Capitolul 1.
Prezentarea supermarketului BILLA
1.1. Scurt istoric al Lantului EuroBILLA
În decembrie 1953 pianistul de numai 36 de ani Karl Wlaschek deschidea in Viena primul magazin de produse cosmetice in regim discount.
Astfel, intr-un spatiu de vanzare de numai 40 mp, clientilor li se oferea posibilitatea de a achizitiona produse de marca la preturi extrem de avantajoase.
Aceasta
politica de preturi s-a impus in scurt timp, succesul avut ducand la
deschiderea si altor filiale în Viena. In 1960 numarul magazinelor ajunsese
deja la 45, strategia de discount fiind ulterior aplicata si in sectorul
alimentar. In 1961 firma primea numele BILLA, însemnand în limba germana
"magazin ieftin" (Billiger Laden), strategia clara a preturilor
avantajoase ducand la pozitia de cel mai de succes lant de
supermagazine în Austria de astazi. De aceea, expansiunea a continuat intr-un
ritm accelerat. Astazi firma face parte din concernul german REWE, numarând
in Austria aproximativ 1000 de magazine, iar Eurobilla este prezenta
in diverse tari precum Italia, Cehia, Slovacia, Romania, Croatia,
Ucraina, Bulgaria si Rusia
In România, EUROBILLA este
reprezentata de lantul de supermagazine BILLA, lider al pietei
românesti en detail de produse alimentare si de larg consum Din februarie 1999, când a
avut loc deschiderea primului supermagazin în Bucuresti, BILLA s-a
straduit in permanenta sa satisfaca cele mai exigente
c 727f59h erinte ale clientilor sai. Prin utilizarea unei tehnologii moderne si a
unei organizari riguroase, BILLA reuseste sa atinga un volum mare de
vanzari, sa isi asigure in permanenta o buna cota de
piata si sa se dezvolte permanent.
În anul , Rewe a adus în tara si lantul Selgros Cash&Carry, prin deschiderea primului magazin la Brasov, unde se afla si sediul administratiei centrale, iar din a fost extinsa si reteaua de discount Penny Market.
REWE România opereaza în prezent 33 de supermarketuri Billa, 51 de magazine de discount Penny Market, 6 magazine de discount Penny Market XXL si 17 magazine cash & carry Selgros. În anul 2007 vânzarile din România au fost de peste 1 miliard de euro fiind al doilea jucator pe piata româneasca de retail dupa Metro România.
1.2. Elemente de caracterizare a supermarket-ului BILLA
Din februarie 1999, cand a avut loc deschiderea primului supermagazin în Bucuresti, BILLA s-a straduit in permanenta sa satisfaca cele mai exigente cerinte ale clientilor sai.
BILLA are ca principal obiect de activitate comertul cu produse alimentare si ca obiectiv secundar productia de produse “CLEVER”.
BILLA se doreste a fi simbolul cumparaturilor de calitate la preturi convenabile, iar ca obiectiv principal are scaderea preturilor pentru a facilita achizitionarea de produse într-o gama larga. BILLA are în vedere satisfacerea tuturor gusturilor prin produse de calitate, preturi avantajoase, marci binecunoscute si marca proprie si bineînteles prin promotii atractive.
O oferta bogata la cele mai avantajoase preturi Billa reprezinta simbolul cumparaturilor de buna calitate la cel mai avantajos pret, obiectivul central al firmei fiind acela de a scadea in permanenta preturile, astfel incat procurarea alimentelor si bunurilor de larg consum sa nu mai constituie o problema pentru consumatorul român. Politica BILLA este aceea de a satisface toate gusturile, printr-o gama variata de produse la preturi fara concurenta. Printr-o organizare eficienta a muncii, precum si datorita marii cantitati de produse achizitionate, BILLA este in masura sa ofere clientilor sai o mare diversitate de articole de marca, produse proaspete si toate articolele din necesarul zilnic.
Prospetime Unul din avantajele cu care BILLA intelege sa vina in intampinarea dorintelor clientilor sai este prospetimea articolelor. In fiecare filiala BILLA exista raioane specializate menite a satisface toate preferintele si exigentele de calitate ale clientilor nostri. Astfel, in carmangeriile specializate, carnea proaspata, atent selectionata de la furnizori, este transata la fata locului si ambalata in conditii de maxima igiena. La raionul Delicatese, clientii vor gasi un sortiment bogat de mezeluri, salate, brânzeturi, mancaruri gata preparate sau delicioase specialitati de panificatie. Nu in ultimul rand, raionul de Legume&Fructe va intampina in fiecare filiala cu produse atat de provenienta autohtona cât si de import, atributul comun fiind calitate la cele mai bune preturi.
Calitate Billa ofera atat articole ale unor marci
binecunoscute, cât si articole marca proprie, la fel de bine cotate din punct
de vedere calitativ ca si cele ale unor marci renumite.
Servicii Gama larga de servicii puse la dispozitia clientilor face din BILLA locul unde cumparaturile zilnice pot deveni o adevarata placere, de la carucioare pentru copii, pâna la facilitatile oferite clientilor pentru plata produselor achizitionate.
In prezent reteaua de supermagazine BILLA numara 33 filiale in intreaga tara. Fiecare supermagazin are o suprafata de vanzare intre 1000 si 2400 mp, intre 100 si 200 locuri de parcare, peste 10.000 de produse si ofera locuitorilor din Bucuresti, Ploiesti, Arad, Timisoara, Cluj, Deva, Constanta, Galati, Craiova, Iasi, Braila, Sf. Gheorghe, Satu Mare, Bacau, Râmnicu Valcea, Baia Mare, Medias, Giurgiu, Reghin, Sibiu, Slatina, Tulcea si Suceava, posibilitatea de a-si face cumparaturile zilnice intr-un supermagazin civilizat de talie europeana, la preturi foarte avantajoase.
Capitolul 2.
Auditul de marketing al supermarket-ului BILLA
Piata bunurilor de larg consum din România este evaluata pentru 2008 la 29 miliarde de euro. Aceasta piata a suferit numeroase modificari structurale si de volum in ultimii 3 ani, schimbari de clasamente si implicari ale statului pentru pentru protectia mediului si a sanatatii. Anul acesta s-a caracterizat si printr-o crestere a competitiei, prin intrarea de noi jucatori pe piata, prin expansiunea marilor retaileri (magazinele de tip discount fiindcel mai dinamic sector al pietei).
Numarul total de magazine din retailul modern era de 396 unitati, în iulie 2008, conform unui studiu al companiei Nielsen. Numarul de hipermarketuri din tara a ajuns la 38 de unitati din care Carrefour detine 15 unitati, Cora trei unitati, Real 15 unitati, iar Auchan cinci unitati. Tot la aceasta data, numarul de supermarketuri era de 123 magazine, cele mai extinse retele fiind Billa cu 30 unitati si Mega Image cu 24 unitati. Pe formatul de discount, numarul de magazine s-a situat la 195 magazine, cele mai multe unitati fiind operate de retelele Penny Market si Plus Discount. Pe segmentul de cash&carry au ramas tot cei doi jucatori Metro si Selgros cu un total de 40 de magazine.
Tendinte. Potrivit unei analize recente realizata de Planet Retail, anul acesta liderul pietei românesti de retail va fi Metro Group cu vânzari estimate la 2,68 miliarde euro si o cota de 8%, urmat de grupul Rewe cu vânzari de 1,84 miliarde euro si o cota de piata de 6,5% si de Carrefour cu vânzari de 1,44 miliarde euro si o cota de 4,3%.
Segmentul de discount va avea in continuare cea mai accelerata crestere datorita preturilor foarte mici de la raft. Ba mai mult, vom asista la o migrare a fluxului de cumparatori dinspre hipermarket catre magazinele de discount.
Criza economica nu va duce la scaderea numarului de clienti in 2009, ci eventual la temperarea cresterii acestuia, concomitent insa cu majorarea cosului mediu de consum (bonul mediu de la casa), ca urmare a reducerii frecventei de cumparaturi
Piata româneasca de retail este "uriasa", motiv pentru care va avea mereu o atractivitate crescuta pentru retailerii internationali. Cel mai concludent exemplu este grupul Schwarz care si-ar putea aduce în viitorul apropiat si divizia de discount Lidl, desi este prezent deja pe piata prin lantul de magazine Kaufland.
Intrarea de noi jucatori pe piata se va face mai degraba prin achizitii sau fuziuni decât prin crestere organica si se va întâmpla pe termen mediu si lung. Totusi, expansiunea rapida a retailerilor deja exitenti va duce în câtiva ani la consolidarea pietei.
Billa România a inregistrat în
2007 o crestere a vânzarilor de
32% fata de 2006, ajungand la circa 400 mil. Euro (fata de 321 mil
euro în 2006). Pentru anul 2008, BILLA estimeaza o cifra de afaceri
de aproximativ 472 mil.euro, înregistrând o usoara scadere pe
fondul expansiunii retelelor de tip discount.

Profitul net raportat de companie la
Ministerul de Finante pe 2007 a fost de 35,1 mil.lei (10,5 mil. euro), la o
cifra de afaceri de circa un miliard de lei (322 mil. euro).

In plan teritorial, Billa a ajuns in 2008 la
un ritm de expansiune de zece magazine noi pe an, fata de una-doua unitati in
primii ani de activitate. Compania a deschis anul trecut opt magazine, in urma
unor investitii de 60 milioane de euro, existând în prezent pe piata
româneasca 34 de supermarket-uri Billa.

Billa are o cota de piata de
aproximativ 9% în totalul vânzarilor de larg consum din România [3].
Pentru aplicarea matricii BCG în stabilirea strategiei, supermarketul
Billa analizeaza produsele cele mai reprezentative pe care le
comercializeaza, rata de crestere si pozitia relativa
pe piata a acestora. Aceasta va depinde atât de pozitia
obiectiva ce rezulta din analiza portofoliului de afaceri, cât
si de viziunea manageriala, înclinatia spre risc a managerilor
sau alti factori subiectivi. Produsele marci proprii, ce
reprezinta obiectul studiului sunt reprezentate în cadranul matricii, în
functie de cele doua caracteristici.
Produsele Clever (marca privata Billa), Frieslander Foods, Dero se încadreaza în categoria stelelor cu un segment de piata important, fiind oportunitati pentru investitii. Necesita însa un transfer important de resurse financiare pentru sustinerea pozitiei competitionale si vor genera venituri nete când rata de crestere se va diminua si nu va mai fi necesara reinvestitia. Strategia recomandata acestor produse este cea de crestere materializata în investitii în capacitati de productie. Pentru produsele din categoria vaci de muls, Carmangeria Billa, Brutaria Billa se recomanda strategii neutrale, prin care se dreneaza surplusul de resurse financiare si se îmbunatateste productivitatea.
|
Stele
|
|
||||||||||||||||||||||||
|
|
|
||||||||||||||||||||||||
Pozitia relativa pe piata
Clever (produse alimentare - nealimentare) Burger (bauturi)
Frieslander Foods(alimentare) Scandia (alimentare)
Dero (menaj) Chef Menu(alimentare)
Carmangeria Billa Bellinda (textile)
■ Brutaria Billa Daewoo (electrocasnice)
Tratarea semnelor de întrebare, a produselor Chef Menu, Daewoo, Belinda este mai dificila pentru ca, fiind produse în lansare, unele sunt sortite sa devina stele, iar altele sunt sortite esecului. Câinii, conservele Scandia si berea Burger, reprezinta produse în declin ce impun strategii de restrângere, însa acestea pot fi profitabile pentru firma într-un mediu de piata stabil si predictibil.
Pozitionarea în cadrul pietei a supermarketului Billa

Conform poligonului competitivitatii, supermarketul Billa detine o pozitie excelenta (locul doi) în acdrul pietei având în vedere variabile considerate ca fiind avantaje competive ale supermarketului precum preturi, calitate, ambient, proximitate, varietate. Firma concurent principal Carrefour detine pozitia de lider pe piata de retail, dat fiind faptul ca hypermarketul s-a lansat într-o actiune de amploare pe plan investitional, de natura sa conduca la schimbarea, si mai mult în favoarea sa, a ierarhiei concurentiale. Firma cu pozitia a treia, Real beneficiaza de o buna pozitionare pe piata, înregistreaza performante mai modeste, realizeaza un slab program investitional si, drept urmare, sunt create premisele pentru o semnificativa “pierdere de viteza” din partea acesteia în câmpul concurential. (Analiza a fost realizata prin acordarea unui punctaj fiecarui operator de retail în functie de variabila avuta în vedere. S-a acordat nota 1 celei mai bune caracteristice, 2 celei aflate pe locul secund,..., 5 celei mai slabe caracteristici).
Capitolul 3.
MIXUL DE MARKETING AL SUPERMARKETULUI BILLA
3.1. Politica de produs
Elementul de produs in supermarketul Billa este unul foarte complex,
pentru ca Billa nu se bazeaza numai pe produsul propriu-zis, ci si pe
serviciile aferente vânzarii acestuia. Pe de alta parte, produsul oferit trebuie
analizat atât din pesrpectiva ofertei de bunuri necesare satisfacerii nevoii de
consum sau cumparare, cît si din perspectiva imaginii, ambientului,
etc. De fapt, tendinta pe acesta piata este de a oferi cat mai
multe avantaje consumatorilor, acestea implicând desigur servicii înainte de
si în timpul vânzarii (ambient, consultanta, încredere), cât
si servicii postvânzare menite sa satisfaca intr-o masura cat mai
mare asteptarile clientilor si sa intareasca increderea acestora in
ceea ce inseamna brandul Billa.
3.1.1. Oferta de produse si servicii
Din acest punct de vedere, Billa dispune de o gama de produse-servicii foarte inovatoare si foarte atragatoare pentru clienti, cât si o serie de programe, ce stau la baza dezvoltarii retelei retail. In oferta magazinelor BILLA România intra peste 5000 de produse.
Gama
de produse este cat se poate de variata si diversificata, pentru a acoperi
cerintele unei plaje cat mai extinse de consumatori: produse alimentare,
produse decorative, confectii si
textile (imbracaminte, incaltaminte, genti, lenjerii,etc), papetarie si birotica, uz casnic
(vesela, tacâmuri, etc.), produse pentru menaj, pentru igiena, produse
electronice si electrocasnice, produse
pentru autoturisme, articole de parfumerie, produse pentru animalele,
bautri alcoolice si nonalcoolice, s.a.
Pentru a se diferentia de concurenta si a-si spori competitivitatea, Billa a introdus pe piata din Romania si cateva marci proprii:
CLEVER
– „
Sortimentul cuprinde peste 300 de articole din cele mai variate categorii: alimente de baza, conserve, mezeluri, bauturi, articole de igiena si cosmetice, articole de menaj si multe altele.
Produsele marca Clever detin aproximativ 20% din totalul vanzarilor in magazinele Billa.
Chef Menu a ramas, pentru Billa, un brand dezvoltat doar la raionul de
delicatese si produse proaspete.

Printre sortimentele proprii pe care Billa le pune la dispozitia clientilor sai se numara si:
Carmangeria Billa - Diversele sortimente de carne sunt amabalate in pachete de dimensiuni variate, fiecare client având posibilitatea de a gasi exact pachetul cu greutatea dorita.
Brutaria Billa - La BILLA painea si multe
alte specialitati de panificatie va asteapta calde la orice
ora din zi, pentru ca fiecare supermagazin BILLA este dotat cu un cuptor
propriu.
Delicatese Epress- La raionul Delicatese din BILLA clientii pot descperi o bogata sotimentatie de mezeluri, brânzeturi, salate, dar si mancaruri gata preparate in regim de servire asistata.
In concluzie, politica de produs la Billa este una bazata pe oferirea de produse de calitate. Putem vorbi de un mix in cadrul politicii de produs, explicabil prin faptul ca pe piata de retail nu se ofera numai si numai produsul, ci o solutie integrata. Serviciul cel mai important de care se bucura clientii Billa este posibilitatea cumpararii “in rate” cu cardul Estima Bonus a absolut oricarui produs, fapt ce reprezinta pentru consumatorii cu venituri reduse un avantaj extraordinar. Disponibil tuturor celor ce au vechime mai mare de trei luni la actualul loc de munca, noul card Estima Bonus se poate obtine depunând o cerere la birourile Estima din magazinele Billa. Plata cumparaturilor poate fi esalonata în 60 de rate, iar pentru platile facute prin card clientii vor primi bonusuri substantiale.
Sistemul de servicii. Printre serviciile unice pe care Billa le ofera consumatorilor sai se afla Billa Client Fidel, un card care transforma cumparaturile în puncte pe care clientul le poate schimba pentru produsele din catalogul Billa Client Fidel.
Alte servicii oferite de Billa clientilor sai:
Schimbarea produsului
Daca clientul nu este multumit de calitatea unui
articol achizitionat, prezentand bonul de cumparare va primi imediat un alt
articol la schimb sau contravaloarea
produsului.
Garantie 24 luni Pentru toate produsele electrocasnice achizitionate in Billa, clientii beneficiaza de 24 luni garantie.
Bancomat In toate magazinele BILLA exista un bancomat cu ajutorul caruia problema banilor cash va disparea.

Urna de sugestii si reclamatii
Parerea clientilor este importanta pentru Billa, de aceea in fiecare magazin este amplasata o urna in care clientii sunt invitati sa depuna propunerile lor.
Carucioare pentru copii Cumparaturile la BILLA pot fi si pentru copii o bucurie. In timp ce micutul conduce caruciorul prin magazin, dumneavoastra puteti alege in liniste.
Plata electronica La
fiecare casa clientii au posibilitatea de a achita contravaloarea cumparaturilor
cu ajutorul cardului electronic.
Bonuri valorice BILLA Contra
sumei de 50 lei sau 100 lei clientii pot achizitiona oricând bonuri
valorice BILLA sau tichete de masa.
Pe www.billa.ro clientii si vizitatorii sitului pot descoperi o oaza de divertisment prin jocuri, glume, horoscop, s.a.
3.1.2. Analiza ambientului supermarketului BILLA
Ambientul supermarketului Billa va fi analizat având în vedere patru aspecte fundamentale: exteriorul, interiorul, amplasarea si afisajul.
Design-ul exterior - trebuie sa aiba un
impact puternic asupra imaginii Billa
Fatadele magazinelor Billa sunt singulare de la locatie la locatie, zona la zona, având o arhitectura impozanta, moderna, atractiva.
Sigla Billa este usor de retinut, majusculele de culoare galbena pe fond rosu reusesc sa acapareze atentia oricarui individ.De altfel, sigla corespunde cu imaginea pe care comerciantul doreste sa o comunice clientilor sai.
Design-ul
interior Incepând
cu partea constructiva, pardoseala este
din gresie de dimensiuni mari pentru ca in astfel de spatii este strict
necesara, aplicata intr-un mod profesional este cea mai buna alegere. Culoare
este deschisa pentru ca astfel creeaza impresia de spatiu si confera un design
placut supermarket-ului.
Culorile luminoase, intense contribuie la crearea unei imagini clare asupra produselor si intregului spatiu.
Personalul este în general, politicos, pregatit si informat tocmai pentru a crea o imagine pozitiva în mintea consumatorilor
În supermagazinele Billa primeaza curatenia, impecabilitate, deoarece oricât de impresionant ar arata interiorul si exteriorul, un magazin neîntretinut va fi perceput ca necorespunzator.
Amplasament-ul
rafturilor in magazin, vitrinelor frigorifice, caselor de marcat Suprafata
libera este mare fiind
obligatorie, zonele vizate sunt usor accesibile, de exemplu culoarele dintre rafturi sunt mari permitand astfel
circulatia clientilor cu carucioarele pentru cumparaturi, multor clienti simultan cu sau sau fara carucioare.
Aleele principale cum sunt cele de la intarea in supermarket sunt iarasi
special gandite pentru un flux continuu al clientilor , spatiile de acces sunt
mari si de o usoara accesibilitate pentru ca acesta este si principiul, intr-un
supermarket este inadmisibil ca spatiul sa fie mic, evitand astfel imbulzeala
si neplacerea de a sta la cozi interminabile avand in vedere numarul mare al
clientilor.
Depozitul este amplasat in aceeasi cladire, undeva in spatele ultimelor randuri de rafturi astfel fiind usor accesibil de catre angajatii care in permanenta expun marfa pe rafturile supermarket-ului. Este spatiul special amenajat pt depozitarea marfurilor destinate spre vanzare, ( bax-uri, marfuri importate care necesita etichetare in limba romana, si marfuri amplasate pe paleti si rafturi speciale).
Atat sectorul alimentar cat si cel nealimentar au o structura clara, bine definita ce permite trafic fluid si vizibilitate, dar si confort pentru efectuarea rapida a cumparaturilor adresate intregii familii. Accentul este pus pe calitatea produselor proaspete, legume, verdeturi si fructe, produse de patiserie, cofetarie si brutarie din productie proprie, carne si preparate din care, mezeluri branzeturi etc intr-o gama deosebit de variata adresata tuturor gusturilor.
Sectoarele sunt foarte bine concepute si ca in orice supermarket, fluxul este orientat strategic, incepand cu ofertele promotionale si apoi cele de interes alimentar si nealimentar.
În concluzie, politica de produs la Billa este foarte „client focused”, fapt ce a si asigurat succesul de care se bucura acum compania.
3.2. Politica de Pret a supermarketului Billa
Pentru Billa, pretul reprezinta unul dintre principalele avantaje competitionale, fiind si motorul ce a generat cresterea spectaculoasa a companiei in ultimii 3 ani. De altfel, insusi unul dintre sloganele companiei „Billa, Cel mai bun pentru tine” te duce cu gandul la politica de pret practicata, care are la baza gasirea de solutii pentru a oferi consumatorilor aceleasi produse sau unele mai performante decat concurenta, la preturi cat mai mici si in conditii de achizitionare cat mai convenabile pentru clienti. Politica de pret este strans legata de politica de produs.
Putem vorbi de o mobilitate destul de ridicata a preturilor, motivata prin multiplele promotii si oferte pe acre Billa le ofera. Per total, Billa adopta strategia preturilor scazute. Billa foloseste, de asemenea ceea ce in literatura de specialitate se numeste preturi psihologice (de tipul 9,99 lei ) pentru a influenta consumatorii la alegerea produselor. În acelasi timp, Billa apeleaza la mai multe categorii de preturi menite sa fie atractive pentru fiecare client.
PRET DE PROMOTIE
Oferte senzationale în fiecare saptamana pentru produse proaspete si alte articole de marca! Preturi incredibil de mici si cea mai buna calitate numai in promotia Billa!

PRET MINIMAL Cumpara istet: Preturile minimale Billa
Peste 100 articole de calitate
O oferta larga de produse la cele mai mici preturi
CLEVER
Exclusiv la Billa: Cumpara istet la cel mai bun
pret!
BILLA PLUS Primesti mai mult, platesti mai putin!
Ai garantia unor oferte senzationale la un pret avantajos. Cumperi pentru
întreaga familie si economisesti!
3.3. Politica de Distributie a Supermarketului Billa
Billa este cea mai mare retea de supermarket-uri, cu 34 de magazine in mai mult de 25 de orase din intreaga tara
Billa are o retea de distributie extraordinar de bine dezvoltata, s-a extins in toata tara, iar la momentul actual detine în unele orase 2-3 pâna la 6 magazine. Billa a avut si va avea o foarte buna „distributie” dat fiind faptul ca pietele vizate sunt orasele cu mai putin de 100.000 de locuitori (neignorând însa în unele cazuri nici marile orase) spre deosebire de retaileri precum Carrefour sau Real care au încercat sa patrunda doar în orasele foarte mari. În cele mai multe orase, Billa a avut rolul de pionerat, fiind primul retailer care introducea magazine de mari dimensiuni.

Magazinele Billa au fost plasate in locuri strategice, urmarindu-se asigurarea unui flux cat mai mare de clienti din toate segmentele vizate de companie. Supermarket-urile au fost amplasate numai in mediul urban, insa se pare ca exista potential de dezvoltare si in zonele rurale, intrucat pe masura ce ne departam de centrele urbane cu atat mai mult consumatorii stiu sa aprecieze faptul ca au in proximitatea lor un loc de unde sa isi cumpere „snacks-uri sau bauturi cand ies din casa”. Billa va lua in considerare posibilitatea extinderii si pe plan rural, urmarind piata respectiva si tendintele acesteia.
Deoarece se afla pe un trend ascendent, Billa va continua dezvoltarea la nivel national si va incerca si pietele rurale. Lantul de supermarketuri Billa va ajunge la cel putin 50 unitati la finele anului 2010, moment in care va incepe si expansiunea, speram, în mediul rural. În prezent, Billa are in proiect deschiderea a cate 10 unitati in fiecare an, fiind vizate orasele cu o populatie de mai putin de 200.000 de locuitori.

3.4. Politica de promovare a supermarketului Billa
Identitatea de brand a Billa a capatat in ultimii ani valoare prin eforturile accentuate pe linia promovarii si a orientarii spre client.
Culorile rosu cu galben au inceput sa sugereze consumatorilor brandul Billa, iar sloganurile alese persista in mintea clientilor: „Billa, Cel mai bun pentru tine!” si „Billa, zilnic!”
Privind din alta perspectiva, Billa sta prost la capitolul promovare prin publicitate TV, radio, elemente care ar putea genera o recunoastere si constientizare mult mai facila în rândul publicului.
Pe linia fidelizarii Billa a actionat introducand cardul de fidelitate „Billa Client Fidel”. Cardul este valabil pentru orice tip de achizitie si este oferit pe loc in magazin, in momentul in care clientul completeaza un formular de înscriere. De fiecare data când face cumparaturi din reteaua magazinelor Billa clientul prezinta cardul si acumuleaza puncte de loialitate pe care le poate schimba într-unul din ofertele catalogului Billa. De asemenea, posesorii acesztor carduri pot beneficia de preturi speciale, evidentiate cu etichete albastre. În cadrul programului se organizeaza promotii, concursuri si tombole speciale doar pentru titularii de card.
"Puncte Billa valoroase pentru mese sanatoase!", o campanie promotionala de fidelizare a consumatorilor. Campania s-a desfasurat în perioada 30 octombrie 2008 – 31 ianuarie 2009 in toate magazinele retelei si a avut urmatorul mecanism: cumparaturile din magazinele Billa se transforma in puncte bonus. Pentru fiecare 10 RON din valoarea bonului de casa, consumatorul a primit un punct bonus. Odata ce se acumuleaza mai multe puncte se poate achizitiona un articol din gama de vase Simax, participante la promotie, cu o reducere substantiala. Promotia a fost sustinuta de o campanie de comunicare pe radio, presa, internet, pe site-ul www.billa.ro si la punctele de vanzare ale Billa Romania SRL prin materiale promotionale specifice.
La Billa
promovarea vânzarilor este „la
zi”, lunar existând promotii la
peste 100 de produse. Spre exemplu, in
decembrie 2008 Billa a aplicat reduceri
de pret de pâna la 30%.
De asemenea, posesorii cardurilor Billa Client Fidel pot beneficia de preturi speciale, evidentiate cu etichete albastre.
Vânzarile grupate de tipul „Primesti mai mult, platesti mai putin” reprezinta puntul de atractie al supermarketului Billa, acesta cuprinzând în oferta sa o gama foarte variata de articole la care clientul fie primeste un produs „bonus”, „cadou” sau „gratis”, fie poate achizitiona pentru diverse pachete promotionale de genul „aragaz + hota cu o reducere de 20%”.
În ceea ce priveste publicitatea, Billa apeleaza îndeosebi la posturi de radio si presa specifice zonei în care activeaza. Totodata, Billa apeleaza si la publicitatea pe site-uri web prin intermediul banere-lor animate care vor fi inserate pe pagini cu un numar ridicat de accesari, dar si la publicitatea outdoor care ofera o mai buna vizibilitate si recunoastere marcii Billa, utilizand ca si suport promotionale banerele stradale.
Relatiile cu mass-media se concretizeaza
in comunicate de presa, conferinte de presa la inaugurarea unui nou
supermarket, interviuri. O actiune de aceasta natura a avut loc
în 200
5 când Billa România a primit „Distinctia de Excelenta
în Afaceri” în cadrul Galei Excelentei în Afaceri, eveniment organizat de
Camera de Comert si Industrie a României. Distinctia
de Excelenta se acorda firmelor care s-au pozitionat in ultimii 3 ani pe locul
I in Topul National al firmelor.
În ceea ce priveste forta de vânzare, la Billa personalul aflat in contact direct cu clientul este pregatit din mai multe puncte de vedere de catre companie pentru a asigura o buna relatie cu clientii. Se fac traininguri de specialitate si se educa personalul in chestiuni ce tin de comportament si de persuadare a clientului.
Capitolul 4.
Elaborarea planului de afaceri
4.1. Stabilirea obiectivelor strategice
BILLA are o conceptie de marketing bazata pe comert, considerând ca potentialii clienti doresc produse de calitate si cele mai bune preturi, dorind pe termen lung, fidelizarea clientelei, extinderea în marile orase ale tarii si acapararea unei cote de piata cât mai mari.
Pornind de la conceptia de marketing se pleaca de la piata, iar concentrarile vor fi nevoile consumatorilor, mijlocul fiind întreaga activitate de marketing, scopul fiind maximizarea profitului si în acelasi timp, satisfacerea consumatorilor.
Deci, obiectivul fundamental îl reprezinta satisfacerea clientilor, atât prin produsele puse in vânzare, cât si prin serviciile oferite de angajati.
Obiective pe termen lung. Axându-se pe strategia de dezvoltare, se doreste fidelizarea clientilor, atât datorita calitatii produselor si serviciilor, cât si prin programe promotionale.
Billa îsi va concentra atentia asupra unei publicitati permanente, în conditiile în care economia româneasca se afla într-o stare de incertitudine.
Obiectivele pe termen scurt (1-3 ani) se concretizeaza în:
extinderea retelei de
supermarketuri si în orasele mici astfel încît sa se atinga
pragul minim de 50 magazine Billa în 2010
penetrarea pietei;
dezvoltarea notorietatii
marcii;
cresterea cotei de
piata la 25%;
cresterea profitului cu 30%
anual;
satisfacerea cât mai înalta a
clientilor;
4.2. Alternative strategice ale dezvoltarii supermarketului Billa
Din pozitia sa de lider pe segmentul supermarket, Billa poate adopta urmatoarele strategii:
În functie de dinamica pietei, se vizeaza adoptarea unei strategii de crestere, Billa facând publice înca de la sfârsitul anului 2007 intentiile sale de extindere la nivel national, prin construirea de noi unitati în toate orasele mari din tara.
Însa pe fondul intensificarii concurentei pe segmentul supermarketurilor, a expansiunii discounterilor si ca urmare a succesului înregistrat de acestia prin penetrarea pietelor mici, strategia Billa ar trebui sa aiba în vedere patrundrea si acapararea acestor piete care i-ar aduce un câstig garantat.
Noile deschideri presupun constructia de magazine prin investitii greenfield, cumpararea de spatii in cladiri deja construite, inchirierea de spatii comerciale, precum si deschiderea de magazine in cadrul unor centre comerciale, astfel ca flexibilitatea in ceea ce priveste spatiile de vanzare sa fie una foarte mare. In aceste conditii, spatiile de vanzare ale viitoarelor unitati Billa ar putea fi mai mici, adaptate in functie de amplasamentul magazinului.
Nu este exclusa nici extinderea prin achizitia unor magazine locale. De altfel, Billa nu s-ar afla la primul exercitiu de acest gen, având în vedere achizitia în 2006 a doua magazine Hofer din Baia Mare. Totodata, sunt facute publice intentiile operatorului de a achizitiona reteaua de magazine din Bucuresti Mega Image apartinând grupului Delhaize, urmarind astfel adoptarea unei strategii de proximitate
În privinta exigentelor, Billa foloseste strategia exigentelor ridicate, asigurand pentru clienti nu numai produse de buna calitate, ci si servicii aferente acestora cat mai performante. Preocuparea pentru atingerea unor standarde de satisfacere superioara a consumatorului a stat la baza cresterii organizatiei. Supermarketul Billa îsi propune sa devina magazinul preferat pentru cumparaturile zilnice sau saptamanale, unde clientii vor gasi produse de calitate la preturi mici, precum si o gama mult mai larga decat in magazinele de proximitate. Însa satisfacerea clientilor trebuie sa vizeze si o atitudine orientata catre client prin instruirea personalului pentru a avea un comportament care sa satisfaca si cele mai exigente cerinte ale consumatorilor. De asemenea, ambianta magazinului - utilizarea în decorarea magazinului a unor culori cât mai potivite, muzica sa fie cât mai placuta, iar ergonomia spatiului cât mai adecvata – joaca un rol în satisfactia clientilor.
Pe fondul intensificarii competitiei pe anumite piete, prin deschiderea unor magazine precum Carrefour, Cora sau Auchan vânzarile Billa ar putea fi afectate, având în vedere existenta unor locatii Billa mai vechi cum ar fi cele din Cluj, Craiova, Sibiu. În aceste conditii se impun realizarea unor investitii pentru reamenajrea si modernizarea acestor locatii, cunoscându-se rolul major pe care îl joaca ambientul în atragerea clientilor, si prin urmare în cresterea vânzarilor.
Magazinele vor fi reamenajate in spritul conceptelor arhitecturale noi, vor beneficia de echipamente, instalatii si finisaje moderne. In acelasi timp, noul format de magazin are la baza un plan de mercantizare adaptat clientului modern si pune accent pe complementaritate mai buna a categoriilor adiacente si pe directionarea controlata a fluxurilor de clienti in interiorul magazinului.
În functie de schimbarile pietei, Billa va adopta strategia activa, ofensiva prin toate mijloacele care o pot diferentia de competitie pe piata: prezenta insistenta atât în plan fizic, cât si pe plan mediatic, vizând tot ceea ce inseamna oferte promotionale, reduceri de pret, servicii oferite, etc. Previzionarea schimbarilor pietei si actionarea in consecinta reprezinta singura modalitate care poate asigura succesul pe piata. Anticiparea momentelor dificile si a celor favorabile este primordiala pentru luarea deciziilor.
Billa si-a dezvoltat si propria marca de produse, Clever, una dintre cele mai cunoscute trei marci proprii de pe piata locala (potrivit unui studiu al AC Nielsen din 2006), in conditiile in care aproape toate lanturile mari de retail au mers pe aceasta strategie, fiecare detinând în portofoliul de produse cel putin 2 marci private pentru a se diferentia de restul jucatorilor. Acest tip de folosire al produsului si de etichetare a lui sub marca proprie, îi permite firmei sa practice preturi mai mici, la produse cu o calitate la fel de buna cu a produselor înregistrate sub marci proprii ale diferitelor firme producatoare. Tocmai acest tip de produse, de marci proprii reprezinta punctul spre care se va axa firma în viitor. Din aceasta perspectiva ideal ar fi ca Billa sa îsi dezvolte si un brand propriu omonim – BILLA - pentru care se va impune colaboarea cu producatori români si care spre deosebire de Clever care este o marca de tip „prim pret”, sa fie clasificata pe segmentul mediu.
Lansarea unei agentii de turism în cadrul Billa, cunoscut fiind faptul ca Grupul Rewe are mai multe divizii printre care si o divizie de turism Rewe Touristik, cel de-al doilea segment economic al grupului. Rewe Turistik activeaza deja pe piata din România prin intermediul agentiei de turism Dertour, una dintre cele mai mari agentii de turism touroperatoare din tara, si al doilea touroperator european dupa TUI. În prezent, Deltour activeaza doar în Bucuresti, însa supermarketurile Billa trebuie vazute ca o oportunitate de a profita de fluxul de turisti din magazine având în vedere strategiile Billa de a se extinde si în orasele mici.
Înfiintarea unei centrale de achizitii comune pentru Billa, Penny Market si Selgros care sa aiba în vedere stabilirea coordonatelor de negociere cu furnizorii comuni ale celor 3 divizii Rewe privind conditiile comerciale si nu numai.
Înfiintarea unor „depozite de fructe si legume Billa”, un „concept nou” pentru retailerii internationali, care sa se adreseze atât magazinelor proprii cât si marilor lanturi deja existente pe piata din România. Aceste depozite se doresc a fi cele mai mari din România, respectiv de aproximativ 5000mp si cu o capacitate de 2000 tone iar functionalitatea depozitului va fi data de echipamente si tehnologii de ultima ora în domeniul stocarii, ambalarii si livrarii de fructe si legume, în conditii optime astfel încât sa acopere tot necesarul din tara.
Înfiintarea unui Billa Shopping Center în orasele unde intrarea supermarketului pe piata nu ar fi profitabila (cum este cazul orasului Brasov). Billa Shopping Center va cuprinde un supermarket de 8000mp, dar si o galerie comerciala de 2000mp. Noua locatie va aduce ceva în plus fata de celelalte supermarketuri din retea. Este vorba de produsele gastronomice proprii, însa accentul va cadea pe partea de servicii, în principal solutii de petrecere a timpului liber (coffe bar, bowling, biliard, s.a.), dar si salaone de înfrumusetare, unitati bancare, s.a desfasurate pe o suprafata de 2000mp.
Intrarea retailerului Billa si pe segmentul hypermarket urmarindu-se astfel oferirea unor servicii integrate dincolo de oferta de produse, respectiv unitati farmaceutice, bancare si de asigurari, spatii supravegheate de joaca pentru copii, fast food precum si birouri de relatii cu clientii.
Pe linia promovarii se impune lansarea unei campanii publicitare care sa vizeze cu precadere reclame tv, dat fiind faptul ca un procentaj foarte mare al populatiei nu stie de existenta supermarketurilor Billa pe piata din România, datorita promovarii acestora exclusiv în zonele în care activeaza, absenteismul din campaniile sociale, din actiuni caritabile sau sponsorizari la nivel national.
Promov fy local
În continuare voi incerca elaborarea dataliata a uneia dintre variantele strategice propuse mai sus.
4.3. Elaborarea ideii de afacere.
Inaugurarea unui Billa Shopping Center în Brasov
Un centru comercial este o cladire sau un grup de cladiri, împreuna cu caile de acces si spatiile de parcare aferente, în care îsi desfasoara activitatea mai multe unitati de desfacere ce comercializeaza o gama larga de produse si servicii. Un termen sinonim folosit frecvent în ultimii ani este shopping mall sau, prescurtat, mall.
Tipul de magazine incluse intr-un mall este dat de conceptul mall-ului. Dezvoltatorul alege chiriasii in functie de locatie, piata tinta si concept. Intr-un mall bine gandit de la inceput, magazinele ar trebui sa functioneze. Esecurile au loc din cauza conceptelor gresite (nepliate pe locatie si piata tinta) si a politicii comerciale a magazinelor neadaptate cererii consumatorilor. Cu toate acestea, interesul investitorilor, atat locali cat si straini, s-a manifestat si pana in prezent.
Potentialul comercial al Brasovului a fost pana acum testat doar de cateva dezvoltari mici si medii. Orasul are un singur centru comercial care atinge .000 mp suprafata inchiriabila. Totusi, Brasovul este deschis initiativelor si asteapta sa ofere locuitorilor sai noi alternative pentru shopping, motiv pentru care consider oportuna pozitionarea unui centru comercial Billa pe aceasta piata.
Produsul oferit de catre Billa Shopping Center. Centrul comercial va fi construit în zona Noua, pe o suprafata de 30.000 de mp. Investitia va fi finalizata la începutul anului viitor. Noua unitate este cea mai mare din reteaua Billa, iar planurile arhitecturale o vor face si cea mai spectaculoasa din Brasov. Constructia în sine va inspira ideea de lux accesibil, comuna tuturor magazinelor Billa.
Billa Shopping Center va însemna calitate, valoare, surpriza, noutate, muzica si distractie, cuprinzand o zona dedicata evenimentelor, organizarii de expozitii sau alte actiuni socio-culturale.
Billa Shopping Center pe lânga supermarketul cu acelasi nume, va oferi vizitatorilor sai o gama larga de magazine specializate pentru toate gusturile: imbracaminte, incaltaminte, electronice, suveniruri, florariei, s.a.
Ca o completare la toate alternativele de shopping si de petrecere a timpului liber propuse de Billa, vizitatorii complexului comercial vor beneficia de servicii specializate, cum ar fi: agentii de turism, servicii financiar-bancare, gsm, servicii farmaceutice, de consultanta, imobiliare, curatatorie, coafor, catering si multe altele.
Zona dedicata restaurantelor si centrelor de distractie si relaxare va satisface toate gusturile amatorilor de arta culinara, amuzament si rasfat. Astfel, vizitatorii viitorului centru comercial se pot bucura de fast food-uri cu meniuri dintre cele mai variate, restaurante clasice, cafenele sic, centre de spa si de înfrumusetare.
Zona de distractie va include, printre alte interesante moduri de petrecere a timpului liber, o sala de bowling, tenis de masa, fitness, aerobic, un casino.
Elementul de noutate va fi dat de un centru de bussines adresat îndeosebi întâlnirilor de afaceri relaxate si centru de joaca pentru copii.
Caracteristici principale:
Subsol – parcare subterana
Parter – Supermarket Billa , cadouri , cosmetice, sticlarie, bijuterii, carti, jucarii, produse si accesorii GSM, produse farmaceutice,banci,oficii de schimb valutar, tutun si bauturi alcoolice, cafenea.
Etajul 1 - Imbracaminte, lenjerie intima, incaltaminte de dama
Etajul 2 - Imbracaminte, lenjerie intima, incaltaminte, articole sport pentru barbati, magazine pentru barbati si copii.
Etajul 3 - Electronice, instalatii sanitare, aparate de aer conditionat, mobila de bucatarie cu produse electrocasnice incorporate, echipament de fitness, mobila si decoratiuni interioare, centru de joaca pentru copii.
Etajul 4 - Zona de distractie, restaurante, casino, spa, business center, s.a.
Conjuncturile pietei privind dezvoltarea noului concept Billa Shopping Center pe piata de retail brasoveana pot fi clasificate astfel:
Oportunitatile pietei
criza mondiala va duce la întarzierea proiectelor anuntate
ale retailerilor in proportie de 20-30%
, fapt ce poate fi privit ca o oportunitate pentru dezvoltarea mall-ului Billa;
consumatorii vor opta pentru branduri
renumite, varietate, concepte noi, oportunitati de divertisment.
retailerii vor fi mai atenti la politica de extindere;
acces direct si rapid la o diversitate de mijloace de transport de
suprafata - autobuze, taxi, alaturi de spatii de parcare limitrofe;
potential de dezvoltare
turistica a zonei Noua (aria aleasa pentru amplasarea viitorului
mall)
profilului
predominanant turistic al orasului Brasov si apropierea de
câteva puncte de atractie turistica, motiv pentru care Billa Shopping
Center va viza un tip de turist- consumator dornic sa descopere noi solutii
pentru shopping si distractie.
apropierea zonei Noua de orasul
Sacele si de alte localitati.
Amenintarile pietei
nivelul chiriilor din zona va scadea
usor si se va stabiliza la circa 20 euro/mp/luna
cresterea ratei somajului;
reducerea veniturilor pe gospodarie;
clientii vor fi mai atenti la ce cumpara,
înasprirea conditiilor de creditare.
Optiunea privind amplasarea Billa Shopping Center în orasul Brasov si implicit alegerea zonei Noua ca si locatie este fundamenmtata si de urmatoarele analize referitoare la:
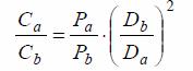
gravitatia
comerciala sau Legea gravitatiei comerciale elaborata de Reilly cu ajutorul careia am determinat gradul de
atractie al ariilor comrerciale avute în vedere - Noua si Bartolomeu
- rerspectiv masura în care acestea reusesc sa atraga
cumparatorii dintr-o anumita zona.

Variantele de pozitionare au fost:
Ca - cartierul Noua – 17.171 locuitori
Cb - cartierul Bartolomeu – 30.085 locuitori
Ct - cartierul Astra – 50.670 locuitori
distanta între Bartolomeu si Astra este de 8 km, iar între Astra si Noua de 4 km.
Astfel 31% dintre cumparaturi sunt atrase de cartierul Bartolomeu, si 69% dintre cumparatorii cartierului Astra sunt atrasi de cartierul Noua.
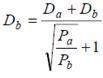
Ariile
de atractie comerciala sau Legea lui Converse
Pentru calculul acestui indicator ma voi raporta la datele considerate în analiza de mai sus.
, rezulta Db 6,8 km si Da (Da+Db) – Db=5,2 km
Adica, aria comerciala a zonei Noua este de 6,8 km, iar aria comerciala a zonei Bartolomeu de 5,2 km.
Concurenta. În prezent, piata centrelor comerciale din Brasov este disputata între 4 jucatori: Eliana Mall, Macromall, Unirea Shopping Center si My Place fiecare fiind amplasat în arii comerciale distincte (exceptie facând ultimele doua mall-uri).
Nu pot fi excluse nici influentele exercitate de catre marii retaileri, micii comercianti, magazinele universale sau de catre ofertantii de servicii alternative de agrement si petrecere a timpului liber, motiv pentru care Billa Shopping Center trebuie sa vina cu un element de noutuate creativ, ingenios, atractiv.
Clientii. Billa Shopping Center se va adresa persoanelor de toate vârstele, inclusive copii, atât femei cât si barbati, familisti sau nefamilisti, cu activitate profesionala diversa, cu venituri medii spre mari. Prin intermediul supermarketului, Billa se va orienta și catre publicul cu venituri mai mici.
Publicul tinta îl constituie publicul român, îndeosebi cei rezidenti în municipiul Brasov, dar sunt vizati si turistii straini dornici de a -și petrece timpul și de a face shopping într-unul din mallurile românești.
Bugetul alocat investitiei
Investitiile vor fi finanțate de catre Rewe Group și se vor ridica la 30 milioane de euro, pentru o suprafața utila de 30.000 mp, din care 7000 mp vor fi ocupați supermarketul Billa iar 15.000 mp vor fi îchiriabili.
Bugetul estimativ esalonat - cheltuieli totale previzionate – 25 milioane euro
Terenul – 5 milioane euro
Cheltuieli acte, carți funciare, plan urbanistic – 25.000 euro
Cheltuieli privind constructii – branșamente – instalații - 8 milioane euro
Cheltuieli amenajare exterioar-interioara, inclusiv parcare - 11 milioane euro
Cheltuieli promovare - 50.0000 euro
Cheltuieli cu remunerarea personalului de întreținere și paza – 50.000 euro
Previzionari. se anticipeaza amortizarea investitiei in termen de 5 ani corespunzator unui flux mediu zilnic de 10.000 de vizitatori, și a unei cifre de afaceri medii anuale de 1,5 miliarde euro constituita din veniturile generate de propriul supermarket Billa și din chiriile și alte taxe percepute comercianților.
Alaturi de chiria propriu-zisa, managementul Billa Shopping Center va percepe și o serie de alte taxe, exprimate la fel ca valoarea chiriei, in euro/mp/luna.
În plus, pentru inchirierea spatiului este necesara si o scrisoare de garantie sau crearea unui depozit bancar. Contractele de chirie sunt vizate de banci, si, in general, se semneaza pe o durata de cel putin cinci ani.
Totodata, se va percepe o taxa unica de 3€/mp, legata de marketingul si promovarea centrului comercial, inainte de lansarea acestuia. Taxa este menita sa acopere cheltuielile legate de publicitate si de evenimentele organizate la deschiderea oficiala.Chiriasii care semneaza contracte dupa ce mall-ul a fost deja lansat, nu mai sunt obligati sa plateasca aceasta taxa. Insa, toti chiriasii (atat cei care s-au mutat inainte de lansare, cat si cei care au venit dupa acest moment), sunt nevoiti sa plateasca o taxa anuala de marketing de 2€/mp/ lunar, pentru promovarea continua a centrului comercial.
Indiferent de momentul inchirierii, toti comerciantii trebuie sa plateasca si o serie de taxe legate de intretinerea spatiilor comune, parcarilor, exteriorului centrului comercial. La acestea se adauga costurile legate de curatenie, electricitate, apa etc.
Etapele inchirierii. Spatiile din centrul comercial se vor inchiria mai intai marilor operatori - principalele magazine de moda etc. la o valoare a chiriei de 25 €/mp/luna, abia dupa ce sunt stabiliti chiriasii principali (“ancorele” - marcile importante care genereaza un trafic mare de clienti), se trece la inchirierea spatiilor ramase la o valoare situata între 17-20 €/ luna.
Pentru a pastra o coerenta, magazinele nu pot sa isi aleaga un spatiu oriunde in centrul comercial. De exemplu, nu poti deschide un magazin cu produse sportive pentru motociclisti in zona unde sunt magazinele pentru nou-nascuti. Retailerii sunt grupati in functie de target-ul vizat, astfel incat, clientii sa gaseasca tot ce au nevoie dintr-o anumita categorie, in aceeasi zona din mall.
|
Spațiile comerciale |
Suprafața închiriata mp |
Chirii €/mp/luna |
Suprafața depozit mp |
Chirie depozit €/mp/luna |
|
Parter | ||||
|
Etaj 1 | ||||
|
Etaj 2 | ||||
|
Etaj 3 | ||||
|
Etaj 4 | ||||
|
TOTAL |
Veniturile lunare din chirii ale centrului comercial pot fi estimate la 2.349.000 euro, rezulta asadar un nivel al veniturilor anuale din chirii de 28.188.000 euro.
Cifra de afaceri a supermarketului Billa Romania s-a situat în 2008 la valoarea de 685 milioane de euro, motiv pentru care putem aprecia un nivel pozitiv al rezultatelor viitorului supermarket.
Elaborarea planului de implementare a strategiei
n vederea lansarii si promovarii Billa shopping Center pe piata, acesta îsi propune derularea unor actiuni mpreuna cu toti factorii care vor fi implicati n elaborarea acestei afaceri.
A. Analiza detaliata a pietii de retail existenta in oras/regiune și Studiul obiceiurilor de achiziție al consumatorilor
B. Identificarea potențialelor locații
C. Identificarea ariei comerciale favorabile
D. Selectarea terenurilor
E. Identificarea, selectarea și negocierea cu compania de construcții Avantgarde
F. Formalitațile de obținere a autorizațiilor de construcție, de mediu, sanatate publica, ș.a.
G. Începerea executarii lucrarilor de construcție
H. Contractarea companiei de design interior Nova
I. Contractarea companiei de advertising Art Design
J. Amenajarea parcarii
K. Negocierea cu potențialii comercianți (chiriasi) și încheierea contractelor cu aceștia
L. Recrutarea fortei de munca prin intermediul agentiei Human Synergetics
M. Inaugurarea Billa Shopping Center
Diagrama Gannt
|
Activitati |
Feb. |
Mar. |
Apr. |
Mai. |
Iun |
Iul. |
Aug. |
Sep. |
Oct. |
Nov. |
Dec. |
Ian. |
Feb. |
|
Analiza detaliata a pietii de retail existenta in oras/regiune | |||||||||||||
|
Studiul obiceiurilor de achiziție al consumatorilor | |||||||||||||
|
Identificarea potențialelor locații (terenuri) și alegerea terenului | |||||||||||||
|
Identificarea ariei comerciale favorabile | |||||||||||||
|
Identificarea,selectarea și negocierea cu compania de construcții | |||||||||||||
|
Începerea executarii lucrarilor de construcție |
| ||||||||||||
|
Formalitațile de obținere a autorizațiilor de construcție, de mediu, sanatate publica, ș.a. | |||||||||||||
|
Începerea lucrarilor de amenajare, design | |||||||||||||
|
Realizarea unei campanii promotionale | |||||||||||||
|
Negocierea cu potențialii chiriași | |||||||||||||
|
Recrutarea forței de munca | |||||||||||||
|
Inaugurarea Billa Shopping Center |
Evaluare si control
Monitorizarea si evaluarea activitatii constituie o etapa necesara pentru orice firma, avantajul principal al sistemului de evaluare si control fiind acela ca managementul Billa va sti din timp daca lucrurile nu merg bine si va putea ntreprinde actiuni corective imediate. Controlul trebuie efectuat chiar din momentul elaborarii ideii de afacere.
Cu alte cuvinte, se urmareste sau se verifica concordanta ntre obiective si misiunea firmei, daca strategiile de piața și de marketing elaborate sunt fezabile si asigura realizarea țintelor propuse. De asemenea, se monitorizeaza si modul de implementare a strategiilor, daca acestea sunt finalizate la termenele stabilite si/sau daca sunt depasite sumele alocate definitivarii fiecarei actiuni.
n cazul n care n urma controlului efectuat apar neconcordante se vor stabili corectiile necesare, acestea put nd viza fie modificarea strategiilor sau a resurselor necesare, fie suplimentarea numarului de persoane responsabile cu realizarea actiunilor sau chiar modificarea obiectivelor de marketing sau a volumului v nzarilor estimate.
Prin evaluarea activitatilor si rezultatelor obtinute se va ncerca sa se afle daca s-au atins obiectivele scontate analiz nd urmatoarele aspecte:
analiza cotei de piata
analiza cifrei de afaceri;
analiza raportului dintre cheltuielile de marketing si v nzari;
analiza profitabilitatii;
analiza eficientei campaniei publicitare;
analiza financiara;
analiza gradului de satisfactie a clientului;
analiza nivelului calitativ al produselor.
Cota de piata va indica daca centrul comercial este performant n competitie cu alte mall-uri similare. Cota de piata, practic, ajuta la orientarea tuturor actiunilor astfel nc t acestea sa devina competitive, eficiente.
Volumul v nzarilor pentru un un produs sau a unui comerciant va indica modul n care evolueaza v nzarile pentru produsul sau magazinul respectiv, care are cea mai mare profitabilitate, cum sunt apreciate produsele de catre clienti, eventualele mbunatatiri reclamate. Analiza vânzarilor va trebui sa fie urmata de masuri concrete n vederea cresterii acestora pe piata, pe fiecare preparat culinar.
n ceea ce priveste analiza raportului dintre cheltuielile de marketing si v nzari, masurarea efectului pe care o campanie de publicitate l produce asupra v nzarilor este o operatiune dificila. Pe l nga publicitate, desfacerile sau ncercarile sunt influentate de numerosi alti factori, cum ar fi : caracteristicile, pretul si disponibiliatea produsului, si modul n care este perceput produsul de catre client. n acest sens se va efectua o comparatie desfacerilor cu cheltuielile publicitare din trecut.
Controlul eficientei actiunilor de marketing are n vedere n ce masura campania publicitara a contribuit la cresterea gradului de cunoastere a centrului comercial Billa „Nature” sau a influentat nivelul de ntelegere, opiniile, preferintele ori intentiile de cumparare ale consumatorilor vizavi de marca respectiva. Atitudinea consumatorilor fata marca (alimentatia bazata pe produse naturale) este identificata dupa derularea campaniei. Publicitatea de informare permite consumatorilor sa afle mai multe lucruri despre avantajele produsului. Daca reclama este orientata necorespunzator, mesajul sau va fi indezirabil sau neconvingator, iar consumatorii vor manifesta antipatie la adresa restaurantului respectiv. Ei nu se vor simti atrasi n nici un fel de produsul n cauza
Pentru stabilirea gradului de satisfactie a clientului, se va lua în consideratie fidelitatea acestuia fata de restaurantul „Nature”, analiz ndu-se, n acest sens, numarul celor care repeta actul de cumparare a produselor „Nature” raportat la numarul consumatorilor restaurantului ntr-o perioada de timp.
n cazul n care consumatorul este satisfacut de produsul achizitionat, el ar urma sa repete De asemenea se mai impune si o examinare cuprinzatoare, sistematica si periodica a mediului de marketing, a obiectivelor si strategiilor centrului comercial cu scopul de a determina amenintarile si oportunitatile si de planifica un plan de actiune menit sa mbunatateasca performantele restaurantului „Nature”.
Primii 3 retaileri din Romania îsi împart între 10 si 20% din totalul pietei, https://www.dailybusiness.ro/stiri-companii/primii-3-retaileri-din-romania-isi-impart-intre-10-si-20-din-totalul-pietei-16966, 10.09.2008
|