EFECTUL DOPPLER
Efectul Doppler este decalajul dintre frecventa undei emise si a undei receptionate atunci cand emitatorul si receptorul sunt in miscare una fata de cealalta; apare, de asemenea atunci cand unda este reflectata pe un obiect in miscare in raport cu emitatorul sau cu receptorul. Acest efect a fost descris de Christian Doppler in 1842 in articolul Über das farbige Licht der Doppelsterne und einige andere Gestirne des Himmels, confirmat pe sunete de cercetatorii Christoph Hendrik si Diederik Buys Ballot (care au folosit muzicieni ce captau o anumita nota muzicala pe care o indreptau spre un tren de pe linia Utrecht-Amsterdam) Fenomenul a fost studiat si de Hippolyte Fizeau pe unde electromagnetice in 1848. Fenomenul este cunoscut sub numele de efect Doppler.
Astfel se explca de ce inaltimea sunetului unui tren, a sirenei unei ambulante este diferita dupa cum vehicolul se apropie de receptor ( sunetul este mai acut ) sau se indeparteaza ( sunetul devine grav). Acest efet este utilizat pentru a masura viteza cu cinemometru si radarele si desigur pentru examenele medicale (mai ales ecografice in obstetrica si in cardiologie). La fel se explica fenomenul de decalaj spre rosu (red shift) in astronomie.
Explicatia empirica
O persoana este la marginea unei ape, pe marginea unui rau. La picioarele lui ajung valuri din 10 in 10 sec. Persoana merge in rau cu directia spre larg: ea va intalni valurile, acestea atinndu-l cu o frecventa mai mare (de exemplu la fiecare 8 secunde, apoi la fiecare 5 secunde). Persoana se intoarce cu directia spre mal; valurile il vor atinge cu o frecventa mai mica, de exemplu la fiecare 12 apoi 14 secunde.
Este de subliniat ca frecventa valurilor nu depinde de miscarea persoanei in raport cu apa (ea este independenta de prezenta sau nu a unui curent), ci de miscarea persoanei in raport cu emitatorul de valuri (un anume loc din larg sau curentul care se opune vantului).
In mod analog, ne putem imagina o sursa mobila de valuri , de exemplu un suflator de aer a carui jet de aer genereaza valuri cu o frecventa regulata. Daca suflatorul se deplaseaza intr-o directie , atunci valurile sunt mai frecvente spre inaintea miscarii si mai rare spre spatele miscarii; pe un lac inchis, valurile vor lovi barca cu frecvente diferite.
Explicatia fizica
Sa presupunem ca emitatorul si receptorul se deplaseaza pe o dreapta munie d'un référentiel galiléen. Sunt 3 referentiale de luat in consideratie:
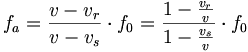
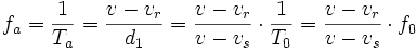
Daca ƒ0 este frecventa undei in referentialul sursei, atunci receptorul va receptiona o unda de frecventa ƒa (frecventa aparenta)

Intradevar, presupunand ca surca emite bipuri la o frecventa ƒ0 si ca miscarea relativa intre emitator si receptor se fasse selon la droite les joignant. Daca se emite un al 2-le bip , primul bip a parcurs deja o distanta
d0 = v·T0
in referentialul (1), cu T0 = 1/ƒ0. Sursa este in deplasare de vs·T0 in timpul T0, distanta ce separa cele 2 bipuri este
d1 = (v - vs)·T0.
Calculam timpul Ta separand receptia celor 2 bipuri de catre receptor. Acesta va receptiona primul bip. In timpul Ta, acesta a parcurs distanta vr·Ta in momentul in care s-a receptionat al 2-lea bip. Acest al 2-lea bip va parcurge distanta
d2 = d1 + vr·Ta = v·Ta,
care va da deci:
![]()
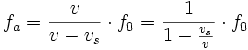
Daca numai sursa este mobila in raport cu referentialul (vr
= 0), vom avea :

iar daca numai receptorul este mobil in raport cu referentialul (vs = 0), vom avea :
![]()
Se observa ca cele doua situatii nu sunt simetrice : astfel daca receptorul « fuit » emitatorul cu o viteza superioara lui v, el nu va receptiona niciodata unda, pe cand daca emitatorul fuit un receptor imobil, acesta din urma va recepta intotdeauna o unda. Nu se poate inversa rolul emetatorului si a receptorului. In acest caz clasic , este o disimetrie in decalajul frecvential numai daca emitatorul sau receptorul sunt in miscare ( frecventele se percep diferit in termeni de ordin secundar pentru aceeasi frecventa de emisie) . Aceasta dissimetrie este datorata prezentei mediului in care se propaga undele, ea este justificata pentru undele sonore. Pentru undele electromagnetice, propagarea putandu-se face in vide, aceasta dissimetrie este nefondata. Efectul Doppler Fizeau nu este decat un efect de schimbare a referentialului, trebuie luat in considerare in acest caz emetatorul si receptorul la viteza -v/2 si v/2, ceea ce da acelasi decalaj frecvential cu emitatorul sau receptorul in miscare, viteza radiala relativa da scimbarea frecventei. Simetria este restabilita in teoria relativatii Galileana.
In concluzie, trebuie sa se faca distinctia intre propagarea undelor sonore de cele electromagnetice, aceasta prin prezenta midiului sau a vidului in care se face propagarea.
Daca emitatorul si receptorul sunt imobile intr-un referential iar unde se reflecta pe un obiect in miscare, atunci totul se petrece ca si cand receptorul ar fi in locul obiectului in miscare.
De notat, de asemenea ca in caul undelor electromagnetice, viteza undei este c care depinde de natura mediului (si, de asemenea, de indicele sau de refractie), dar nu de referential
In relativite, nu exista mai mult de doua referentiale, cele ale a doi observatori in referentiale diferite, care observa propagarea unei unde electro-magnetice. Primul observa o unde de pulsatie ω, al doilea observa aceeasi unda cu o pulsatie ω', viteza relativa a celor doi observatori este v. Trebuie corelate ω' la ω si v. In fine trebuie compate relativitatea restreinte cu relativitatea galileana, noi putand presupune ca unde este emisa de primul observator si receptionata de cel de-al doilea.
Fie un fascicol luminos emis in referentialul
R caracterizat printr-o pulsatie ω si un vector de unda
.
Acest fascicol se propaga in directia data de vectorul de
unda si
.
In referentialul R',
in translatia rectilinie uniforma in raport cu primul
referential in directia x, cu
viteza v, acelasi fascicol este caracterizat de o pulsatie ω' si de un vector de unde
.
Acest fascicol se propaga in directia data de un vector de unde si
.
Se stie ca:

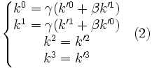
Transformarile lui Lorentz intre patru vectori (k0,k1,k2,k3) referentialului R si un patru vector (k'0,k'1,k'2,k'3) al referentialui R' sunt :

cu
et
0.
Luand o unde care se propaga in planul Oxy (sau O'x'y'), cei doi quadrivectori sunt aici :
et 
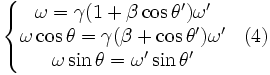
Transformarile lui Lorentz trebuie sa tina cont de (1) (2) (3) :

Vom obtine relatiile transformand unghiurile :

Relatia inversata transformand cos da :
.
Aceste relatii intervin in fenomenul de aberatie a luminii (unghiul
de propagare a luminii nu este aceeasi in doua referentiale).
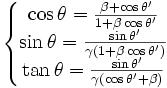
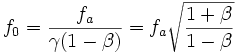
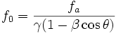
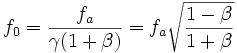
Vom obtine, inserand in (4) si divizand cur 2π, frecventeles :
![]()
unde f0 este frecventa in referentialul R iar fa frecventa in referentialul R'.
sau
.
Aceasta formula a lui fa
este usor diferita de formula data de efectul Doppler-Fizeau
galilean, care da
, dar identic cu ordinul secundar din β.
Se observa ca cele 2 referentiale joaca roluri simetrice,
in relativitatea galileana pentru undele electromagnetice, si invers
in cazul undelor sonore de exemplu.
sau
In 1958, dopplerul continuu (care este un cristal emitator si receptor in continuu de ultrasunete) permite studiul circulatiei sanguine in vase (Rushmer). Primul doppler pulsatil (emisie discontinua de ultrasuneze si fereastra de ascultare temporala fixata care permite analizarea vitezei sangelui la o profunzime definita) a fost introdusa de Baker in 1970.
Efetul doppler este utilizat de vibrometrul laser pentru a masura vibratiile in mecanica. Este utilizat, de asemenea pentru anemometrele laser (LDV) pentru masurarea vitezelor de miscare a fluidelor.
Effetul doppler permite politistilor din trafic sa determine viteza unui ipotetic contrevenient. Pentru aceasta, ei utilizeaza un radar a carui frecventa este cunoscuta iar masurarea frecventei echo da viteza contrevenientului. Tehnologia moderna permite astazi prezenta de radare automatice.
La ce serveste ?
Dopplerul studiaza debitul sangelui in artere si vene dand astfel informatii despre conditiile de curgere si de buna irigatie a organelor. Asociat cu ecografia, ne da informatii si despre forma vaselor. Acest examen poate fi utilizat pe vasele membrelor, gatului, abdomenului, etc. Studiaza perturbatiile fluxului sanguin in obstacole sau spasme vasculare. Putem vizualiza un tromb intr-o vena, o reducere a calibrului unei artere prin placi de aterom de exemplu.
Ce este dopplerul ?
Dopplerul utilizeaza ultrasunetele si nu razele x. Functioneaza pe aceleasi baze ca ecografia, cu care se asociaza frecvent. Principiul consta in studiul scurgerii sangelui in vase. O sonda in forma de stilou emitatoare de ultra-sunete este aplicata pe regiunea de examinat. Unda dr ultra-sunete se propaga in tesuturi si este retrimisa sub forma unui echou de diferitele organe pe care le intalneste. Acest semnal este analizat si transformat intr-un sunet, o curba sau o culoare reflectand vitezele de circulatie a sangelui. Sistemul doppler este cel mai frecvent integrat in ecograf. Are patru elemente principale :
Exista trei tipuri diferite de doppler :
Cum se desfasoara examinarea ?
Este un examen total nedureros.
Nu necesita o pregatire prealabila
Nu are contraindicatii. Ultrasunetele nu sunt periculoase.
|