Detectoarele de paritate au rolul de a stabili, fie paritatea (adica daca numarul de intrari aflate in starea "1" logic este par), fie imparitatea ( adica daca numarul de intrariaflate in starea "1" logic este impar). In fiecare caz in parte se genereaza un "1" la iesire pentru a indica verificarea proprietatii respective. In cele ce urmeaza vom considera un detector de imparitate de 4 variabile. Tinand cont de faptul ca portile logice SAU-EXCLUSIV 353b11d au la iesirile lor "1" atunci cand exista imparitate la intrari si "0" in cazul paritatii, cu ajutorul lor se pot realiza usor detectoare de paritate. Prelucrarea relatiilor logice rezultate din diagrama de adevar de mai jos conduce la acelasi rezultat.
|
w |
z |
y |
x |
f |
|
w |
z |
y |
x |
F |
|
| ||||
![]()
![]()
![]()
![]()
![]()
![]()
![]()
![]()
![]()
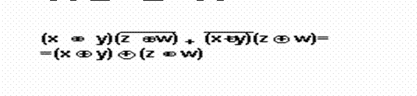
F xy +xy) zw+ (xy +x *.y)zw + (xy + xy )zw +(xy + xy) zw=

xy + xy)(
zw +zw) + (xy +xy) (zw + z w)=
Transformarea unui detector de imparitate inntr-unul de paritate sau invers se
face usor , complementind iesirea. Semnalul de intrare P stabileste tipul de detector:
![]()
P=0 detector de imparitate
![]()
P=1 detector de paritate
|