteaza cu 5%, pentru actionari persoane fizice si cu 10% pentru actionari persoane juridice.
1.2. ETAPELE EMISIUNII DE OBLIGAŢIUNI
Pentru prezentarea emisiunii de obligatiuni pe piata de capital din România se poate face, de asemenea, distinctia între piata primara si piata secundara.
Daca piata primara a obligatiunilor emise de societatile comerciale este abia la început, piata secundara a acestor titluri de valoare este practic inexistenta. Cei mai dezavantajati sunt investitorii, care, în aceste conditii, nu au nici garantia recuperarii sumelor investite înainte de scadenta si nici obtinerea unui câstig prin vânzarea pe piata a obligatiunilor la un pret mai mare decât cel de emisiune.
În aceasta situatie, discutia se va concentra în principal pe prezentarea pietei primare a obligatiunilor.
Emisiunea de titluri de valoare (inclusiv obligatiuni) ale societatilor comerciale presupune parcurgerea mai multor etape:
Pregatirea emisiunii:
Societatea emitenta trebuie sa îndeplineasca anumite conditii: trebuie sa aiba cel putin un numar minim de ani de existenta (2-3 ani), sa prezinte ultimele bilanturi contabile aprobate de organele fiscale, sa ofere garantie (direct - patrimoniul sau, indirect - terti, banci etc.).
Decizia de emisiune apartine Adunarii Generale a Actionarilor, având o valabilitate de 5 ani, sau Consiliului de Administratie al societatii.
De obicei, societatea emitenta apeleaza la un intermediar (adesea o banca) care urmareste plasarea (distribuirea) obligatiunilor.
Lansarea titlurilor:
Societatea emitenta are obligatia de a prezenta public o descriere juridica si financiara a societatii, o descriere a titlurilor care urmeaza sa fie emise si ultimul bilant contabil.
Plasarea titlurilor:
Societatea intermediara între emitent si investitori (de obicei, banci) se angajeaza prin contracte ferme sa plaseze titlurile si sa verse emitentului fondurile obtinute.
Modalitatile prin care o societate comerciala sau un organ al administratiei publice plaseaza obligatiunile aferente unui împrumut sunt:
a) oferta publica de vânzare;
b) plasamentul privat.
1.2.1. OFERTA PUBLICĂ DE VÂNZARE
Oferta publica de vânzare reprezinta acea oferta facuta de un emitent sau de un investitor pentru a vinde, cumpara, transforma, schimba sau transfera prin orice alt mod, valori mobiliare ori drepturi aferente acestora.
Se disting mai multe etape:
Pregatirea si planificarea ofertei, care presupune efectuarea de calcule de eficienta, studii pentru stabilirea oportunitatii ofertei, studii pentru stabilirea situatiei financiare a firmei. În aceasta prima faza a ofertei publice de vânzare se stabileste momentul potrivit începerii derularii acesteia, durata ei, membrii echipei care va întocmi prospectul de emisiune.
Întocmirea prospectului de emisiune, care contine informatii referitoare la emitent si la activitatea acestuia( domeniul de activitate al societatii, conducerea, structura actionariatului, situatia financiara a emitentului etc.) si referitoare la oferta publica( tipul titlurilor emise, valoarea nominala, numarul etc.).
Emitentul are posibilitatea de a apela la serviciile unui intermediar (o societate de valori mobiliare). Se disting doua modalitati de intermediere:
negocierea (în cazul emisiunilor de obligatiuni ale societatilor comerciale);
licitatia (în cazul emisiunilor de obligatiuni ale administratiilor publice locale sau centrale).
Negocierea îmbraca mai multe forme: plasament garantat, "cea mai buna executie", "totul sau nimic", "stand by", plasament asigurat.
Dintre acestea, cea mai recomandata forma este cea a plasamentului asigurat, mai ales daca emitentul vrea sa obtina fonduri banesti într-un interval de timp relativ scurt si nu are timp suficient sa aleaga un sindicat de intermediere. În cazul plasamentului asigurat, emitentul accepta oferta unei societati de valori mobiliare de a-i cumpara o parte din emisiunea de obligatiuni la un pret ferm. Atât pretul cât si numarul de obligatiuni sunt stabilite pe baza cererilor prealabile de la investitorii institutionali.
Licitatia apare sub doua forme: licitatie olandeza, respectiv licitatie competitiva.
În cazul obligatiunilor este preferata licitatia competitiva. Societatea de valori mobiliare care va cumpara întreaga emisiune este aleasa prin licitatie. Dintre SVM-urile participante la licitatie, emitentul va alege pe aceea care ofera cea mai mica dobânda (pentru ca aceasta este o cheltuiala pentru emitent).
Înaintarea prospectului de emisiune Comisiei Nationale a Valorilor Mobiliare (CNVM)
CNVM verifica daca informatiile prezentate respecta forma standard prevazuta de regulamente si daca sunt în concordanta cu actele constitutive ale societatii comerciale.
Autorizatia CNVM confirma doar faptul ca oferta respecta cerintele legii, dar nu certifica corectitudinea informatiilor prezentate.
Publicitatea
Publicul este informat prin mass-media de oferta: societatea emitenta publica prospectul de emisiune etc.
Subscrierea
Se stabilesc toti investitorii care subscriu la emisiunea în curs.
Alocarea de titluri subscriitorilor
Raportarea la CNVM a rezultatelor ofertei, în termen de 7 zile lucratoare de la încheierea ofertei
Oferta publica de vânzare îmbraca trei forme:
initiala, corespunzatoare primelor valori mobiliare emise de o societate închisa, care devine astfel deschisa;
primara, care se practica pe piata primara si consta în emiterea de noi titluri de valoare (obligatiuni) de catre o societate;
secundara, care este practicata pe piata secundara si se refera la plasarea de titluri de valoare (obligatiuni) emise anterior.
1.2.2. PLASAMENTUL PRIVAT
Plasamentul privat este a doua modalitate de emisiune de obligatiuni si consta în vânzarea întregii emisiuni unui numar maxim de 35 investitori (rezidenti sau nerezidenti în România).
Nu este necesara întocmirea unui prospect ca în cazul ofertei publice, deoarece investitorii au acces la toate informatiile de care au nevoie de la emitent. Pot fi investitori banci comerciale, societati si fonduri de investitii, societati de asigurari, fonduri de pensii, societati financiare, alte societati pe care CNVM le aproba.
Plasamentul privat presupune îndeplinirea unor conditii specifice.
Titlurile de valoare emise sunt doar în forma dematerializata si evidentiate prin înscrieri în cont.
Societatea emitenta trebuie sa aiba avizul CNVM daca este o societate deschisa; în cazul societatilor închise un astfel de aviz nu este necesar.
Avizul CNVM nu certifica corectitudinea datelor din documentul de oferta, ci doar faptul ca plasamentul respecta prevederile Regulamentului privind plasamentul privat de valori mobiliare. Documentele de oferta atesta obligatia emitentului de a permite investitorilor accesul la toate informatiile de care au nevoie despre societatea emitenta si despre titlurile emise prin plasamentul în curs.
Subscriitorii au obligatia de a nu revinde titlurile cumparate în termen de cel putin 12 luni din momentul achizitiei.
Rezultatele plasamentului privat trebuie aduse la cunostinta CNVM în termen de 3 zile lucratoare din momentul încheierii plasamentului.
1.3. ÎMPRUMUTUL OBLIGATAR PRIVAT
Pentru a emite un împrumut obligatar, societatile pe actiuni trebuie sa aiba cel putin doi ani de existenta si doua bilanturi legal aprobate de organele fiscale, sa ofere garantii obligatarilor, fie direct, prin patrimoniul propriu, fie indirect, prin mijlocirea unor terti precum banci, consortii bancare etc. Decizia de emisiune de obligatiuni revine consiliului de administratie al societatii pe actiuni sau adunarii generale a actionarilor cu o majoritate de cel putin doua treimi.
Este cunoscut faptul ca pentru întreprinderi, de multe ori, capitalul propriu este nesatisfacator, iar cresterea acestuia prezinta greutati, atât sub aspectul conditiilor juridice, cât mai ales ca urmare a reticentei subscriitorilor determinata de existenta riscului de pierdere si chiar a riscului de pierdere a controlului pentru conducatorii întreprinderii sau pentru actionarii majoritari.
Pe de alta parte, finantarea întreprinderilor prin apelul la credite bancare se dovedeste adesea dificil de realizat ca urmare a costului ridicat si a conditiilor restrictive ale contractului de credit, cerute de banci.
Acesti factori fac ca întreprinderile sa recurga la împrumuturi obligatare care prezinta avantajul esential ca remuneratia (cupoanele) se deduce din profitul impozabil, facându-l mai accesibil.
Exista cauze multiple care influenteaza pozitiv dezvoltarea împrumuturilor obligatare în tarile cu economie de piata. Concurenta dintre emitentii de obligatiuni conduce la conditii de emisiune atragatoare pentru subscriitori. Aparitia unor organisme de plasament colectiv a valorilor mobiliare (obligatiuni), institutii mari, importante dar care reprezinta si opereaza în contul unei multitudini de mici subscriitori, face posibila apelarea la împrumuturi obligatare si a întreprinderilor mai mici. Reducerea, în anumite perioade, a dobânzii la plasamentele pe termen scurt favorizeaza, de asemenea, orientarea subscriitorilor catre plasamente pe termen lung.
Împrumuturile obligatare se pot emite fie individual, de catre societati comerciale puternice, fie grupat. Aceasta a doua varianta poate avea loc prin asocierea mai multor agenti economici care sa garanteze solidar împrumutul sau prin intermediul unor institutii sau organisme de plasament colectiv, constituite ca societati anonime, care repartizeaza fondurile receptionate sub forma de credite întreprinderilor aderente cu nevoi de finantare .
Împrumutul obligatar grupat prezinta avantajul pentru emitent ca suporta costuri administrative mai reduse, întrucât o parte a cheltuielilor este repartizata întreprinderilor împrumutate. Chiar si întreprinderile mari pot folosi împrumuturi obligatare grupate când au nevoi relativ reduse de finantare si nu doresc sa-si consume capitalul de încredere fata de public prin împrumuturi obligatare individuale frecvente, pastrându-si aceasta alternativa doar pentru împrumuturi mai consistente.
1.4. ÎMPRUMUTUL OBLIGATAR PUBLIC
Alaturi de îndatorare pe termen scurt prin bonuri de tezaur, statul recurge la piata financiara si în scopul împrumuturilor pe termen lung. În ultima instanta, în tarile cu economie de piata statul, sau diverse institutii ale sale, este principalul emitent de obligatiuni, urmarind obtinerea de resurse necesare finantarii unor lucrari publice, pentru acoperirea deficitului bugetar, dar si pentru restrângerea cantitatii de numerar existente în circulatie prin colectarea lichiditatilor existente pe piata.
Apelul la economiile publice poate fi lansat pe piata interna sau pe pietele financiare externe. Durata de viata a unui împrumut obligatar a capatat, în ultimul timp, tendinta de reducere, determinata de marea fluctuatie a ratei dobânzii, dar si de aversiunea subscriitorilor fata de lichiditate.
1.5. PĂRŢILE CARE INTERVIN ÎN ÎMPRUMUTUL OBLIGATAR
În efectuarea unei emisiuni de obligatiuni pot interveni urmatoarele parti: fiduciarul, curtierul, banca si comisia valorilor mobiliare.
Fiduciarul. Când o societate comerciala intentioneaza sa procedeze la emisiunea unui împrumut obligatar, mai întâi ea semneaza în favoarea unui fiduciar un act prin care-l autorizeaza sa actioneze în numele viitorilor subscriitori de obligatiuni (creditori) în vederea apararii si respectarii drepturilor lor. Fiduciarul înlocuieste, deci, masa creditorilor în relatiile cu societatea emitenta, verifica îndeplinirea obligatiilor societatii de a pastra corespunzator bunurile în ipoteca, drept garantie a împrumutului, plata cu regularitate a cupoanelor, precum si amortizarea la timp a obligatiunilor.
Prezenta fiduciarului asigura supravegherea societatii comerciale emitente, în numele creditorilor care, dispersati fiind în teritoriu, n-ar putea-o face ei însisi. Pe de alta parte însa, prezenta fiduciarului usureaza foarte mult sarcinile societatii emitente a obligatiunilor, scutind-o sa trateze cu fiecare creditor în parte, ceea ce ar fi prea costisitor.
Curtierul. Vânzarea obligatiunilor emise se realizeaza prin intermediul unui curtier sau al mai multor curtieri în valori mobiliare, care cunosc bine piata financiara, fiind cei mai pregatiti pentru a gasi fonduri de împrumut, respectiv sa plaseze obligatiunile.
În mod obisnuit curtierii subscriu prin forfait întregul împrumut, adica achizitioneaza pe contul lor, înca de la început, toate obligatiunile emise pe care, ulterior, le vând diversilor cumparatori, în felul acesta ei permit societatii emitente sa dobândeasca repede si dintr-o data întreaga suma a împrumutului.
Rolul curtierului se face simtit si pe parcursul duratei împrumutului obligatar. El este acela care poate cumpara obligatiunile oferite spre vânzare de diversi detinatori, urmând sa le revânda altor cumparatori, actionând astfel spre mentinerea stabilitatii cursului lor. Circulatia obligatiunilor (vânzarea-cumpararea), dupa emisiune, nu modifica angajamentele societatii comerciale luate cu prilejul emiterii, referitor la plata cupoanelor si rambursarea datoriei.
Banca. Toate operatiunile de trezorerie aferente împrumutului obligatar se efectueaza prin intermediul ghiseelor bancare: varsarea sumelor de cumparatorii obligatiunilor, plata periodica a cupoanelor, amortizarea la scadenta a obligatiunilor.
Pe lânga operatiunile de trezorerie, proprii oricarui împrumut obligatar banca mai poate juca un rol important si pe linia operatiilor de consulting si de garantare a împrumutului.
Prin intermediul personalului de specialitate de care dispune, banca ofera, la cerere, consultatii calificate privitor la suma totala a împrumutului (în functie de posibilitatile de absorbtie ale pietei), pretul de emisiune al obligatiunilor, astfel încât sa se poata vinde într-un termen rezonabil, durata totala a împrumutului nivelul dobânzii împrumutului etc.
Dar si mai importante se pot dovedi serviciile bancare de garantare a succesului operatiunii de plasare pe piata a obligatiunilor, într-un termen conform prospectului de emisiune, în acest sens. La cererea întreprinderii, banca se poate angaja ca în cazul neplasarii integrale, în termenul legal, a obligatiunilor, sa cumpere ea cantitatea ramasa nevânduta, pentru ca împrumutul sa devina valabil din punct de vedere juridic. Evident ca banca nu-si propune sa pastreze obligatiunile, întrucât în acest mod va deveni ea însasi creditoare, ci va pune în vânzare în continuare obligatiunile, în afara termenului legal de plasare a împrumutului. Banca îsi asuma, desigur, niste riscuri acceptând sa garanteze împrumutul obligatar, pentru care în mod îndreptatit pretinde un comision de garantare din partea emitentului împrumutului.
Comisia valorilor mobiliare. Toti creditorii potentiali trebuie sa dispuna de informatii suficiente cu privire la situatia economico-financiara a emitentului pentru a se decide sa-si plaseze disponibilitatile în obligatiuni. Comisia valorilor imobiliare este un organism jurisdictional care supravegheaza operatiunile cu valori mobiliare. Toate emisiunile de obligatiuni trebuie înregistrate la aceasta comisie; prin intermediul ei emitentul difuzeaza un prospect catre toti cei interesati sa achizitioneze obligatiuni, în care se detaliaza scopurile împrumutului, suma totala a acestuia, numarul si valoarea nominala a obligatiunilor, caracteristicile împrumutului, precum si situatia financiara a emitentului în momentul care precede împrumutul.
1.6. TIPOLOGIA OBLIGAŢIUNILOR
Ca urmare a variatiei cursului obligatiunilor la bursa si a ratei dobânzii pe piata financiara, rentabilitatea pentru investitori, respectiv costul pentru societatile emitente sunt aleatorii. Incertitudinea si riscurile pentru veniturile viitoare au determinat aparitia unei mari varietati a obligatiunilor, cu caracteristici diferite, tinzând spre reducerea, cât mai mult posibil, a riscurilor.
Pentru început putem împarti obligatiunile în doua grupe mari: obligatiuni ordinare, cu dobânda constanta sau cu dobânda variabila, si obligatiuni convertibile. Obligatiunile ordinare clasice, garantate cu ipoteci sau alte valori patrimoniale, rambursabile la scadente prestabilite, purtatoare de dobânzi platibile de 2 ori pe an, s-au dovedit nesatisfacatoare pentru varietatea optiunilor investitorilor.
Au fost create obligatiuni care poseda si alte caracteristici în stare a le face sa patrunda în cele mai diverse segmente ale pietei capitalurilor: obligatiuni negarantate, obligatiuni înmatriculate, obligatiuni înseriate, obligatiuni cu fond de amortizare, obligatiuni cu venit variabil, obligatiuni participative, obligatiuni asimilabile, obligatiuni cu cupon zero, obligatiuni perpetue, obligatiuni speciale cu cupon de reinvestire.
În ultima instanta, diversitatea tipurilor de obligatiuni a fost generata de necesitatea acoperirii celor 2 riscuri pe care le încorporeaza: riscul pretului de piata (curs bursier) si riscul ratei dobânzii. Concurenta obliga întreprinderile emitente sa propuna formule cât mai atractive, care sa asigure plasarea acestora
Obligatiunile pot fi grupate dupa mai multe criterii:
dupa modul de identificare a detinatorului obligatiunii;
dupa natura veniturilor pe care le genereaza;
dupa forma sub care sunt emise;
dupa natura dreptului pe care îl confera;
dupa gradul de garantare;
dupa natura emitentului;
dupa drepturile ce le sunt atasate.
Dupa modul de identificare a detinatorului, se disting trei tipuri de obligatiuni: la purtator, nominative si înmatriculate.
a) Obligatiunile la purtator sunt titluri materializate, confectionate dupa norme stricte, având cupoane detasabile. Drepturile conferite de acestea revin posesorului lor.
b) Obligatiunile nominative au înscrise numele posesorului lor în cazul în care sunt emise în forma materializata; în caz contrar, numele posesorului este înscris în cont.
c) Obligatiunile înmatriculate spre deosebire de cele la purtator, sunt înregistrate în evidenta fiduciarului pe numele detinatorului. Circulatia acestor titluri presupune reînregistrarea lor pe numele noului detinator.
Dupa natura veniturilor care le genereaza, distingem: obligatiuni cu dobânda si obligatiuni cu cupon zero si cu cupon unic.
a) Obligatiuni cu dobânda, care sunt emise la valoarea nominala. Aceasta valoare se ramburseaza, de regula, la scadenta. Acest tip de obligatiuni asigura posesorului lor venituri sub forma de dobânda.
b) Obligatiuni cu cupon zero (cu discount) si cu cupon unic. Obligatiunile cu cupon zero prezinta particularitatea de a nu oferi nici un fel de remuneratie periodica (cupon). Venitul unor asemenea obligatiuni se acorda o singura data, la scadenta, ca diferenta între pretul de rambursare si pretul de emisiune, ceea ce corespunde capitalizarii dobânzii pe întreaga perioada de viata a împrumutului obligatar. Principiul este asemanator si pentru obligatiunile cu cupon unic: dobânzile sunt varsate de emitent numai la scadenta finala a împrumutului.
Ambele tipuri de obligatiuni sunt avantajoase pentru emitent întrucât îi usureaza sarcinile de trezorerie pe parcursul împrumutului. Pentru subscriitori avantajele sunt în primul rând de ordin fiscal, pentru ca ramâne impozabila numai plus-valoarea în capital realizata, impozitarea veniturilor din dobânzi nemaiavând loc; în al doilea rând, subscriitorii beneficiaza în cazul scaderii ratei dobânzii pe piata financiara pentru ca valoarea de rambursare este calculata in momentul emisiunii, în plus, subscriitorii nu mai trebuie sa se preocupe anual de reinvestirea cupoanelor.
Din punctul de vedere al formei sub care sunt emise, exista obligatiuni materializate si nematerializate.
a) Obligatiunile materializate sunt emise pe suport hârtie.
b) Obligatiunile nematerializate sunt emise pe suport magnetic, prin înscriere în cont. Nu au suport fizic; ele exista doar în documentele contabile ale emitentului, posesorul primind doar confirmarea scrisa ce atesta posesia documentului, respectiv a contractului de împrumut.
Dupa natura dreptului pe care îl confera, obligatiunile pot fi grupate în trei categorii: obligatiuni ordinare, obligatiuni de rambursare si obligatiuni cu loturi.
a) Obligatiuni ordinare dau dreptul la restituirea împrumutului si a dobânzii.
b) Obligatiuni de rambursare (cu prima de emisiune), care atesta dreptul detinatorului lor de a încasa la scadenta o suma egala cu valoarea nominala (care este mai mare decât pretul de cumparare); diferenta reprezinta prima.
c) Obligatiuni cu loturi, a caror rambursare se face la o valoare mai mare decât cea nominala, la scadenta sau înainte de aceasta.
Dupa gradul de protectie a investitorilor contra riscului neplatii, obligatiunile pot fi garantate sau negarantate.
a) Obligatiunile negarantate se caracterizeaza prin faptul ca societatea comerciala emitenta nu le garanteaza cu nici un fel de bun sau ipoteca, investitorii se bazeaza pe solvabilitatea generala si bonitatea societatii si nicidecum pe posibilitatea recuperarii capitalului pe seama lichidarii bunurilor gajate de catre emitent. Astfel de obligatiuni pot emite numai marile societati pe actiuni si organismele administratiei publice, care nu ridica nici o problema cu privire la solvabilitate. Rata dobânzii este însa mai mare la astfel de obligatiuni, decât la cele garantate.
b) Obligatiunile garantate cu anumite active se caracterizeaza prin faptul ca investitorii se pot baza pe dreptul asupra acestor bunuri în cazul neplatii dobânzii si/sau împrumutului.
Acestea, la rândul lor, pot fi grupate, functie de activul folosit drept garantie, în:
obligatiuni imobiliare, garantate cu un imobil aflat în posesia emitentului. Diferenta dintre obligatiunile mobiliare închise si cele deschise consta în faptul ca acestea din urma permit emitentului sa garanteze mai multe obligatiuni cu acelasi activ;
obligatiuni garantate cu capital fix, utilizate mai ales în situatia modernizarii. 85-90 % din suma necesara modernizarii cu material rulant este asigurata prin emiterea acestui tip de obligatiuni, garantia fiind reprezentata tocmai de mijloacele achizitionate.
Din punctul de vedere al naturii emitentului, exista obligatiuni emise de catre agentii economici si obligatiuni emise de catre stat si unitatile administrativ-teritoriale.
a) Obligatiuni emise de catre agenti economici. Obligatiunile sunt emise fie individual, de catre societati comerciale puternice, fie grupat, de catre asociatii de mai multi agenti economici care garanteaza solidar împrumutul sau prin intermediul unor institutii de plasament colectiv care repartizeaza fondurile sub forma de credite întreprinderilor care au apelat la emisiunea de obligatiuni.
b) Obligatiuni emise de catre stat si unitati administrative ale statului. Obligatiunile de stat sunt emise de Trezorerie, au o scadenta între 10 si 30 de ani si sunt purtatoare de dobânda. Aceste obligatiuni sunt emise cu scopul obtinerii de finantare pentru obiective majore de interes public.
Obligatiunile municipale (denumite în acest fel indiferent de nivelul organizarii administrativ - teritoriale la care se apeleaza la acest instrument) nu au garantia expresa a statului, ci se bazeaza pe prestigiul acestuia.
Din punctul de vedere al drepturilor atasate, se disting mai multe tipuri de obligatiuni.
a) Obligatiuni simple sau clasice, se caracterizeaza prin numar, durata, rata dobânzii, valoare nominala, pretul de emisiune si conditiile de amortizare. Dobânda se plateste anual pe baza unui cupon care se detaseaza de la obligatiune. Pretul de emisiune fiind inferior valorii nominale, diferenta sporeste dobânda reala deoarece aceasta se calculeaza asupra valorii nominale si nu asupra pretului de emisiune. Rambursarea obligatiunilor are loc la termene stabilite în momentul lansarii împrumutului potrivit unui tabel de amortizare.
b) Obligatiuni rascumparabile. Emisiunile de obligatiuni ale societatilor comerciale pot avea si o clauza de rascumparare la care societatea emitenta poate recurge oricând. Pretul de rascumparare este fixat deasupra valorii nominale a obligatiunii, diferenta constituindu-se într-o prima acordata detinatorilor de obligatiuni. Cu cât este mai aproape termenul de scadenta, cu atât mai mica este prima.
c) Obligatiuni cu fond de amortizare. În vederea suportarii efortului financiar ocazionat de scadentele împrumutului, societatea emitenta de obligatiuni creeaza treptat un fond de amortizare, varsând periodic fiduciarului sume ce vor fi înscrise pe numele societatii. Creând acest fond de amortizare obligatarii capata certitudinea ca la scadenta obligatiunile lor vor fi rambursate. Sumele varsate în acest fond nu mai pot fi utilizate sau retrase de societate. Fiduciarul gestioneaza fondul creat, plasându-l pe termen scurt sau alte termene în vederea valorificarii lichiditatilor. Totalul sumelor obtinute din varsamintele societatii si din remuneratiile obtinute din plasamente servesc pentru rambursarea împrumutului obligatar la scadenta. Daca sumele acumulate nu acopera rambursarea obligatiunilor scadente, societatea trebuie sa completeze diferenta.
d) Obligatiuni cu fond de rascumparare. Acest tip de obligatiuni este asemanator obligatiunilor cu fond de amortizare; diferenta consta în faptul ca prin fondul de rascumparare se amortizeaza o parte mai mica din volumul emisiunii decât prin fondul de amortizare, deoarece clauza de fond de rascumparare are mai putine dispozitii obligatorii.
e) Obligatiuni convertibile în actiuni. Dreptul special conferit detinatorilor consta în posibilitatea de a le putea schimba contra actiunilor societatilor emitente. Sunt obligatiuni clasice, care comporta doua tipuri de rate ale dobânzii:
rata variabila, pe perioada de timp începuta din momentul emiterii obligatiunilor si pâna la data când posesorul îsi poate manifesta dreptul la convertire (rata este mai mica decât rata pietei);
rata egala cu dobânda pietei, pentru obligatiunile care nu sunt convertite în perioada de optiune.
Obligatiunile convertibile au o serie de avantaje:
o din punctul de vedere al emitentului: aceste obligatiuni impun o cheltuiala de emisiune mai mica (pretul este inferior celui de pe piata);
o din punctul de vedere al actionarilor: aceste obligatiuni constituie o sursa de finantare. Daca titlurile sunt convertite, dilutia capitalului este progresiva si de mai mica amploare decât în cazul maririi de capital;
o din punctul de vedere al investitorilor: obligatiunile asigura calitatea de actionari potentiali.
f) Obligatiuni rambursabile în actiuni ( ORA). Asa dupa cum ne indica numele lor, aceste titluri sunt, în mod obligatoriu, rambursate în actiuni. Din acest moment, ele reprezinta pentru obligatori un risc mai ridicat decât obligatiunile convertibile. De aceea rata lor de dobânda este mai avantajoasa. ORA sunt considerate ca fiind cvasi-fonduri proprii.
g) Obligatiuni cu venit variabil se mai numesc si obligatiuni indexate. Aceste obligatiuni permit subscriitorilor de a se apara contra efectelor cresterii preturilor prin mentinerea puterii de cumparare a obligatiunilor, întrucât se prevede ca valoarea lor si uneori dobânda si prima de rambursare vor varia în functie de un indice monetar sau nemonetar si în limitele unui plafon. Emitentul îsi asuma obligatia de a actualiza valoarea obligatiunilor si uneori dobânzile acestora, utilizând un indice stabilit de comun acord cu investitorul. Corespunzator, emitentul îsi asuma riscul unei cresteri de preturi, compensatia fiind suportata de catre întreprindere, adica de actionari.
h) Obligatiunile participative reprezinta o varianta a obligatiunilor indexate, o îmbinare între actiuni si obligatiuni clasice. Astfel de titluri comporta o dobânda fixa, care se majoreaza cu o dobânda suplimentara în functie de rezultatele financiare ale întreprinderii si o prima de rambursare minima. Pentru emitent avantajul acestui tip de obligatiuni consta în faptul ca remuneratia acordata nu creste decât în masura în care rezultatele financiare îi permit.
i) Obligatiuni cu rata variabila a dobânzii. Acest tip de obligatiune reduce riscul de rata pentru detinatorii si pentru emitentii de titluri de împrumut pe termen lung deoarece dobânda la acest tip de obligatiuni se modifica concomitent cu fluctuatia ratei generale a dobânzii. Astfel, marimea cuponului se ajusteaza odata cu modificarile de pe piata monetara. Când rata dobânzii creste, dobânda (cuponul) platita se modifica (creste) corespunzator; când scade rata dobânzii, scade si dobânda.
j) Obligatiuni cu bon de subscriere. Acestea sunt obligatiuni cu dobânda fixa (obligatiuni clasice), însotite de un bon de subscriere. Bonul de subscriere este un instrument financiar ce da dreptul detinatorului sau sa cumpere actiuni la un pret si un moment predeterminate si într-o anumita proportie. Dobânda acestor obligatiuni este inferioara celei de pe piata financiara, tocmai pentru ca asigura si dreptul suplimentar de subscriere.
Bonurile de subscriere pot avea o circulatie libera, separata de obligatiunea împreuna cu care au fost emise, ele fiind cotate separat la bursa. Durata de viata a unui bon este, în general, de 3-4 ani.
Avantajul oferit de acest tip de obligatiune poate fi privit din doua puncte de vedere:
o din punctul de vedere al detinatorului, avantajul consta în posibilitatea de a subscrie în viitor la emisiunile de actiuni în conditii mai bune (în cazul reducerii ratei dobânzii pe piata financiara);
o din punctul de vedere al emitentului, avantajul reprezinta posibilitatea de a beneficia de un împrumut cu dobânda mai mica, în viitor.
k) Obligatiuni speciale cu cupon ce poate fi reinvestit - OSCAR. Aceste obligatiuni asigura posesorului lor posibilitatea de a opta pentru a primi fie un cupon în numerar, fie obligatiuni identice cu cele initiale. Posibilitatea reinvestirii este privita ca o favoare sau o rasplata pentru vechii obligatari, care vad în societatea respectiva un foarte bun plasament.
l) Obligatiunile asimilabile sunt emise de stat sau organisme guvernamentale si se caracterizeaza prin faptul ca în termenul legal al împrumutului se pot emite alte obligatiuni, cu aceleasi caracteristici ca si cele precedente. Noile obligatiuni sunt asimilate cu primele, numai ca termenul de scadenta este prelungit.
m) Obligatiuni cu scadenta prorogabila/încasabile anticipat
Obligatiunile cu scadenta prorogabila sunt titluri emise pe termen scurt (5 ani, de regula) care pot fi schimbate cu un volum echivalent de titluri pe termen lung (10 ani) la acelasi nivel al dobânzii sau usor mai mare.
Obligatiunile încasabile anticipat sunt opusul primelor si constau în schimbarea scadentei titlurilor din "pe termen lung" în "pe termen scurt".
Ambele tipuri de obligatiuni confera emitentului posibilitatea de a vinde astfel de titluri cu o dobânda mai mica decât la emisiunile clasice.
În cazul emisiunilor de obligatiuni cu scadenta prorogabila sau încasabile anticipat, detinatorul lor trebuie sa-si manifeste intentia de a folosi privilegiile acordate într-o anumita perioada de timp, numita perioada de optiune. Aceasta este, de obicei, de sase luni pâna la un an înainte de scadenta cea mai apropiata. Daca detinatorul nu-si exercita privilegiul, obligatiunile ajung automat la scadenta fie la data cea mai apropiata (în cazul obligatiunilor cu scadenta prorogabila), fie la termenul cel mai îndepartat (în cazul obligatiunilor încasabile anticipat).
Gruparea tuturor acestor obligatiuni dupa diferite criterii este necesara si importanta, deoarece stabilirea valorii unor astfel de titluri se face diferit fata de obligatiunile clasice.
Astfel, valoarea obligatiunilor indexate depinde de valoarea indicelui luat în considerare si de previziunile investitorului cu privire la evolutia acestuia.
În cazul obligatiunilor cu rata variabila a dobânzii, valoarea se stabileste pe baza urmatoarelor etape:
se anticipeaza valoarea cupoanelor viitoare pe baza valorii ultimului cupon;
se actualizeaza fluxurile viitoare pe baza unei rate pe termen lung egala cu rata dobânzii fara risc si o rata de risc generata de incertitudinea fluxurilor viitoare.
Aceasta rata de actualizare poate fi analizata din mai multe puncte de vedere:
poate fi o rata a dobânzii pe termen scurt (pe piata monetara) sau pe termen lung;
poate fi predeterminata (fixata la începutul perioadei cuponului) sau postdeterminata (fixata în momentul platii cuponului, cu referinta la o valoare determinata la sfârsitul perioadei cuponului);
poate fi instantanee sau o medie a unei perioade de referinta.
În situatia unor împrumuturi internationale se emit asa numitele euro-obligatiuni. La asemenea titluri apeleaza societatile comerciale multinationale, Euro-obligatiunile nu sunt legate de o anumita piata, particularitate ce le confera un circuit international.
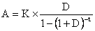
1.7. COTAREA sI CURSUL OBLIGAŢIUNILOR
Obligatiunile sunt negociabile la bursa dar numai daca societatea comerciala emitenta solicita sa fie cotate. Cererea de cotatie apartine întreprinderii, iar cotatia consta într-o analiza a situatiei generale a întreprinderii, pe baza datelor financiare, organizatorice, a climatului social din întreprindere, perspectivelor de crestere economica, precum si a calitatii gestionarii.
Exista agentii independente, specializate în astfel de operatiuni, care, pe baza datelor furnizate de întreprindere, evalueaza gradul de lichiditate al emitentului de obligatiuni, în principal capacitatea de rambursare. Rezultatul se transmite întreprinderii printr-o scrisoare.
Cotatia aduce un plus de securitate plasamentelor în obligatiuni, putându-se obtine conditii mai bune de dobânda pentru emitent.
Cotarea
obligatiunilor se face procentual, indiferent de valoarea nominala a
acestora. Daca, spre exemplu, o obligatiune are valoarea
nominala de 7000, poate fi cotata cu 106%, ceea ce înseamna
ca valoreaza
. Cotarea se efectueaza si asupra cuponului
cuvenit, exprimându-se tot procentual si se adauga la cursul
obligatiunii.
1.8. ÎMPRUMUTURI OBLIGATARE ORDINARE
Împrumutul obligatar cu emisiune de obligatiuni ordinare se poate realiza numai de societati comerciale cotate la bursa, cu conditia sa aiba cel putin 2 ani vechime si 2 bilanturi legal aprobate. Capitalul societatii trebuie sa fie în întregime liber, adica sa nu fie grevat de alte împrumuturi. Adunarea generala a actionarilor este cea care decide asupra efectuarii împrumutului, iar realizarea practica revine consiliului de administratie, care trebuie sa-l finalizeze în decursul unei perioade determinate anticipat.
Plasarea titlurilor este încredintata unui sindicat bancar care, de regula, garanteaza asupra reusitei plasamentelor, contra unui comision consistent, eventual obligându-se sa cumpere titlurile ramase nevândute. Obligatarii sunt organizati într-o colectivitate cu personalitate civila, fiind reprezentati în interesele lor fata de societatea comerciala de catre un mandatar (fiduciarul) remunerat de emitentul obligatiunilor.
1.8.1. CARACTERISTICI FINANCIARE ALE ÎMPRUMUTURILOR OBLIGATARE
Un împrumut obligatar prezinta multiple caracteristici pentru a-i defini complet continutul si scopul, pentru a putea fi gestionat în conditii cât mai bune, precum si pentru a putea fi cunoscut apreciat si acceptat de aducatorii de capital. În afara unor parametri distinctivi, ca numele emitentului, suma totala a împrumutului, numarul de titluri, valoarea nominala si data subscrierii, exista si parametri de randament precum pretul de emisiune, valoarea de rambursare, rata dobânzii, modul de calcul al remuneratiei, conditii de amortizare sau de rascumparare.
Suma împrumutului nu este limitata juridic, societatea comerciala stabilind-o în functie de nevoile de fonduri si de capacitatea de rambursare. În practica, suma împrumutului obligatar este conditionata însa de situatia pe piata financiara, adica de posibilitatile de absorbtie ale acesteia.
Durata împrumutului (durata de viata a obligatiunii) reprezinta intervalul de timp dintre momentul subscrierii si cel al rascumpararii.
Pe parcursul duratei de viata a unei obligatiuni se disting trei momente importante:
data de emisiune: data vânzarii obligatiunii;
data platii: momentul la care emitentul plateste dobânda;
data maturitatii (scadenta): odata cu restituirea împrumutului se stinge si obligatia debitorilor fata de creditori.
Durata împrumutului se stabileste functie de nevoile de acoperit si de conditiile pietei. Astfel, se prefera împrumuturi pe termen lung atunci când rata dobânzii de pe piata este scazuta, respectiv împrumuturi pe termene mai reduse, atunci când rata dobânzii are valori ridicate.
Rata dobânzii se stabileste de catre societatea comerciala împreuna cu fiduciarul, în functie de randamentul cerut de investitori, de rata dobânzii pe piata financiara, de riscul estimat în activitatea societatii comerciale si dupa durata împrumutului. Dupa estimare, rata dobânzii se înscrie pe fata obligatiunii, servind drept baza de calcul pentru remuneratie. Nivelul dobânzii trebuie bine fundamentat pentru ca obligatiunile sa se vânda într-un termen rezonabil.
Cuponul (dobânda) reprezinta suma varsata de emitent în favoarea detinatorului obligatiunii. Cuponul se plateste la date fixe, anual sau la perioade de timp mai mici de un an.
Valoarea nominala (VN) (faciala) a obligatiunilor este cea înscrisa pe titlu si la care se calculeaza dobânda, anual sau semestrial, sub forma de cupoane.
Pretul de emisiune (PE) (valoarea de subscriere) reprezinta suma platita efectiv de cel ce cumpara o obligatiune. Pentru societatea comerciala suma împrumutului obligatar este egala cu pretul de emisiune înmultit cu numarul obligatiunilor puse în vânzare.
Pretul de emisiune include costul operatiunilor de emitere a titlurilor si de plasare a lor.
Pretul de emisiune poate fi mai mare, egal sau mai mic decât valoarea nominala a obligatiunilor. Altfel spus, emisiunea de obligatiuni se poate face la valoarea nominala sau la alta valoare.
De regula, valoarea de subscriere este mai mica decât valoarea nominala, asigurându-se astfel atractivitatea investitiei (avantajul cumparatorului este dat de faptul ca drepturile care îi revin se determina în raport cu valoarea nominala mai mare). Diferenta reprezinta prima de emisiune.
Daca pretul de emisiune este egal cu valoarea nominala, este vorba despre o "emisiune la paritate".
Daca emisiunea se realizeaza la un pret de emisiune inferior valorii nominale, este vorba de o emisiune cu discount (emisiune la scont).
Daca emisiunea se realizeaza la un pret de emisiune superior valorii nominale, este vorba despre o emisiune cu prima (emisiune la prima).
Emisiunea unei transe de obligatiuni cu VN=100.000 lei se poale face pentru suma de 98.000 lei sau pentru 102.000 lei, adica la scont sau la prima. În primul caz folosind procentajele, se spune ca împrumutul s-a emis la 98, iar în celalalt la 102. Prin urmare, la emisiune se folosesc diverse cote, peste valoarea împrumutului sau sub aceasta.
Daca între momentul stabilirii ratei dobânzii împrumutului si înscrierea ei pe certificatele de obligatiuni si momentul vânzarii efective a obligatiunilor se produce o crestere a ratei dobânzii pe piata financiara, cumparatorii potentiali nu se vor grabi sa achizitioneze astfel de obligatiuni, în aceste împrejurari societatea emitenta va scadea pretul obligatiunilor la 98, adica va vinde la scont, pentru a compensa remuneratia pietei, evitând astfel reimprimarea certificatelor de obligatiuni cu noua rata a dobânzii, ceea ce ar provoca cheltuieli suplimentare de emisiune si prelungirea termenului de intrare în posesie a sumei împrumutului.
Daca între momentul deciziei asupra ratei dobânzii si a imprimarii ei pe certificatele de obligatiuni si vânzarea efectiva a acestora se produce o scadere a ratei dobânzii pe piata financiara, toti posibilii cumparatori se vor grabi sa achizitioneze asemenea obligatiuni; pentru a compensa însa diferenta de dobânda, societatea comerciala emitenta va vinde obligatiunile Ia prima, adica la 102.
Pretul de rambursare (PR) sau valoarea de rambursare este suma pe care o plateste emitentul detinatorului de obligatiuni la scadenta împrumutului. Pretul de rambursare poate fi egal sau mai mare decât valoarea nominala a obligatiunilor:
PR
VN
Rambursarea obligatiunilor la un pret mai mare decât valoarea lor nominala aduce un beneficiu detinatorului, care se numeste prima de rambursare.
Este posibil ca societatea emitenta de obligatiuni sa acorde o dubla prima, de emisiune si de rambursare, desi aceasta situatie se întâlneste mai rar. În ultimul timp emitentii de obligatiuni tind catre dubla egalitate PE = VN = PR.
Pretul de piata poate fi determinat în doua modalitati: procentual si în marime absoluta.
Cursul reprezinta raportul procentual între pretul de piata si valoarea nominala a acesteia.
Valoarea reala este influentata de modul de rambursare a împrumutului, deoarece fluxurile determinate de rambursare stau la baza determinarii valorii reale.
Dobânda reala reprezinta raportul procentual dintre masa dobânzii sau venitul real încasat si pretul platit pentru cumpararea obligatiunilor. Aceasta dobânda exprima rentabilitatea investirii în obligatiuni.
Dobânda curenta (potentiala) reprezinta dobânda calculata de investitor functie de pretul zilei, pret la care s-ar putea comercializa obligatiunea.
Dobânda neta este dobânda reala ajustata cu coeficientul de impunere a veniturilor din dobânzi; reprezinta ceea ce ramâne la dispozitia investitorului dupa achitarea impozitului pe venitul realizat.
Dobânda acumulata apare în cazul în care tranzactiile de obligatiuni au loc la o data diferita de data scadenta a dobânzii.
Modalitatile de rambursare a împrumutului obligatar sunt:
rambursarea la scadenta, care presupune ca întregul împrumut sa fie rambursat în ultima zi a duratei de viata;
rambursarea prin rate anuale constante, care presupune rambursarea anuala a unei rate constante din împrumutul obligatar, dobânda calculându-se la suma ramasa nerambursata; anuitatile sunt descrescatoare în timp;
rambursare prin anuitati constante, care presupune rambursarea anuala a unei sume constante;
rambursare prin cupon unic, care presupune ca dobânzile nu sunt varsate anual, ci capitalizate si platite odata cu rambursarea împrumutului la scadenta.
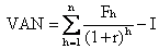
Rata randamentului anual se calculeaza conform formulei:
![]()
unde:
Rra = rata randamentului anual;
Vn = valoarea nominala;
Pe = pretul de emisiune;
Pr = pretul de rambursare;
Va = venitul anual;
Nr.ani = numarul de ani pentru care se lanseaza împrumutul (durata de viata a împrumutului).
Venitul anual reprezinta valoarea dobânzii anuale adusa subscriitorului de cuponul obligatiunii. Prin contractul de emisiune se pot stabili si alte termene pentru plata dobânzii care recompenseaza titlul obligatar.
Va = Vn
d
unde:
d = rata dobânzii anuale stabilita prin contractul de emisiune.
În functie de valorile pe care le pot lua valoarea nominala, pretul de emisiune si pretul de rambursare al obligatiunilor pot exista urmatoarele situatii:
A) Vn = Pe = Pr
unde:
pe = prima de emisiune;
pr = prima de rambursare
B) Vn > Pe, Vn = Pr

C) Vn = Pe, Vn < Pr

D) Vn > Pe, Vn > Pr

E) Vn < Pe, Vn = Pr

F) Vn < Pe, Vn < Pr

1.8.2. MODIFICAREA CARACTERISTICILOR FINANCIARE ALE OBLIGAŢIUNILOR
Pe piata financiara cele mai frecvente titluri obligatare, ca numar si ca valoare, sunt obligatiunile cu rata dobânzii fixa, dar care incumba un risc ridicat în cazul în care rambursarea titlurilor se va face într-o moneda depreciata. În vederea acordarii unei protectii împotriva acestui risc, se pot modifica caracteristicile obligatiunilor cu rata dobânzii fixa prin urmatoarele metode:
Reducerea scadentei obligatiunilor - se diminueaza astfel incertitudinea subscriitorilor si a emitentilor cu privire la stabilitatea ratei dobânzii pe piata.
Emisiunea de obligatiuni retractabile ofera posibilitatea emitentului sa devanseze scadentele de amortizare a obligatiunilor.
In acest caz rata randamentului anual va înregistra o crestere:
![]()
unde:
Rra = rata randamentului anual;
Vn = valoarea nominala;
Pe = pretul de emisiune;
Pr = pretul de rambursare;
Va = venitul anual;
Nr.ani = numarul de ani pentru care se lanseaza împrumutul (durata de viata a împrumutului);
t = perioada (în luni) cu care se reduce durata de viata a obligatiunilor.
Cresterea duratei de viata a împrumutului prin emisiunea de obligatiuni extensibile. Acestea ofera posibilitatea ca durata de viata a obligatiunilor sa fie prelungita în aceleasi conditii de rata a dobânzii. În acest caz rata randamentului anual va înregistra o scadere:
![]()
unde:
t = perioada (în luni) cu care se prelungeste durata de viata a obligatiunilor.
Emitentul trebuie sa garanteze prin contractul de emisiune modificarea acestor caracteristici tehnice. Alta posibilitate este de a proceda la o emisiune de obligatiuni cu rata dobânzii variabila care au un cupon indexat în functie de evolutia ratei dobânzii de referinta;
Modificarea simultana a ratei dobânzii si a scadentei obligatiunilor da posibilitatea obtinerii unui venit constant pe o perioada lunga de timp, atunci când pe piata financiara se produce o scadere a ratei dobânzii.
1.9. RANDAMENTUL OBLIGAŢIUNILOR
Subscriitorii de obligatiuni sunt dispusi sa-si plaseze lichiditatile în asemenea titluri, daca obtin rentabilitatea scontata. Elementele care conduc la rentabilitatea obligalarului sunt rata dobânzii împrumutului (D), prima de emisiune (PE < VN) si, eventual, prima de rambursare (PR > VN).
Dar randamentul obligatiunilor nu este egal în toti anii de rambursare; el este mai mare daca obligatiunile se amortizeaza în primii ani, prin tragere la sorti, si va fi mai mic daca amortizarea are loc catre sfârsitul de viata al împrumutului. Sub acest aspect, nu este lipsita de importanta determinarea randamentului obligatiunilor, într-un an sau altul, precum si determinarea randamentului mediu.
1.10. MODALITĂŢI DE RAMBURSARE A ÎMPRUMUTULUI OBLIGATAR
În general, rambursarea împrumutului obligatar (a principalului) se face la paritatea valorii nominale, dar în mai multe modalitati: la scadenta, în transe (prin tragere la sorti), anticipat (la cererea emitentului = clauza CALL sau la cererea investitorului = clauza PUT) sau nu se face niciodata (renta perpetua).
Rambursarea la valoarea faciala (la paritate) si la scadenta (la maturitate) este forma clasica de rambursare "în fine" a principalului unui împrumut obligatar. Valoarea de rambursat este egala cu valoarea de emisiune si la paritate cu valoarea nominala (faciala) a împrumutului obligatar. Singura forma de remunerare a investitiei într-o astfel de investitie de capital este seria de cupoane (dobânzi) de încasat periodic pe durata maturitatii împrumutului.
Rambursarea esalonata (în transe) se face, de asemenea, la paritatea valorii faciale, dar esalonat în transe. Pentru a trata egal toti cumparatorii (divizibili) de obligatiuni rambursarea esalonata se face prin tragerea la sorti a transei de numere de obligatiuni ce urmeaza sa fie rambursata înainte de scadenta. Evident ca obligatiunile trase la sorti sunt însotite de riscul (pentru investitori) al rambursarii anticipate si deci al nerealizarii întregii rentabilitati scontate din aceasta investitie de capital. Disiparea "în mod egal" a acestui risc asupra împrumutatorilor se face deci prin apelarea la "hazard", respectiv prin tragere la sorti. De aici rezulta ca pretul de vânzare (emisiune) al obligatiunilor cu rambursare prin tragere la sorti este mai mic decât pretul de punere în circulatie a obligatiunilor cu rambursare "în fine", la maturitate.
Rambursarea anticipata la cererea emitentului (callable, în sau obligatiune cu clauza CALL de denuntare a datei de rambursare care da dreptul emitentului sa ramburseze integral înainte de scadenta. Prospectul de emisiune al unor astfel de obligatiuni trebuie sa precizeze ferm:
a) data de la care emitentul poate exercita clauza de rambursare anticipata (prin tragere Ia sorti);
b) momentele ulterioare la care se poate face rambursarea;
c) pretul la care se poate face rambursarea anticipata.
Acest drept de optiune în favoarea emitentului este însotit de fixarea unui pret de emisiune al obligatiunii cu clauza CALL mai mic decât cel al unei obligatiuni clasice. Aceasta clauza opereaza atunci când se estimeaza ca rata dobânzii de piata va scadea si deci valoarea împrumutului obligatar urmeaza sa creasca. Emitentul va exercita dreptul de rambursare anticipata pentru a evita efortul ridicat de rambursare la scadenta a unui împrumut din ce în ce mai costisitor. Clauza CALL este echivalenta cu acompanierea obligatiunii emise cu o optiune de cumparare CALL, a carei prima de procurare este egala cu sacrificiul de pret (de emisiune al obligatiunii) mai redus.
Rambursarea anticipata la cererea investitorului (putable, în engleza) sau obligatiunea cu clauza PUT de solicitare a rambursarii integrale a principalului înainte de scadenta. De asemenea, prospectul de emisiune trebuie sa precizeze în mod clar:
a) data de la care împrumutatorul poate cere rambursarea anticipata a împrumutului;
b) momentele ulterioare la care rambursarea poate fi operationala;
c) pretul (preturile) la care se poate face rambursarea.
Este evident ca acest drept de optiune în favoarea investitorului de capital va fi platit printr-un pret de emisiune al obligatiunii cu clauza PUT mai mare decât al emisiunii unei obligatiuni clasice. Anticiparea unei cresteri a ratei dobânzii de piata peste rata cuponului nominal va motiva investitorii sa exerseze clauza PUT, "de vânzare" catre emitent, în conditiile a), b) si c) prestabilite, pentru a putea beneficia de conditiile mai bune de plasament financiar (pe care piata financiara pare sa le ofere în perspectiva). Similar obligatiunii anterioare si obligatiunea payable este echivalenta cumpararii, odata cu aceasta obligatiune, a unei optiuni PUT, de vânzare (rambursare anticipata) a obligatiunii detinute.
Împrumutul obligatar nerambursabil sau obligatiunea cu "renta perpetua" presupune remunerarea investitiei de capital numai sub forma cupoanelor (Dobt) pentru o perioada nedeterminata (infinita). Obligatiunea cu renta perpetua este opusul unei obligatiuni cu cupon zero. Valoarea unei astfel de obligatiuni se calculeaza simplu prin formula rentei perpetue:

unde Rd = rata nominala a dobânzii anuale aplicabile la valoarea faciala a obligatiunii (în general, egala cu 100%).
1.11. AMORTIZAREA ÎMPRUMUTURILOR OBLIGATARE
Amortizarea obligatiunilor este operatiunea de rambursare a împrumutului obligatar în conformitate cu scadentele înscrise în contract. Aceasta operatiune se poate realiza în trei feluri:
prin anuitati constante;
prin serii egale;
prin amortizare unica la sfârsitul duratei împrumutului.
1.11.1. AMORTIZAREA PRIN ANUITĂŢI CONSTANTE
În cazul amortizarii prin anuitati constante societatea comerciala varsa în flecare an o suma constanta, reprezentând amortismente plus dobânzi, în vederea stingerii treptate a datoriei. Prin urmare, în totalul varsamintelor anuale partea reprezentând capitalul rambursat creste în fiecare an, iar partea reprezentând dobânda scade.
Anuitatea se determina conform formulei:
sau ![]()
Notam:
A = anuitati, adica amortismentul anual plus dobânda;
a = amortismentul anual;
K = capitalul sau suma împrumutului obligatar;
Kr = împrumutul nerambursat;
N = numarul de obligatiuni emise;
Nr = numarul de obligatiuni rambursate anual;
VN = valoarea nominala a obligatiunilor emise;
PE = pretul de emisiune al obligatiunilor;
PR = pretul de rambursare al obligatiunilor;
Pr = prima de rambursare pentru o obligatiune (PR - VN);
D = rata dobânzii împrumutului (dobânda nominala);
De = rata efectiva a dobânzii (influentata de prima de rambursare);
∆D = suma anuala a dobânzii;
t,T = durata în ani a împrumutului obligatar.
Amortizarea prin anuitati constante este reprezentata schematic în figura nr.6.

Se observa urmatoarele:
D1 > D2 > . > Di > Dn;
a1 < a2 < . < ai < an;
A1 = A2 = . = Ai = An;
ai = Ai - Di.
Amortizarea sau rambursarea prin anuitati constante se poate face la valoarea nominala (PR = VN) sau la prima de rambursare (PR > VN).
Amortizarea la valoarea nominala prin anuitati constante.
În acest scop se folosesc urmatoarele formule:
sau ![]()
Dupa determinarea lui A, se determina cât din A este dobânda si cât amortizari la capital.
dobânda
;
se determina capitalul restituit:
;
se determina apoi numarul
obligatiunilor restituite în fiecare an:
.
Deci numarul obligatiunilor rambursate creste anual.
Valoarea de amortizat este variabila, astfel:
în primul an de amortizare, valoarea amortizata se calculeaza ca diferenta între anuitate si dobânda. Valoarea împrumutului ramas de amortizat se obtine ca diferenta între valoarea initiala a împrumutului si suma amortizata.
în urmatorii ani valoarea dobânzii este influentata de valoarea împrumutului ramas de amortizat. Valoarea amortizata constituie diferenta dintre anuitatea constanta si valoarea dobânzii aferenta anului respectiv.
în ultimul an de amortizare, valoarea amortizata este egala cu suma împrumutului de amortizat.
Amortizarea la prima de rambursare prin anuitati constante.
Anuitatile se calculeaza dupa aceeasi formula ca si în cazul rambursarii la valoarea nominala, tabloul de amortizare se întocmeste la fel, numai ca se adauga o coloana reprezentând prima de rambursare pentru fiecare scadenta, în functie de numarul obligatiunilor ce se ramburseaza si de prima de rambursare (PR - VN).
;
.
1.11.2. AMORTIZAREA PRIN SERII EGALE
Amortizarea prin serii egale presupune rambursarea unui numar egal de obligatiuni în fiecare an. De asta-data capitalul rambursat este egal în fiecare an, iar suma dobânzii scade de la un an la altul, anuitatile fiind variabile. Prin urmare, cheltuielile financiare sunt mai mari la începutul anilor de rambursare si descresc treptat catre sfârsitul duratei împrumutului (figura nr.7).

v
Se observa urmatoarele:
∆D1 > ∆D2 > . > ∆Di > . > ∆Dn;
a1 = a2 = . = ai = . = an;
K = a1 + a2 + . + ai + . + an;
Ai = ai + ∆Di.
La fiecare
scadenta societatea comerciala ramburseaza acelasi
numar de obligatiuni. Daca scadenta este anuala,
atunci
.
Rambursarea anuala se poate face în doua moduri:
la valoarea nominala:
;
la
pret de rambursare:
.
Suma anuala a dobânzii (∆D) se calculeaza totdeauna asupra capitalului nerambursat.
![]()
unde:
n = numarul de obligatiuni ramase de rambursat;
Nr = numarul de obligatiuni rambursate anual;
Kr = împrumutul ramas nerambursat.
Anuitatile:
la valoarea nominala:
;
la pret de rambursare:
.
Rambursarea se face prin tragerea la sorti a obligatiunilor. În scopul respectarii egalitatii dintre detinatorii de titluri sunt concepute sisteme de repartitie proportionala a obligatiunilor trase la sorti [11].
1.11.3. AMORTIZAREA ÎN FAZĂ UNICĂ
Amortizarea unica, la capatul duratei împrumutului, se realizeaza în conditiile platii anuale a dobânzilor. La sfârsitul fiecarui an se platesc dobânzi asupra volumului total al împrumutului.
![]()
Caracteristici:
întregul împrumut se ramburseaza la sfârsitul duratei de viata prevazut în contractul de emisiune;
pâna în ultimul an anuitatea este egala cu valoarea dobânzii perioadei;
în ultimul an anuitatea este egala cu suma dobânzii perioadei si valoarea împrumutului amortizat.
Rambursarea finala se poate face în doua moduri:
la valoarea nominala:
;
la pret de rambursare:
Amortizarea la sfârsitul duratei de viata a împrumutului se poate reprezenta grafic în figura nr.8.

Aceasta metoda de amortizare este dublata, de regula, de constituirea treptata a unui fond de rambursare (sinking found) care se plaseaza de catre societatea comerciala, anual, pentru a aduce remuneratie, fiind folosit în final pentru achitarea împrumutului.
Rambursarea integrala a împrumutului în ultima zi a duratei acestuia (in fine) devine tot mai utilizata din motive de simplificare a gestiunii financiare. Pentru întreprinderea împrumutata prezinta avantajul dispunerii de capital împrumutat pe toata durata de acordare a acestuia, trezoreria nefiind afectata decât de plata dobânzilor. În momentul rambursarii, exista însa un inconvenient, acela de a afecta trezoreria cu întreaga suma împrumutata ce trebuie rambursata dintr-o data. Costul procurarii acestui împrumut este cel mai ridicat, întrucât dobânda se calculeaza de fiecare data la suma totala a capitalului împrumutat (tabelul nr.4.). Trebuie retinut însa ca întreprinderea capitalizeaza de 4 ori (în cei 4 ani) acumularea bruta anuala realizata din exploatarea investitiei, ceea ce este de natura sa reduca din dezavantajul costului ridicat.
Amortizarea, prin anuitati, constante si prin serii egale se poate realiza, cel putin partial, prin rascumparari la bursa, daca cursul este avantajos comparativ cu valoarea de rambursat sau daca exista în contract clauze de rascumparare cu anticipatie. Altfel, amortizarea are loc la valoarea de rambursare, prin trageri la sorti.
Rambursarea anticipata se poate efectua numai daca clauza aceasta este prevazuta în contractul de împrumut. Ţinând cont de evolutia ratei dobânzii pe piata financiara, o societate comerciala poate avea interesul de a rambursa anticipat obligatiunile emise si plasate, daca valoarea actuariala a acestora este inferioara valorii contabile din bilant. Rambursarea anticipata se poate obtine prin rascumparari la bursa, dar este o operatiune de lunga durata pentru ca nu toti detinatorii sunt dispusi sa-si vânda obligatiunile.
Daca se înregistreaza un proces de rascumparari masive, aceasta duce la cresterea cursului obligatiunilor ceea ce, la un moment dat, poate face rascumpararea neconvenabila. Daca, dimpotriva, la bursa se contureaza un proces sustinut de vânzari de obligatiuni, cursul lor scade, facând ca rascumpararea sa fie rentabila.
Daca rascumpararea se face în afara bursei, ca urmare a clauzei de rascumparare din contract de care uzeaza întreprinderea, aceasta va trebui sa acorde o compensatie detinatorului, în sensul ca pretul de rascumparare sa fie mai mare decât valoarea nominala a obligatiunii. Daca rascumpararea se face la bursa, detinatorul nu mai primeste nici un fel de compensatie, indiferent de raportul dintre valoarea nominala si cursul bursier al obligatiunii.
În toate cazurile rascumpararea înainte de scadenta a obligatiunilor din initiativa societatii comerciale are loc când aceasta poate obtine fonduri mai ieftine din alte surse.
1.12. ÎMPRUMUTURI OBLIGATARE CONVERTIBILE
Adunarea generala extraordinara a societatii comerciale poate decide emiterea unor obligatiuni care sa poata fi schimbate în actiuni ale aceleiasi societati, într-o perioada sau la o data prestabilita. Conversiunea poate constitui un drept al societatii.
Conditiile conversiunii variaza de la o emisiune la alta. Când societatea efectueaza o emisiune de obligatiuni convertibile în actiuni, aceasta clauza trebuie înscrisa si în actul fiduciar, unde se va mentiona raportul de schimb obligatiune / actiune, categoria de actiuni avuta în vedere, perioada sau data când urmeaza a se realiza conversiunea.
Emisiunea acestui tip de obligatiuni poate interesa în mod deosebit pe subscriitori caci, în afara de dobânda pe care o primesc, au posibilitatea de a primi în viitor venituri mai mari sub forma dividendelor - daca întreprinderea merge bine - sau pot obtine câstig de capital daca în momentul conversiunii cursul actiunilor este mai mare decât cel al obligatiunilor. Asadar, dreptul de conversiune se foloseste de obligatari în cazul unei evolutii favorabile a cursului actiunilor sau a dinamicii dividendelor.
În decizia de conversiune intervin mai multi parametri: rata dobânzii, data sau perioada conversiunii, baza conversiunii, prima de conversiune.
Rata dobânzii la obligatiunile convertibilei este mai scazuta decât la obligatiunile ordinare, tocmai ca urmare a perspectivelor financiare favorabile obligatarului ca urmare a conversiunii.
Perioada de conversiune se prestabileste, fiind de regula mai mica decât durata obligatiunilor. Spre exemplu, pentru un împrumut obligatar pe 15 ani, durata conversiunii poate fi stabilita între N + 3 si N + 13, astfel încât conversiunea sa poata fi eficienta [12].
Baza economica a conversiunii exprima numarul de actiuni primite în schimbul unei obligatiuni, ceea ce permite de a evalua pretul conversiunii, plecând de la cursul actiunilor la un moment dat. Spre exemplu, pentru o baza de conversiune de 2 (doua actiuni pentru o obligatiune) si pentru un curs al actiunii de 400, pretul de conversiune va fi de 800.
Prima de conversiune reprezinta diferenta calculata la
un moment dat între cursul obligatiunii si pretul de
conversiune. Spre exemplu, daca o obligatiune are pretul de conversiune
1000 si este cotata la bursa cu l 200, prima de conversiune este
de 1200 - 1000 = 200 care adesea se exprima procentual:
.
Daca cursul actiunilor este scazut, nu este oportun sa fie utilizat dreptul de conversiune, în consecinta prima de conversiune va fi mai ridicata; cresterea cursului actiunilor poate conduce la cresterea pretului de conversiune, diminuând corespunzator prima de conversiune. Deci, conversiunea se produce daca pretul de conversiune este mai mare decât pretul de rambursare. Societatea comerciala poate forta conversiunea - luând decizia de amortizare a împrumutului cu anticipatie - daca pretul de conversiune > pretul (valoarea) de rambursare.
Avantaje ale conversiunii pentru societatea comerciala. Conversiunea permite întreprinzatorului sa se îndatoreze la un pret (rata dobânzii) mai scazut decât în cazul obligatiunilor ordinare. Se creeaza posibilitatea unei cresteri de capital prin conversiunea datoriilor, atunci când nu este posibila o crestere prin aport de numerar sau prin încorporarea rezervelor.
Clauza de convertibilitate permite rezolvarea eventualelor conflicte între obligatari si actionari. Daca riscul proiectelor finantate prin împrumut obligatar este mai ridicat decât cel avut în vedere în momentul emisiunii, optiunea de conversie permite detinatorilor de obligatiuni sa se asocieze profiturilor rezultate din activitatea întreprinderii, dând curs clauzei de conversiune.
1.13. FINANŢAREA PRIN OBLIGAŢIUNI SAU PRIN ACŢIUNI?
Finantarea pe termen lung se poate realiza fie prin emisiune de actiuni ca o finantare prin fonduri proprii, fie prin angajamente la termen si deci si prin împrumuturi obligatare. Se prefera adesea împrumutul si, în principal, împrumutul obligatar, pentru avantajele pe care le confera.
Împrumutul obligatar este mai putin costisitor decât o emisiune de actiuni, în ciuda faptului ca rata dobânzii asupra obligatiunilor este, în mod obisnuit, mai ridicata decât dividendul. În plus, intervine si incidenta fiscala în sensul ca dobânzile platite micsoreaza baza impozabila, ceea ce nu este cazul dividendelor.
Daca finantarea prin obligatiuni creeaza incontestabil avantaje consistente, trebuie spus, în acelasi timp, ca obligatiunile comporta un risc mai mare pentru întreprindere decât finantarea prin emisiune de actiuni. În cazul împrumutului obligatar societatea trebuie sa plateasca dobânzi periodic, cu caracter obligatoriu, în timp ce plata dividendelor, chiar în cazul actiunilor cu privilegiul de dividend, nu este obligatorie în fiecare an.
Apoi, societatea este obligata sa ramburseze împrumuturile obligatare, ceea ce conduce la micsorarea lichiditatilor, în timp ce finantarea prin actiuni nu trebuie restituita, în sfârsit, în caz de recesiune economica societatea finantata prin obligatiuni va avea greutati mai mari pentru efectuarea platilor (principal plus dobânda) decât în cazul finantarii prin emisiune de actiuni.
1.14. COSTUL ÎMPRUMUTULUI OBLIGATAR
Pentru un credit clasic, fara comisioane diverse, fara prima de emisiune sau de rambursare, costul actuarial este egal cu dobânda nominala. Pentru împrumutul obligatar, în volumul costurilor figureaza, alaturi de dobânda stabilita la nivelul ratei dobânzii de pe piata financiara si de numarul de ani pentru care se emit obligatiunile, si alte cheltuieli: de emisiune, de publicitate, comisioane bancare, cheltuieli cu imprimarea certificatelor de obligatiuni, prime de emisiune, prime de rambursare etc. Toate aceste cheltuieli se stabilesc de la început în cota procentuala, urmând sa se deduca din suma totala a împrumutului.
Rata dobânzii nominale (faciale) este cea care permite calcularea remuneratiei (cuponului) pe baza valorii nominale a obligatiunii si se stabileste în momentul emisiunii împrumutului. Rata dobânzii poate sa fie fixa, când cuponul ramâne nemodificat ca volum pe toata durata împrumutului, si variabila, când valoarea cupoanelor se modifica în functie de diversi factori si în primul rând de oscilatia dobânzii pe piata financiara.
Rata dobânzii nominale nu trebuie confundata cu rata actuariala a investirii în obligatiuni, care tine cont atât de rata dobânzii nominale, cât si de primele de emisiune, primele de rambursare, comisioane si cheltuieli diverse de emisiune. Rata actuariala pentru subscriitor este randamentul anual al unui împrumut care se determina actualizând suma fluxurilor pozitive primite în timpul duratei de viata a împrumutului (cupoane, valoarea de rambursare), în timp ce pentru emitentul obligatiunilor, rata actuariala reprezinta costul brut al împrumutului.
Rata actuariala (costul actuarial) a împrumutului obligalar reprezinta rata efectiva platita de debitor si încasata de creditori, determinata nu numai de rata nominala a dobânzii, dar si de alti factori: emisiunea la scont, emisiune la prima si pretul de rambursare.
Notam cu:
ra = rata actuariala sau costul actuarial;
rn = rata nominala (faciala) a dobânzii;
PE = pretul de emisiune al obligatiunilor;
PR = pretul de rambursare al obligatiunilor;
VN = valoarea nominala a obligatiunilor.
ra = rn daca PE = PR = VN;
ra > rn daca PE < VN si PR > VN.
Rata actuariala bruta, fara incidenta fiscala, este rata care egalizeaza pretul de emisiune cu valoarea actuariala a fluxurilor viitoare pozitive generate de obligatiune (cupoane, pret de emisiune, pret de rambursare). Cumparatorul de obligatiuni varsa un pret si în fiecare an primeste un cupon, iar la scadenta valoarea obligatiunii la pretul de rambursare.
1.15. EMISIUNEA DE OBLIGAŢIUNI ALE SOCIETĂŢILOR COMERCIALE DIN ROMÂNIA
În România, emisiunea de obligatiuni ale societatilor comerciale este înca incipienta. În conditiile unei rate a inflatiei ridicate, pe piata primara a obligatiunilor se practica rate ale dobânzii ridicate, sporind astfel costurile emitentului aferente unui împrumut obligatar. Procurarea de capital de împrumut prin aceasta modalitate devine astfel neatractiva.
Prima oferta publica de obligatiuni din România a fost cea realizata de Siderca Calarasi SA, la 30.10.1996, cu scadenta pe 31.01.2000. Pe parcursul derularii acestei operatiuni, firma a întâmpinat însa dificultati, nereusind sa-si acopere datoriile fata de toti investitorii.
Ulterior, s-au înregistrat noi emisiuni de obligatiuni, dintre care amintim:
împrumutul obligatar contractat de societatea Compan Târgoviste la data de 21.05.1997, cu scadenta la 1 an, rata dobânzii fiind de 100%;
emisiunea de obligatiuni a societatii Tricodava din data de 8.05.1998, cu scadenta la 6 luni, rata dobânzii fiind de 50%. Aceasta emisiune a fost prelungita cu înca 6 luni din cauza dificultatilor emitentului de a-si achita obligatiile contractuale.
o alta emisiune de obligatiuni (sub forma de oferta publica pentru vânzare) a fost realizata de societatea comerciala Bachus Buzau S.A. în perioada 04.09.2000 - 10.10.2000. Emisiunea însa nu s-a încheiat cu succes, deoarece nu s-a subscris minimul de 60% din titlurile emise. Au fost subscrise doar 95 de obligatiuni (0,06% din emisiune), de aceea oferta a fost anulata, si societatea a fost nevoita sa restituie banii investitorilor.
Prima oferta publica de obligatiuni convertibile a unei societati private în România s-a realizat la începutul lui iunie 2000. Societatea International Leasing a contractat un împrumut obligatar în valoare totala de 2,2 miliarde lei. Scadenta a fost stabilita la data de 30 noiembrie 2001.
Sindicatul de intermediere a distributiei obligatiunilor a cuprins societatea de valori mobiliare Transilvania Capital Invest, Valmob Intermedia si Intercapital Invest, în calitate de manager. Riscul de neplata a fost garantat de grupul român de asigurari GrupAS.
Fondurile obtinute prin aceasta emisiune au fost utilizate pentru dezvoltarea activitatii societatii, prin largirea bazei de clienti si diversificarea ofertelor de leasing, potrivit prospectului ofertei publice.
Emisiunile de obligatiuni se pot realiza si pe alte piete de capital decât cea nationala, obligatiunile astfel emise numindu-se obligatiuni externe.
În România, fosta regie de electricitate RENEL a lansat în 1997, prin intermediul bancii de investitii Marrill Lynch, doua emisiuni de obligatiuni pe piata externa:
emisiune de obligatiuni exprimate în Yeni japonezi în valoare de 15 milioane USD cu scadenta la 17 februarie 2000;
o emisiune în dolari americani în valoare de 135 milioane USD cu scadenta în 2002.
2. STUDIU DE CAZ PRIVIND EMITEREA UNUI CREDIT OBLIGATAR LA S.C. "CONFSTAR" S.A. BAIA MARE
2.1. PREZENTAREA SOCIETĂŢII S.C. "CONFSTAR" S.A.
2.1.1. DOMENIUL DE ACTIVITATE
Societatea Comerciala "CONFSTAR" S.A. cu sediul în Baia Mare, b-dul Republicii nr. 2 a luat fiinta în 19.01.1976. S.C. "CONFSTAR" a fost construita în anul 1975 ca un atelier, apoi ca sectie a întreprinderii de confectii Mondiala Satu Mare. Ulterior, datorita cererii de confectii are loc o dezvoltare a capacitatii de productie existente, prin realizarea în 1980 a sectiei de productie din Sighetu Marmatiei, iar în 1985 prin preluarea sectiei de confectii din somcuta Mare. Mai târziu realizându-se o sectie de finisaj si un nou sector de productie în incinta din Baia Mare.
În paralel cu realizarea investitiilor a început o imensa munca de pregatire a fortei de munca prin cursuri de calificare, recrutarea unor muncitori calificati de la alte întreprinderi similare, pregatirea viitorilor muncitori si conducatori ai locurilor de munca prin scoli de maistrii la Satu Mare si Bucuresti.
Astfel în prima etapa au fost calificati circa 500 muncitori, activitate ce a fost coordonata de circa 10 încadrati, fapt ce a permis demararea activitatii productive la începutul anului 1976.
Datorita unui sistem de organizare bine pus la punct, precum si a modernizarii continue a procesului de productie, întreprinderea a reusit sa se impuna atât pe piata interna, cât si pe cea externa. Astfel, de-a lungul anilor întreprinderea a încheiat contracte cu o serie de firme externe din tari, cum ar fi: Anglia, Germania, Italia, Suedia si Belgia.
În prezent firma colaboreaza cu firma Habitex International din Belgia, o firma cu renume în domeniul confectiilor textile si care asigura acoperirea integrala a capacitatii de productie.
S.C. "CONFSTAR" S.A. lucreaza în sistem lohn, adica firma Habitex International asigura materiile prime si materialele necesare confectionarii produselor de îmbracaminte prevazute în contractul 67 încheiat în 08.05.1996 si reînnoit în anul 2000. În acelasi timp asigura documentatia tehnica si asistenta tehnica necesara.
Productia în sistem lohn are avantajul ca scuteste unitatea de problemele legate de aprovizionare si desfacere, toata productia având baza materiala necesara asigurata si o piata de desfacere.
S.C. "CONFSTAR" S.A. Baia Mare s-a constituit prin preluarea partiala a patrimoniului fostei Întreprinderi de Confectii, ca urmare a Hotarârii Guvernului numarul 1224 din 23 noiembrie 1990.
Societatea are personalitate juridica, fiind înregistrata la Camera de Comert si Industrie Maramures sub numarul J24/39/1991 si având codul fiscal R2206040.
Fiind unitate cu personalitate juridica, depune bilant si are cont deschis la B.C.R., Sucursala Baia Mare, numarul 30.24.04.03 si cont în valuta.
Obiectul principal de activitate al S.C. "CONFSTAR" S.A. îl constituie producerea si comercializarea de confectii textile pentru femei, barbati si copii, într-o structura variata: compleuri, impermeabile, jachete, fuste, pantaloni, sacouri, etc.
Societatea comerciala îsi desfasoara activitatea în concordanta cu obiectul de activitate în urmatoarele domenii:
Producerea si comercializarea de confectii textile pentru femei, barbati si copii;
Producerea si comercializarea de confectii unicate si de serie mica;
Producerea si comercializarea unor piese de schimb specifice domeniului de activitate;
Crearea unor modele noi pentru sondarea pietei interne si externe.
În cadrul domeniului de activitate enuntat, firma realizeaza o structura sortimentala variata, adaptata cerintelor modei si celor doua sezoane principale, toamna - iarna si primavara - vara.
Piata mondiala a confectiilor textile careia trebuie sa-i faca fata S.C. "CONFSTAR" S.A. este caracterizata prin competitivitate, pozitie, accentuarea concurentei.
Productia destinata pietei interne se distribuie în tara prin societati comerciale cu capital de stat si privat si o mica parte din productie este prezentata si distribuita printr-un punct de desfacere propriu situat în incinta societatii.
Având în vedere volumul scazut de produse destinate pietei interne, societatea îsi desface si comercializeaza cea mai mare parte din produse pe pietele din Belgia si Germania. În prezent S.C. "CONFSTAR" S.A. colaboreaza cu firma Habitex International din Belgia, o firma cu renume în domeniul confectiilor textile.
Desfacerea produselor pentru firma Habitex din Belgia se asigura prin contract de colaborare încheiat în anul 1993, cu termeni negociabili pentru fiecare sezon. Din analiza datelor privind colaborarea cu firma Habitex, se constata o evolutie ascendenta, atât în privinta volumului de productie, cât si a pretului mediu obtinut la export. Aceasta demonstreaza încrederea reciproca între parteneri, încredere ce a fost câstigata pe parcursul colaborarii prin seriozitatea agentului economic în derularea contractului, prin respectarea termenelor de livrare a produselor si prin realizarea unor produse de buna calitate, cât si a solidaritatii financiare a partenerului de afaceri prin achitarea facturilor la termenele prevazute.
Produsele realizate de societate sunt distribuite la termenele stabilite în contract, utilizându-se mijloacele de transport apartinând partenerului de afaceri.
2.1.2. CAPITALUL SOCIAL sI STRUCTURA ACŢIONARIATULUI
S.C. "CONFSTAR" S.A. este o societate comerciala cu capital integral privat, dispunând de un capital social de 2.275.175.000 lei.
În anul 1995, în urma semnarii contractului 71/23 martie 1995 cu Fondul Proprietatii de Stat Bucuresti si cu Fondul Proprietatii Private Moldova, prin contractul numarul 26/23 martie 1995, societatea a fost privatizata, preluând atât de la FPS cât si de la FPP întreg pachetul de actiuni.
Societatea a fost privatizata prin metoda MEBO, prin negociere directa cu FPS si FPP, actionarii, în numar de 845, fiind salariati si fosti salariati ai societatii. În urma semnarii contractului cu FPS Bucuresti, Asociatia PAS CONFECŢIA a cumparat 70% din capitalul social cu valoare de 1.580.025.000 lei, respectiv 63.201 actiuni cu valoare nominala de 25.000 lei.
Privatizarea societatii a avut rezultate benefice asupra situatiei economico-financiare a unitatii prin faptul ca a crescut interesul oamenilor muncii în utilizarea cu maxima eficienta a întregului potential uman si material.
Gestionarea capitalului se face de catre Adunarea Generala a Actionarilor careia îi revine misiunea de a continua procesul investitional pentru a face fata noilor cerinte ale pietei si concurentei acerbe din acest domeniu.
Capitalul social al societatii este de 2.275.175.000 lei. Structura capitalului social este prezentat în tabelul nr.6.
Tabelul nr.6. Structura capitalului social Nr. crt. Actionari Capital (mii lei) Valoarea unei
actiuni Numar de
actiuni Procent din total
capital FPS FPP Alti actionari-total Din care
salariati
2.1.3. POTENŢIALUL UMAN sI MATERIAL AL ÎNTREPRINDERII
Structura personalului pe meserii si pe functii corespunde specificului de productie din subramura industriei de confectii textile.
Evolutia numarului mediu scriptic de salariati în decursul perioadei 2000 - 2004 se prezinta în tabelul nr.7.
Tabelul nr.7. Numarul mediu scriptic de salariati - salariati - An Numar mediu de salariati
S.C. "CONFSTAR" S.A. are o situatie foarte buna în privinta gradului de pregatire profesionala atât la categoria muncitori (95,5% - calificati), cât si la personalul de conducere, administrativ si tehnic (21,4% cu studii superioare).
Punctele tari ale resurselor umane sunt:
Ponderea mare a personalului încadrat în segmentul optim de vârsta;
Nivelul de calificare foarte bun al întregului personal, probat de calitatea produselor realizate si prin viteza cu care s-a impus în rândul producatorilor de confectii;
Personal dinamic, flexibil si bine format;
Buna motivare a personalului comparativ cu restul populatiei ocupate pe plan local.
Cât priveste potentialul material al societatii, nivelul tehnic al procedeelor si echipamentelor este scazut. Dotarea tehnica este formata dintr-o diversitate de utilaje din care o parte si-au îndeplinit durata normala de utilizare.
Aproximativ 20% din totalul utilajelor prezinta un grad avansat de uzura morala, multe din ele sunt scoase din programul de fabricatie al firmelor de circa 2-3 ani. Procesele tehnologice sunt si ele învechite, fiind determinate de nivelul tehnic al echipamentelor.
Constructiile si instalatiile sunt în stare buna si au fost realizate în anii
2.1.4. STRATEGIA CONCURENŢIALĂ A SOCIETĂŢII
Societatea este angajata într-o lupta concurentiala, atât pe piata interna cât si pe cea externa.
Pentru a face fata concurentei, în conditiile recesiunii economice existente pe piata confectiilor, societatea comerciala are sanse de viabilitate printr-o preocupare sporita privind cucerirea de noi piete, de cresterea competitivitatii si calitatii produselor realizate. Aceste cerinte pot fi satisfacute prin:
Actiuni promotionale, publicitate si marketing propriu;
Continuarea actiunii de retehnologizare si modernizare a proceselor de productie;
Cresterea motivatiei echipei manageriale si schimbarea mentalitatii întregului personal fata de performantele firmei.
Structura pietei potentiale a S.C. "CONFSTAR" S.A. este urmatoarea:
HABITEX Germania - 95%;
Piata interna - 5%.
Pe piata interna, societatea concureaza cu aproximativ 36 societati comerciale producatoare de confectii textile. Printre concurentii cei mai importanti pe acest segment de piata mentionam: S.C. "MONDIALA" S.A. "Satu Mare", S.C. "MONDEXIM" S.A. Craiova, S.C. "MODA" S.A. Arad, S.C. "ARTA" MODEI S.A. Bucuresti, S.C. "FLACĂRA" S.A. Cluj Napoca.
Pe piata externa concurentii sunt din China, Coreea de Sud, Taiwan, Turcia, SUA, India, Austria, etc.
Strategia concurentiala a societatii se bazeaza pe o politica de preturi avantajoasa ambelor parti si pe un nivel calitativ ridicat al produselor realizate.
Pentru marirea volumului de desfacere pe piata externa, societatea urmareste pastrarea segmentului de piata ocupat, obtinerea unor contracte avantajoase din profitul carora sa se efectueze modernizarea productiei, precum si evitarea oricaror factori care ar genera goluri de productie. Pe viitor societatea îsi propune pastrarea actualului client, care este un client serios.
2.2. PROGRAMUL DE DEZVOLTARE AL
S.C. "CONFSTAR" S.A. PENTRU ANUL 2005
Industria textila si în special sectorul de confectii textile este un sector important în cadrul economiei nationale, care aducea importante cantitati de valuta în tara si care a cunoscut o dezvoltare în continua crestere dupa anul 1990. Acest lucru a fost posibil datorita activitatii specifice de producere a confectiilor în sistem lohn, precum si datorita investitiilor mari care s-au realizat în acest domeniu. Se constata însa ca în aceasta perioada piata mondiala a confectiilor este caracterizata printr-o puternica competitivitate, cu înclinatii de deplasare spre Asia, respectiv spre China Acest lucru, împreuna cu scaderea puterii de cumparare a produselor pe piata europeana, duc la necesitatea realizarii de produse cu grad mare de prelucrare (multe tighele, cusaturi ornament, aplicatii), precum si o cerinta de calitate ireprosabila în conditiile diversificarii structurii sortimentale si a materiilor prime prelucrate, cu implicatii directe asupra productivitatilor fizice în sensul scaderii acestora. Pe de alta parte, evolutia actuala a costurilor în continua crestere, precum si scaderea accentuata a cursului de schimb leu/euro impun o necesitate impetuoasa de crestere a productivitatilor fizice.
În acest context, Consiliul de Administratie, precum si conducerea executiva a societatii a înteles necesitatea canalizarii tuturor factorilor în directia mentinerii costurilor de productie la un nivel cât mai scazut si de crestere a productivitatilor fizice si a eficientei financiare.
Acest lucru este posibil prin mecanizarea si automatizarea proceselor tehnologice din sectoarele de productie, prin utilizarea la maximum a fondului de timp precum si printr-o organizare mai performanta a productiei.
În acest context Consiliul de Administratie întelege ca si pe mai departe eforturile sa fie canalizate pentru dezvoltarea si mentinerea societatii în limite eficiente, prin:
pastrarea în continuare a activitatii de baza a societatii si anume producerea si comercializarea confectiilor textile, în conditii de eficienta si calitate maxima;
realizarea de produse competitive din punct de vedere a preturilor si a rentabilitatii acestora;
utilizarea mai buna a fondului de timp maxim disponibil în vederea cresterii productivitatilor fizice si a îndeplinirilor de norma, prin urmarirea mai stricta a personalului;
cresterea volumului comertului cu produse textile pe piata interna cu produse proprii si de la terti;
cresterea randamentului personalului prin asigurarea unor conditii mai bune cum ar fi amenajarea locurilor de luat masa si a grupurilor sociale;
continuarea strategiei de mecanizare si automatizare a proceselor tehnologice prin completarea parcului de masini speciale la nivelul necesarului cerut de tendintele actuale ale modei si anume: masini cu 2 ace, masini de cusut si surfilat, masini de executat butoniere si cheite si chiar masini de executat AMF.
Pentru realizarea acestor obiective, Consiliul de Administratie a propus Adunarii Generale sa aprobe pentru anul 2005 realizarea unui volum de investitii de aproximativ 200.000 EURO reprezentând mai putin decât 1/2 din productia unei luni. În felul acesta societatea va reusi sa realizeze produse eficiente, calitative, cu costuri reduse si care sa asigure mentinerea societatii în conditii de eficienta si profit.
2.3. EMITEREA CREDITULUI OBLIGATAR
Planul de dezvoltare pe anul 2005 presupune realizarea unui volum de investitii în valoare de 200.000 EURO. Aceasta suma se poate obtine fie prin contractarea unui credit bancar, fie prin emisiunea de obligatiuni sau prin recurgerea la un împrumut obligatar. Daca se ia în considerare faptul ca dobânda la obligatiunile emise de firme sau de primarii este de 10-11%, mult mai mica decât dobânda perceputa de banci la creditele bancare (20%), si ca finantarea prin obligatiuni creeaza avantaje mai mari decât emiterea de actiuni în acest scop, atunci se propune obtinerea surselor de finantare necesare dezvoltarii întreprinderii prin intermediul unui credit obligatar.
S.C. "CONFSTAR" S.A. îndeplineste toate conditiile necesare emisiunii unui credit obligatar. Adica este o societate de capitaluri, are mai mult de doi ani de existenta, are varsat în totalitate capitalul sau.
Contul de profit si pierdere al societatii pe ultimii ani prezinta o evolutie crescatoare a principalilor indicatori de rezultate. Acest fapt se poate observa în anexa nr.1.
În virtutea explicatiilor de mai sus S.C. "CONFSTAR" S.A. va emite un credit obligatar cu urmatoarele caracteristici:
Suma împrumutului obligatar:
K = 7.300.000.000 lei (200.000 EURO × 36.500 lei / EURO);
Valoarea nominala a unei obligatiuni:
VN = 100.000 lei
Numarul de obligatiuni emise:
N = 73.000 obligatiuni;
Durata împrumutului obligatar:
t = 5 ani
Rata dobânzii împrumutului:
D = 12 %;
Pretul de emisiune al obligatiunilor este egal cu valoarea nominala a obligatiunilor:
PE = VN;
Pentru a face mai atractiv creditul obligatar, obligatiunile se emit cu prima de rambursare ( PR > VN). Pretul de rambursare al obligatiunilor este:
PR = 100.500 lei
atunci prima de rambursare va fi:
Pr = 100.500 - 100.000 = 500 lei.
2.4. APRECIEREA VIABILITĂŢII PROIECTULUI DE INVESTIŢIE
Suma obtinuta prin creditul obligatar se propune a fi utilizata pentru realizarea unei investitii de achizitionare de masini si utilaje necesare realizarii în conditii de eficienta maxima a activitatii întreprinderii.
Viabilitatea financiara a proiectului de investitie poate fi apreciata prin calculul:
Valoarea actuala neta (VAN);
Ratei interne de rentabilitate financiara (RIR).
Valoarea actuala neta (VAN), indicator numit si venit net total actualizat reflecta masa efectelor financiare nete totale actualizate,în raport cu un anumit moment de referinta, aferente proiectului de investitii. Acest indicator surprinde efortul si efectele procesului investitional în functie de întreaga durata de executare si exploatare a obiectivului, impunând actualizarea lor în raport cu un anumit moment de referinta conform procedeului de actualizare prin compunere sau discontare.
Valoarea actuala neta este, în fapt, diferenta între valoarea actuala a excedentelor nete ale exploatarii asteptate si cea a capitalului investit. Valoarea actuala neta poate fi pozitiva, poate fi negativa sau nula.
Pentru a avea o semnificatie corespunzatoare este important a se stabili, în prealabil, rata de actualizare. Nivelul cifric al acesteia nu este indiferent pentru investitor, ea constituind pragul minim de rentabilitate impus investitiei. De regula rata de actualizare recomandabila pentru calculul acestui indicator este costul capitalului sau costul finantarii întreprinderii.
Considerând investitia I, durata de viata a obiectivului n, fluxul net de trezorerie (cash-flow) anual din exploatare F1, F2,...,Fn si rata de actualizare r, egala cu costul capitalului, atunci valoarea actuala neta va putea fi exprimata prin relatia:
![]()
Daca VAN > 0, proiectul este eficient si are o eficienta mai mare decât rata de actualizare.
Calculul VAN pentru anii 2005 - 2009 este redat în tabelul nr.8.
Tabelul nr.8.
Calculul VAN
- mil. lei -
|
Anul |
Cash-flow |
Factor de actualizare (r = 0,12) |
Cash-flow actualizat |
|
Investitia | |||
|
VAN |
VAN = 11.277 - 7.300 = 3.976 mil. lei
Cum VAN = 3.976 > 0, rezulta ca proiectul investitional propus este eficient si are o eficienta mai mare de 12%.
Rata interna de rentabilitate reflecta pragul eficientei proiectului de investitii, gradul minim de fructificare posibil, dat de egalitatea dintre veniturile si costurile actualizate în raport cu un anumit moment de referinta. Într-o alta formulare, rata interna de eficienta economica este acea rata de actualizare la care raportul dintre venituri si costuri actualizate este egal cu 1, iar Valoarea actuala neta este egala cu zero. Deci, constituie pragul de fructificare la care efortul implicat în realizarea proiectului a fost egalat prin efecte, actualizate.
Rata interna de rentabilitate (RIR) este deci acea rata de actualizare (r) pentru care valoarea actuala neta (VAN) a unui proiect este egala cu valoarea capitalului investit (I), respectiv valoarea investitiei, conform relatiei:
![]()
Pentru aprecierea eficientei proiectului de investitii cu ajutorul acestui indicator se impune comparatia cu costul capitalului sau cu rata normata. Se apreciaza favorabil varianta care indica:
RIR ≥ Rn sau RIR ≥ RCc.
Relatia de calcul prin interpolare a ratei interne de rentabilitate se prezinta astfel:
![]()
în care:
R, reprezinta rata de actualizare, minima (Rmin), maxima (Rmax), interna (RIR);
VAN - Valoarea actuala neta.
Elementele necesare pentru calculul ratei interne de rentabilitate sunt prezentate în tabelul nr.9.
Tabel nr.9.
Calculul ratei interne de rentabilitate
|
Anul |
Cash-flow (mil. lei) |
Factorul de actualizare |
|
|
r = 28% |
r = 30% |
||
|
Investitia | |||
|
VNA (mil. lei) | |||
|
RIR (%) | |||
![]()
Valoarea RIR este mai mare decât dobânda creditului obligatar (RIR = 28,24 > 12%), prin urmare proiectul investitional propus se poate realiza cu succes.
2.5. AMORTIZAREA CREDITULUI OBLIGATAR EMIS
Se va analiza amortizarea creditului obligatar prin cele trei metode cunoscute si se va alege metoda cea mai buna din punct de vedere financiar.
Notam:
A = anuitati, adica amortismentul anual plus dobânda;
a = amortismentul anual;
K = capitalul sau suma împrumutului obligatar;
Kr = împrumutul nerambursat;
N = numarul de obligatiuni emise;
Nr = numarul de obligatiuni rambursate anual;
VN = valoarea nominala a obligatiunilor emise;
PE = pretul de emisiune al obligatiunilor;
PR = pretul de rambursare al obligatiunilor;
Pr = prima de rambursare pentru o obligatiune (PR - VN);
D = rata dobânzii împrumutului (dobânda nominala);
∆D = suma anuala a dobânzii;
t = durata în ani a împrumutului obligatar.
2.5.1. AMORTIZAREA PRIN SERII EGALE A
CREDITULUI OBLIGATAR EMIS
Amortizarea prin serii egale presupune rambursarea unui numar egal de obligatiuni în fiecare an.
Numarul de obligatiuni ce se va rambursa în fiecare an este:
obligatiuni.
Amortismentul anual va fi:
lei.
Prim de rambursare ce se va plati în fiecare an va fi:
lei.
Anul 1:
Suma dobânzii aferenta anului 1 este:
lei;
Anuitatea pentru anul 1 va fi:
lei.
Anul 5:
Împrumutul nerambursat aferent anului 5 va fi:
lei.
Suma dobânzii aferenta anului 5 va fi:
lei;
Anuitatea pentru anul 5 va fi:
lei.
Valoarea totala a dobânzii platita pentru creditul obligatar este:
∆D = 2.628.000.000 lei.
Valoarea primelor de rambursare platite pentru creditul obligatar este:
Pr = 36.500.000 lei.
Tabloul de amortizare al creditului obligatar prin serii egale este prezentat în tabelul nr.10.
Tabelul nr.10. Tabloul de amortizare al împrumutului obligatar prin serii egale - mii lei - Anul (Kr) Împrumut nerambursat (∆D) Suma anuala a dobânzii (a) Capitalul rambursat anual (amortisment) (A) Anuitati (Nr) Numarul oblig. ramburs. (Pr) Prima de rambursare Total
Societatea va plati in fiecare an dobânzi proportional mai mici în functie de împrumutul ramas nerambursat. Evolutia sumelor platite anual drept dobânda este prezentata în figura nr.9.
2.5.2. AMORTIZAREA PRIN ANUITĂŢI CONSTANTE
A CREDITULUI OBLIGATAR EMIS
Anuitatea (A) se calculeaza cu ajutorul formulei:
atunci
lei.
;
lei.
Anul 1:
Suma dobânzii aferenta anului 1 este:
lei;
Fractiunea de capital (a1) cuprinsa în anuitate este de:
lei
Numarul obligatiunilor rambursate este:
obligatiuni;
Prima de rambursare platita în anul 1 va fi:
lei
Anul 5:
lei
lei
lei
obligatiuni;
lei
Valoarea totala a dobânzii platita pentru creditul obligatar este:
∆D = 2.825.455.215 lei.
Valoarea primelor de rambursare platite pentru creditul obligatar este:
Pr = 36.500.000 lei.
Tabloul de amortizare al creditului obligatar prin anuitati constante este prezentat în tabelul nr.11.
Tabel nr.11.
Tabloul de amortizare al împrumutului obligatar cu rambursare la prima
prin anuitati constante
- mii lei -
|
Anul |
(Kr) Împrumut nerambursat |
(∆D) Suma anuala a dobânzii |
(a) Capitalul rambursat anual (amortisment) |
(A) Anuitati |
(Nr) Numarul oblig. ramburs. |
(Pr) Prima de rambursare |
|
Total |
Se constata un cost (dobânzi totale) mai ridicat al împrumutului rambursat în anuitati constante, întrucât amortizarile mai mari sunt catre sfârsitul duratei de rambursare. Evolutia sumelor platite anual drept dobânda este prezentata în figura nr.10.
2.5.3. AMORTIZAREA ÎN FAZĂ UNICĂ
A CREDITULUI OBLIGATAR EMIS
Întregul împrumut se ramburseaza la sfârsitul duratei de viata prevazut în contractul de emisiune;
Pâna în ultimul an anuitatea este egala cu valoarea dobânzii perioadei:
∆D1 = ∆D2 = ∆D3 = ∆D4 = ∆D5 =
lei.
în ultimul an anuitatea este egala cu suma dobânzii perioadei si valoarea împrumutului amortizat:
lei.
Valoarea totala a dobânzii platita pentru creditul obligatar este:
∆D = 4.380.000.000 lei.
Valoarea primelor de rambursare platite pentru creditul obligatar este:
Pr = 36.500.000 lei.
Tabloul de amortizare al creditului obligatar în faza unica este prezentat în tabelul nr.12.
Tabel nr.12.
Tabloul de amortizare al împrumutului obligatar în faza unica
- mii lei -
|
Anul |
(Kr) Împrumut nerambursat |
(∆D) Suma anuala a dobânzii |
(a) Capitalul rambursat anual (amortisment) |
(A) Anuitati |
(Nr) Numarul oblig. ramburs. |
(Pr) Prima de rambursare |
|
Total |
Amortizarea în faza unica presupune cel mai ridicat cost (dobânzi totale) al împrumutului, întrucât dobânda se calculeaza de fiecare data la suma totala a capitalului împrumutat.
Evolutia sumelor platite anual ca dobânda este prezentata în figura nr.11.
Fig. 9. Dobânda platita anual în
cazul amortizarii prin serii egale.

Fig. 10. Dobânda platita anual în cazul amortizarii prin
anuitati constante.

Fig. 11. Dobânda platita anual în cazul amortizarii în
faza unica.

CONCLUZII
Asigurarea la timp a resurselor pentru acoperirea financiara a investitiilor este o conditie esentiala pentru functionarea eficienta a întreprinderilor, mai ales daca acestea îsi desfasoara activitatea într-un mediu concurential acerb. Investitiile presupun o imobilizare însemnata de capital, ceea ce impune necesitatea procurarii sau asigurarii acestora astfel încât sa se evite aparitia unor investitii începute si neterminate din lipsa de resurse.
Obligatiunile sunt adesea preferate de investitori în defavoarea la celelalte valori mobiliare deoarece confera o serie de avantaje detinatorilor lor:
A. Sub aspectul efectelor generate:
Din punctul de vedere al societatii emitente, împrumutul obligatar nu afecteaza structura actionariatului si nici nu confera detinatorului lor nici un drept în luarea deciziilor.
Din punctul de vedere al obligatarilor (posesorilor de obligatiuni), obligatiunile asigura dobânzi constante, platite de catre emitent pe toata durata de viata a obligatiunii, indiferent de situatia sa financiara, spre deosebire de dividendele asigurate de actiuni, care depind direct proportional de câstigurile emitentului.
B. Sub aspectul regimului fiscal:
Din punctul de vedere al obligatarilor: în Ordonanta Guvernului nr. 73/27 august 1999 privind impozitele pe venituri, în articolul 36 se mentioneaza ca veniturile sub forma de dividende distribuite se impoziteaza cu o cota de 5% din suma acestora. De asemenea, se precizeaza ca veniturile sub forma de dobânzi ("venituri obtinute din titluri de creanta de orice natura si orice fel de sume cuvenite pentru folosirea banilor împrumutati", aici incluzându-se deci si veniturile din dobânzile aferente obligatiunilor societatilor comerciale) se impun cu o cota de 1%.
Din punctul de vedere al societatii emitente, obligatiunile sunt mai avantajoase decât actiunile în ceea ce priveste incidenta fiscala a acestora, în sensul ca dobânzile platite micsoreaza baza impozabila, ceea ce nu se întâmpla în cazul dividendelor.
C. Sub aspectul riscurilor asumate de împrumutatorii obligatari:
Posesorii de obligatiuni sunt supusi unui grad de risc mai redus decât posesorii de actiuni. Veniturile acestora din urma pot fi influentate de evolutia nefavorabila a afacerilor emitentilor, ducând la reducerea sau chiar neplata dividendelor, în timp ce obligatiunile asigura un venit fix sub forma de dobânzi.
În cazul lichidarii firmei emitente exista riscul pierderii fondurilor investite. Obligatarii nu sunt însa afectati în aceeasi masura ca asociatii, având dreptul la rambursarea împrumutului la valoarea nominala. Actionarii primesc doar diferenta ramasa dupa plata tuturor creantelor care îndeplinesc conditiile prevazute de lege pentru a fi onorate.
D. Sub aspectul garantiilor oferite:
Obligatiunile sunt uneori garantate fie de catre stat sau colectivitati publice, fie de catre emitent (prin ipoteci asupra imobilelor, gajuri asupra fondului de comert, garantii formate de alte societati în favoarea celei emitente etc.)
Din exemplul prezentat în subcapitolul 2.15. rezulta ca finantarea prin obligatiuni genereaza surse pentru reinvestire superioare finantarii prin fonduri proprii pe calea emisiunii de actiuni. Acest lucru poate fi vizualizat în figura nr.12.
Fig. 12. Compararea beneficiilor disponibile pentru reinvestire
Posibilitatea asigurarii surselor de finantare de catre S.C. "CONFSTAR" S.A. prin recurgerea la un împrumut obligatar este o noutate atât pentru firma cât si pe plan local.
Valoarea actuala neta a investitiei propuse este pozitiva (VAN = 3.976 > 0), rezulta ca proiectul investitional propus este eficient. De asemenea si din punct de vedere al ratei interne de rentabilitate (RIR = 28,24%) investitia se poate realiza si va avea o eficienta mai mare decât dobânda creditului obligatar (RIR >
Metodele de amortizare analizate presupun o anumita valoare a dobânzii si a primei de rambursare aferente fiecareia. Prima de rambursare este aceeasi indiferent de metoda de amortizare aleasa, doar dobânzile totale difera de la o metoda la alta. O comparatie a dobânzilor totale în functie de metoda de amortizare a creditului obligatar este prezentata în tabelul nr.13. si în figura nr.13.
Tabel nr.13.
Situatie comparativa a dobânzilor totale
- mii lei -
|
Metoda de amortizare |
Amortizarea în serii egale |
Amortizarea prin anuitati constante |
Amortizarea în faza unica |
|
Dobânda totala |
Fig. 13. Situatie comparativa a dobânzilor totale

Din cele prezentate mai sus rezulta ca dobânzile totale (costul) cele mai ridicate ale împrumutului obligatar se obtin atunci când se utilizeaza metoda de amortizare în faza unica. Aceasta se datoreaza faptului ca dobânda se calculeaza de fiecare data la suma totala a capitalului împrumutat. În momentul rambursarii, exista un inconvenient, acela de a afecta trezoreria cu întreaga suma împrumutata ce trebuie rambursata dintr-o data. Trebuie retinut însa ca întreprinderea poate capitalizeaza de 5 ori (în cei 5 ani) acumularea bruta anuala realizata din exploatarea investitiei, ceea ce este de natura sa reduca din dezavantajul costului ridicat.
Amortizarile prin serii egale si prin anuitati constante implica valori ale dobânzilor totale mai mici decât amortizarea în faza unica deoarece societatea va plati in fiecare an dobânzi proportional mai mici în functie de împrumutul ramas nerambursat.
Costul cel mai mic al procurarii împrumutului obligatar se obtine în cazul amortizarii acestuia prin serii egale. Iar luând în considerare evolutia economica stabila a S.C. "CONFSTAR" S.A. se propune amortizarea creditului obligatar prin serii egale.
BIBLIOGRAFIE
Bran, P. - Finantele întreprinderii. Gestionarea fenomenului microfinanciar. Editura Economica, Bucuresti, 1997.
Brezeanu, P. - Gestiunea financiara a întreprinderii. Editura Covallioti, Bucuresti, 2002.
Corduneanu, C., Barna, F. - Piete financiare: Caiet de studii si evaluare. Editura Mirton, Timisoara, 2001.
Cristea, H., stefanescu, N. - Finantele întreprinderii. Editura CECCAR, Bucuresti, 2003.
Cucosel, C. - Finantele întreprinderii. Editura Risoprint, Cluj-Napoca, 2004.
Hada, T. - Finantele agentilor economici din România. Editura Intelcredo, Deva, 1999.
Ilie, V. - Gestiunea financiara a întreprinderii. Editura Meteora Press, Bucuresti, 2002.
Nistor, I. - Finantele întreprinderii. Editura Presa Universitara Clujeana, Cluj-Napoca, 2002.
Robinson, S. - Management financiar. Editura Teora, Bucuresti, 1997.
Românu, I., Vasilescu, I. - Managementul investitiilor. Editura Margaritar, Bucuresti, 1997.
Stancu, I. - Finante , editia a treia. Editura Economica, Bucuresti, 2003.
Toma, M., Alexandru, F. - Finante si gestiune financiara de întreprindere, editia a doua. Editura Economica, Bucuresti, 2003.
Toma, M., Alexandru, F. - Gestiune financiara de întreprindere. Aplicatii practice si teste grila. Editura Economica, Bucuresti, 2003.
XXX - www.finantare.ro
|