STUDIUL ECUATIILOR ALGEBRICE CU AJUTORUL METODEI GRAFICE
INTRODUCERE
Puternic ancorata in realitatile contemporane si cu implicatii in toate domeniile, matematica zilelor noastre devine tot mai mult modelul spre care privesc cu incredere si interes celelalte stiinte. Matematica a patruns treptat si din ce in ce mai mult, in sfera conceptului de cultura generala si de cultura de specialitate, lasand putine sectoare lipsite de prezenta ei. In contextul noii reforme curriculare, semnificatia si importanta teoretica si practica a matematicii creste mereu facand din ea unul dintre principalele obiecte de instruire, materia cu necontestate valente formative, predarea ei in scoala devenind obiectul unor cercetari stiintifice de mare anvergura.
Intelegerea esentei matematice este realizabila numai prin infiltrarea profunda in elemente ei componente. O astfel de componenta, cu rol esential in cultura stiintifica a oricarui cercetator al naturii este analiza matematica. Aceasta, pe langa
rolul informational, dezvolta abilitati de calcul, disciplineaza gandirea, canalizeaza intuitia, oferind nenumarate exemple de modelare matematica a unor fenomene fizice, chimice, economice, etc.
Analiza matematica si-a largit permanent obiectul de studiu prin elaborarea de noi concepte si in corelare cu tehnica moderna de calcul, a rezolvat probleme inaccesibile pana nu de mult, influentand nemijlocit drumul spre cunoastere si impresionand prin universalitatea rezultatelor ei. Dezvoltarea ei a fost impusa de nevoile directe ale studiului fenomenelor naturii, avand la baza notiunea de functie, ce poate fi considerata substratul general abstract al oricarei legi din natura. Ea isi are aplicabilitate si in algebra, in studiul ecuatiilor.
Teoria ecuatiilor, ocupa un loc important in matematica si constituie un subiect atractiv pentru matematicienii de toate varstele, prin multitudinea problemelor ce le
abordeaza. Ecuatiile, ca multe alte notiuni matematice, reprezinta modelarea matematica a unor situatii-problema din cotidian. O problema interesanta din sfera ecuatiilor, o constituie studiul numarului si naturii solutiilor unor ecuatii apeland la cunostintele de analiza matematica, mai precis la metoda grafica.
Lucrarea de fata abordeaza problema anterioara pe parcursul a trei mari capitole.
Primul capitol contine cateva referiri la notiunea de ecuatie algebrica, la tipurile
de ecuatii algebrice, la notiunea de functie reala, tipuri de functii reale si anumite proprietati ale acestora, la operatii cu functii reale, la conceptele de continuitate si
de derivabilitate a functiilor reale.
Urmatorul capitol trateaza metoda sirului lui Rolle pentru rezolvarea ecuatiilor, trecand in revista principalele teoreme si consecinte ale lor, cu exemple concrete.
Capitolul final atinge obiectivul lucrarii, prin referiri teoretice la studiul variatiei unei functii reale, la trasarea graficului sau, culminand cu prezentarea metodei grafice in analiza solutiilor unor ecuatii, pe exemple justificative. Acest capitol se incheie prin prezentarea unor consideratii metodice legate de tema si de procesul instructiv educativ in cadrul orelor de matematica, in contextul noului curriculum.
Lucrarea, prin tema si continutul sau, este un ghid verit 737c21h abil in insusirea temeinica a metodei grafice de rezolvare a ecuatiilor.
CAPITOLUL I
NOTIUNI PRELIMINARII
".A-l invata pe altul nu este nimic altceva
decat a determina, intr-un fel, cunoasterea
la un altul."
(Toma d'Aquino, "De magistro")
1. ECUATII ALGEBRICE
1. 1. Notiuni generale
Ecuatia este o egalitate intre doua expresii algebrice care contin variabile. Variabilele unei ecuatii se numesc necunoscute, care iau valori in multimea de definitie a ecuatiei. Cand multimea de definitie, D, nu este precizata, ea se considera multimea R a numerelor reale sau o submultime a lui R pe care expresiile din ecuatie au sens.
Ecuatia cu o necunoscuta este o egalitate de forma:
F(
)
= E(
) sau F(
)
= 0,
unde E(
)
si F(
)
sunt expresii in care apare necunoscuta.
Solutia (sau radacina) unei ecuatii este un numar care, inlocuind necunoscuta, transforma
ecuatia intr-o propozitie adevarata. Deci, spunem ca numarul
este solutie a ecuatiei F(
)
= 0, ![]()
D,
daca ![]()
D
si propozitia F(
)
= 0 este adevarata (adica inlocuind in ecuatie variabila prin
,
obtinem o propozitie adevarata).
Rezolvarea unei ecuatii inseamna gasirea tuturor solutiilor ei.
Multimea
solutiilor ecuatiei F(
)
= 0, ![]()
D
este multimea S a elementelor din D,
care sunt solutii ale ecuatiei.
Ecuatia F(
)
= 0, ![]()
D,
este o ecuatie algebrica de gradul
,
daca F(
)
este un polinom de grad
.
Toate ecuatiile care nu sunt algebrice se numesc transcendente. Rezolvarea lor este mai dificila decat cea a ecuatiilor algebrice. Ele necesita metode de rezolvare care depasesc puterea algebrei "quod algebrae vires transcendent" ca sa citam pe Leonhard Euler.
Pe cand pentru ecuatiile algebrice se pot obtine formule generale ale solutiilor si se pot stabili propozitii in legatura cu numarul lor, acest lucru nu este posibil pentru ecuatiile transcendente.
Ecuatiile sunt echivalente daca au acelasi domeniu de definitie si aceeasi multime de solutii. In caz contrar ecuatiile sunt neechivalente. De fapt, metodele de rezolvare in cele mai multe cazuri constau dintr-un sir de transformari echivalente succesive prin care ecuatia se aduce la o forma din care solutia poate fi citita.
Teoria ecuatiilor are drept scop gasirea diferitelor proprietati ale unei ecuatii,care sa permita calculul exact sau cu aproximatie, al radacinilor ei si sa se traga concluzii asupra radacinilor cand coeficientii au anumite proprietati.
Ecuatiile algebrice pana la gradul 4 inclusiv sunt rezolvabile prin radical (o expresie care este o suprapunere de radacini cu exponenti naturali).
Formulele pentru obtinerea solutiilor ecuatiilor de grad superior sunt complicate, ele apartinand unei categorii mai largi de numere.
Pe langa rezolvarea numerica a ecuatiilor mai exista si metoda grafica.
Aceasta metoda se bazeaza pe corespondenta biunivoca dintre solutii si punctele planului. Reprezentand aceste puncte intr-un sistem de coordonate, se pot obtine solutii aproximative ale ecuatiilor. Sistemul de coordonate care se foloseste este cartezian rectangular. In aplicarea acestei metode, se recomanda ca graficele sa fie trasate cu cat mai mare precizie (pe hartie milimetrica, alegand puncte suplimentare pe grafice).
Apeland la cunostintele de algebra si geometrie analitica a planului putem rezolva grafic ecuatiile liniare, patratice sau cubice, iar cu ajutorul analizei matematice putem studia si alt gen de ecuatii.
1. 2. Tipuri de ecuatii
1. Ecuatia de gradul intai
,
,
![]()
R,
are radacina
daca
.
Daca
si
,
avem o infinitate de radacini;
Daca
si
,
nu avem nici-o radacina.
2. Ecuatia de gradul al doilea
,
,
,
![]()
R,
are radacinile:
,
,
unde
.
Radacinile sunt reale, confundate sau complexe, dupa cum discriminantul Δ este respectiv pozitiv, nul sau negativ.
3. Ecuatia de gradul al treilea
,
,
,
,
R,
Prin inlocuirea lui
cu
,
ecuatia devine:
(1)
Pentru aceasta ecuatie avem formula lui Cardano:
Din punct de vedere al realitatii radacinilor ecuatiei (1), presupusa cu coeficienti reali, avem urmatoarele cazuri:
1º
,
avem o singura radacina reala, caci expresiile de sub radicalii cubici sunt
reale;
2º
,
ecuatia are trei radacini reale, dintre care doua egale intre ele;
3º
,
ecuatia are trei radacini reale, neegale intre ele.
4. Ecuatia de gradul al patrulea
![]()
R
Prin inlocuirea lui
cu
, se
aduce la forma:
Descompunand polinomul din prima parte in produs de trinoame de gradul doi:
gasirea
coeficientilor
se reduce la rezolvarea unei ecuatii de gradul
trei si a uneia de gradul doi.
5. Ecuatii binome
Se intelege prin ecuatie binoma, o ecuatie de forma
unde
si
sunt numere naturale iar
si
constante (in general complexe ).
Eliminand radacinile nule, ecuatia se poate scrie:
deci
asa ca
solutiile ecuatiei sunt cele
valori ale radacinii de ordinul
din numarul complex
. Facand
notatia:
radacinile sunt:
6. Ecuatii trinome
Printr-o ecuatie trinoma intelegem o ecuatie de forma
(
unde
sunt numere intregi nenegative, iar
sunt constante complexe.
Eliminand factorul corespunzator celor
radacini nule, obtinem ecuatia:
In cazurile cand
, sau
,
rezolvarea acestei ecuatii se reduce la rezolvarea unei ecuatii de gradul doi,
respectiv trei, si a unei ecuatii binome.
In cazul cand
si
,
ecuatia se numeste bipatrata
7. Ecuatii reciproce
O ecuatie
algebrica este reciproca, daca admitand radacina
admite si radacina
.
Rezulta ca in ecuatie coeficientii termenilor egal departati de extremi sunt fie egali (speta intai), fie opusi (speta a doua). Astfel, ecuatiile reciproce de gradul trei sunt de tipul:
sau
Orice
ecuatie reciproca de grad impar si de speta intai are radacina −1, iar cele de speta a doua radacina +1. Pentru ecuatiile de grad par 2
se face substitutia:
si se
ajunge la o ecuatie de gradul
in
Problemele care apar frecvent in studiul ecuatiilor algebrice sunt:
1º - calculul radacinilor rationale ale unei ecuatii algebrice cu coeficienti numere intregi;
2º - calculul radacinilor multiple ale unei ecuatii algebrice;
3º
- aflarea numarului de radacini reale ale unei ecuatii
si a intervalelor in care acestea se gasesc;
4º - limitarea radacinilor unei ecuatii algebrice;
5º - separarea radacinilor;
6º - calculul cu aproximatie al radacinilor reale ale unei ecuatii;
7º - calculul exact sau cu aproximatie al radacinilor complexe ale unei ecuatii algebrice cu coeficientii reali.
Problema 3º constituie subiectul acestei lucrari si in mod special al capitolului final.
2. FUNCTII REALE. NOTIUNI GENERALE
1º Definitia functiei
Fie tripletul (
, A, B),
unde A, B
R, A se numeste domeniul de definitie, B se numeste codomeniu, iar
se numeste functia
definita pe multimea A cu valori in multimea B daca in baza unui procedeu facem
sa corespunda fiecarui element din domeniu un element si numai unul din
codomeniu.
Vom nota
: A
→B.
Functia cu valori in R se numeste functie reala
2º Graficul unei functii
Este o submultime a lui R
formata din toate perechile
ordonate
R
astfel incat
A
si
,
adica
= .
Mai spunem ca
este ecuatia graficului functiei
.
3º Egalitate de functii
Doua functii sunt egale
domeniile
de definitie coincid, codomeniile coincid si valorile functiilor coincid pentru
un acelasi argument, adica fiind date
:
A →B si
:
A′→B′, atunci:
![]()
A
= A′, B = B′ si
pentru orice ![]()
A.
4º Operatii algebrice cu functii reale
Fie
:
A →R,
:
B →R, A, B
R
□ Suma (diferenta):
±
:
A ∩ B →R,
;
□ Produsul:
:
A ∩ B →R,
;
□ Catul:
:
A ∩ B R
□
Ridicarea la putere: ![]()
: A ∩ B
→R,
.
Observatie Daca multimile A si B sunt disjuncte, atunci functiile:
,
,
,
nu pot fi definite.
5º Functii monotone
Fie functia reala
:
A →R, A
R
Functia
se numeste:
a) monoton crescatoare pe A, daca
![]()
A,
![]()
![]()
;
a′) strict crescatoare pe A, daca
![]()
A,
![]()
![]()
;
b) monoton descrescatoare pe A, daca
![]()
A,
![]()
![]()
;
b′) strict descrescatoare pe A, daca
![]()
A,
![]()
![]()
;
c) monotona pe A,
daca
este sau monoton crescatoare sau monoton descrescatoare pe A;
c΄) strict monotona pe A, daca
este sau strict crescatoare sau strict descrescatoare pe A.
6º Functii marginite
Fie
:
A →R atunci
a)
este marginita superior daca multimea valorilor ei
(A),
este majorata, adica exista un numar real
,
astfel incat
pentru orice
A;
b)
este marginita
inferior daca multimea
valorilor ei este minorata, adica daca exista un numar real
,
astfel incat
pentru orice
A;
c)
este marginita daca este marginita inferior si
superior, adica daca exista
,
reale, astfel incat
,
A
(sau, echivalent, daca exista
astfel incat
,
pentru orice
A).
Evident, daca A
R, atunci functia
este marginita daca si numai daca graficul lui
este cuprins intre doua paralele la axa O
(aici intre
si
).
Proprietati:
□ Suma (diferenta), produsul a doua functii marginite este o functie marginita;
□ Catul a doua functii marginite nu este intotdeauna o functie marginita, ca de exemplu:
si
,
care sunt functii marginite,
iar
R care este functie nemarginita.
In concluzie, daca
:
A →R este o functie marginita superior (respectiv inferior), atunci
multimea tuturor valorilor sale, adica imaginea sa este marginita superior ( respectiv inferior) si,
deci are marginea superioara notata cu
respectiv marginea inferioara notata cu
.
Daca
este o functie marginita atunci
si daca are loc egalitatea, atunci
este constanta pe A. Daca
nu este marginita superior vom scrie
iar daca
nu este marginita inferior, vom scrie
.
7º Cateva functii elementare importante
In analiza matematica sunt numite functii elementare urmatoarele functii: functiile polinomiale, functiile rationale, functia radical, functia putere, functia exponentiala, functia logaritmica, functiile circulare directe (sin, cos, tg, ctg) si functiile circulare reciproce (arcsin, arccos, arctg, arcctg), precum si functiile obtinute din acestea prin aplicarea succesiva, de un numar finit de ori, a operatiilor algebrice, a operatiei de compunere si a operatiei de inversare.
Daca domeniul de
definitie al unei functii elementare nu este precizat, se subintelege ca el
este format din toate punctele
pentru care au sens operatiile prin care este
definita functia. Acesta este domeniul maxim de definitie al functiei. O functie elementara poate fi insa considerata
definita doar pe o parte a domeniului de definitie.
Vom trece acum in revista unele functii importante, in legatura cu proprietatile de monotonie , marginire si periodicitate.
□ Orice functie polinomiala
este definita pe intreg R si nu este marginita si nici periodica (in cazul cand
).
Monotonia lui
trebuie studiata de la caz la caz.
Daca
,
atunci functia
este monotona pe intreg R, iar graficul lu
este o dreapta.
Functia
:
R R definita prin
,
![]()
![]()
R, nu este monotona pe R si are numai valori pozitive.
Functia
:
R R,
este
strict crescatoare si este nemarginita pe R
□ Orice functie rationala
(
,
fiind polinomiale) are ca domeniu maxim
de definitie D = .
Daca
nu are radacini reale, atunci D = R. Nu se poate afirma in general, nimic despre marginirea sau monotonia
functiilor rationale.
De exemplu, functia
:
R R,
este strict descrescatoare pe
(−∞, 0) si pe (0,
∞) (fig. I.1, a), dar functia
:
R R,
nu este monotona pe R (fig. I.1, b).

Fig. I.1
□ Functia exponentiala si functia logaritmica
R
si
si are numai valori pozitive.
Daca
, ea
este strict crescatoare pe R, bijectiva si nu este marginita, inversa
ei fiind functia logaritmica ![]()
R
care
este de asemenea,
strict crescatoare pe intervalul (0, ∞).
Daca
, ele sunt strict descrescatoare.
In figura I.2, a, b observam
graficele functiilor
si
Fig. I.2
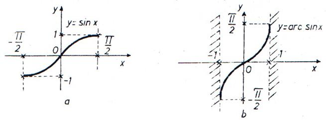
□ Functiile sin si arcsin
Functia sin: R R este marginita si periodica de perioada principala 2π, ea nu este monotona pe R si nu este bijectiva. Restrangand convenabil domeniul de definitie si domeniul de valori, anume considerand functia:
sin:
→ [−1, 1] se obtine o functie
bijectiva strict crescatoare. Inversa
ei:
este, de asemenea, strict crescatoare.
Functia cos: R R nu necesita un studiu aparte, deoarece
cos = sin (
-
R
De asemenea, functia arccos: [−1,
1] → [0,π] nu necesita un studiu special, deoarece
arccos
=
- arcsin
[−1, 1]. Graficele sunt
redate in fig. I.3.

Fig. I.3
□ Functiile tangenta si functia arctangenta
Functia tangenta este definita pe multimea
D = R R
Aceasta functie este periodica, de perioada principala si este nemarginita.
Functia tg: (
,
)
→R este strict crescatoare, bijectiva si nemarginita,
iar inversa ei arctg : R
,
)
este strict crescatoare si marginita. Graficele sunt redate in figura I.4.

Fig. I.4
Functiile ctg, arcctg nu necesita un studiu special deoarece
ctg
= tg (
-![]()
R
Z) si arcctg
=
- arctg
R
8º Cateva tipuri de functii particulare
se numeste functie afina sau
functie polinomiala de gradul I, daca exista
R
astfel incat
□
Fie
: A
→B,
se numeste functie constanta, daca
,
pentru orice
A,
R, iar graficul
sau este o dreapta paralela cu axa O
□
Fie
: A
→B,
se numeste permutarea multimii A,
daca
este bijectiva si A = B;
Functia modul: | |: R
Functiile maxim si minim
max (
max
min (
min
□ Functia signum sau functia semn
sgn: R →
, sgn
□ Functia treapta unitate a lui O. Heaviside
R R
□ Functiile parte intreaga si parte zecimala (sau fractionara)
] : R Z : R
Fie un numar real
,
avand scrierea ca fractie zecimala
cu ![]()
Z
, atunci partea intreaga a numarului real
se defineste:
adica vom considera primul intreg din stanga numarului
, iar partea fractionara se defineste:
adica =
Functii convexe si functii concave
Functia
care verifica inegalitatea
pentru orice
![]()
A se numeste functie convexa. Daca
inegalitatea este contrara, atunci
se numeste functie concava
3. CONTINUITATEA SI DERIVABILITATEA FUNCTIILOR REALE
3. 1. Notiuni despre continuitatea functiilor reale
Ideea de continuitate a unei functii s-a desprins din reprezentarile intuitive asupra proceselor in desfasurarea carora nu apar salturi, ruperi.
Notiunea matematica de continuitate cere o definitie precisa, care sa conduca prin rationamente corecte la degajarea proprietatilor functiilor continue, importante in aplicatii si in dezvoltarile teoretice ulterioare.
Conceptul de functie continua s-a definit relativ tarziu si este datorat in principal lui A. Cauchy, B. Bolzano si G. Darboux.
□ Functii continue intr-un punct; functii continue pe o multime
Fie functia reala
: E
→R, (E
R) si un punct
care apartine lui E.
Functia
se numeste continua in punctul
, daca
pentru orice vecinatate V a punctului
)
exista o vecinatate U a punctului
astfel incat din faptul ca
![]()
U
∩ E sa rezulte
V.
Daca functia
nu este continua in punctul
ea se numeste discontinua in acel punct
.
Daca
este un punct izolat al lui E
(adica exista o vecinatate U a lui
astfel incat U∩ E = ),
atunci conditia anterioara este indeplinita automat si
este continua in punctul
Daca functia
este continua in fiecare punct al
multimii E, atunci ea este continua pe multimea E.
Retinem ca pentru a pune problema continuitatii sau discontinuitatii unei functii intr-un punct este necesar ca functia sa fie definita in acel punct.
Teorema I. 1. ( de caracterizare a continuitatii intr-un punct ).
Fie
: E
→I si
E.
Sunt echivalente urmatoarele afirmatii:
1º.
Functia este continua in punctul
2º.
Pentru orice sir
![]()
E,
,
sirul
este
convergent si are limita
3º.
Pentru orice
exista
depinzand de
astfel incat din faptul ca
![]()
R sa rezulte
Daca
este un punct izolat al multimii E, atunci
afirmatiile teoremei sunt verificate intotdeauna.
Daca
: E
→R este
continua in
si
(respectiv
),
atunci exista o vecinatate U a punctului
astfel incat
(respectiv
Fie
: E
→R si
E
atunci:
Daca in punctul
exista
limita la stanga
si in plus
,
atunci se spune ca
este continua la stanga in punctul
Daca in punctul
exista limita la dreapta
si in plus
,
atunci functia
este continua
la dreapta in
Asadar, daca pentru o functie
: E
→R si pentru un punct ![]()
E,
care este punct
de acumulare pentru E ∩ (-∞ ,
) si
pentru E ∩ (
,
∞), exista
si
atunci
este continua in
daca si numai daca
Daca o functie
: E
→R nu este continua
intr-un punct
E,
desi limitele laterale in
exista si sunt finite, atunci se spune ca
este un punct de discontinuitate de prima speta
pentru functia
;
punctele care nu sunt de prima speta se numesc de speta a doua. Functia monotona
are discontinuitati numai de prima speta
□ Operatii cu functii continue
: E →R, ( E
R) sunt doua functii continue intr-un punct
E, respectiv pe E. Atunci functiile
+
-
sunt continue in
, respectiv pe E; daca
, atunci
este continua in
(respectiv pe
E ).
Prin inductie
completa se arata ca daca
sunt functii continue pe E, atunci suma
si produsul
·
·
sunt de asemenea continue pe E.
Teorema
I. Fie
: E
→F,
: F
→R, ( E,
F
R) doua
functii reale si
=
functia lor compusa. Daca
este continua intr-un punct ![]()
E si
este continua in punctual
=
),
atunci
este continua in punctul
Daca este continua pe E si
continua pe F, atunci
este continua pe E.
Teorema I. 4. Daca
este un punct de acumulare pentru E si daca
exista
![]()
F, iar
este
continua in
,
atunci exista
Deci orice functie continua comuta cu limita.
Teorema
I. 5. Daca
: E→R sunt functii
continue in punctul
E respectiv pe
multimea E), atunci |
|, max (
) si
min (
) au
aceeasi proprietate.
□ Proprietati ale functiilor continue pe un interval
Teorema I. 6. ( teorema lui Weierstrass de marginire ). Orice functie continua pe un interval compact este marginita si isi atinge marginile.
Deci:
adica
,
pentru
unde
si
Proprietatea I. 2. ( proprietatea lui Darboux ). Fie I un
interval. Se spune ca o functie
: I →R are
proprietatea lui Darboux pe intervalul I daca, pentru orice
din I si oricare ar fi numarul
situat intre
si
,
exista cel putin un punct
,
astfel incat
Cu alte cuvinte, odata cu valorile luate
in doua puncte ale intervalului I, functia
ia si toate valorile intermediare,
atunci cand
parcurge intervalul dintre cele doua puncte
(fig. I.5).
Fig. I.5
Lema. Daca
R este
o functie continua si
,
atunci exista cel putin un punct
astfel
incat
Aceasta lema e
necesara in stabilirea zerourilor unei ecuatii. Daca, in plus, functia
este strict crescatoare (sau strict
descrescatoare) pe intervallul [
], atunci solutia
este unica.
Exemplu
Functia
are exact un zerou
situat pe intervalul [1, 2].
Intr-adevar, notand
, se obtine o functie continua si,
in plus,
(2) = 10, deci
si, in plus,
este strict crescatoare pe intervalul
[1, 2].
Corolar. Fie I
R un interval
si
: I
→R o
functie continua pe I. Multimea
J =
(I)
este, de asemenea un interval.
Corolar ( semnul unei functii ) Daca
este o functie continua pe un interval
I si nu se anuleaza pe intervalul I (adica ecuatia
nu are
solutii pe I), atunci functia
are in mod necesar un semn constant pe
I.
□ Continuitatea unor functii monotone
O functie care are proprietatea lui Darboux nu este neaparat continua (de exemplu, functiile derivate au proprietatea lui Darboux dar pot sa nu fie continue). Daca insa, pe langa proprietatea lui Darboux se adauga conditia de monotonie, atunci continuitatea este asigurata. Asadar, pentru functii monotone pe un interval, proprietatea lui Darboux este echivalenta cu proprietatea de continuitate.
Teorema I. 8. Daca
este o functie monotona pe o multime E si daca multimea valorilor
(E)
este un interval, atunci
este continua pe E.
Teorema I. 9. Daca
este o functie strict monotona pe un
interval I, atunci reciproca sa
este continua.
3. 2. Notiuni despre derivabilitatea functiilor reale
Notiunea de derivata este una dintre notiunile fundamentale ale analizei matematice, atribuita deopotriva lui G. Leibniz si lui I. Newton.
Aceasta notiune modeleaza ceea ce s-ar putea numi "viteza de variatie a unei functii", permite adancirea studiului local si global al functiilor si, in acelasi timp, sta la baza formularii matematice a numeroase legi ale fizicii. Descoperirea notiunii de derivata a avut la origine doua probleme, una fizica - modelarea matematica a notiunii intuitive de viteza a unui mobil si alta geometrica - tangenta la o curba plana.
□ Definitia derivatei unei functii intr-un punct
Fie o functie
: E
→R, ( E
R) si
E,
fiind totodata si punct de acumulare
al multimii E. Retinem ca
este definita in
1º Se spune ca functia
are derivata in
punctul
, daca exista limita (in
, notata cu
2º Daca derivata
exista si este finita se spune ca functia
este derivabila in punctul
: E →R, ( E
R) este derivabila in orice punct al unei submultimi F
E, atunci se spune ca
este derivabila
pe multimea F. In acest caz, functia
R
se
numeste derivata
lui
pe multimea F si se noteaza cu
.
Operatia prin care
se obtine din
se numeste derivarea lui
Teorema I. 10. Orice functie derivabila intr-un punct este continua in acel punct.
Definitia I. 3. Fie E
R si
E un
punct de acumulare pentru E∩ (- ∞,
Daca
lim ![]()
exista
(in
),
atunci aceasta limita se
numeste
derivata la
stanga a functiei
in punctul
. Daca
in plus aceasta limita exista si este finita, atunci se spune ca
este derivabila la stanga in
punctul
In mod similar se defineste derivata
la dreapta si notiunea
de functie
derivabila la dreapta in
Teorema I. 11. Daca
: E
→R este
derivabila in punctul
E,
atunci
este derivabila la stanga si la
dreapta in
si
.
Reciproc, daca
este derivabila la stanga si la
dreapta in
si daca
atunci
este derivabila in
si
□ Interpretarea geometrica a derivatei
Daca
R este
o functie derivabila intr-un punct
) atunci
tangenta in
punctul M
) este
dreapta de
ecuatie
unde
Asadar
este coeficientul unghiular al tangentei la graficul
lui
, in punctul (
Daca
= ±∞
(in sensul ca limita anterioara este ±∞), atunci tangenta in (
) este
paralela cu axa O
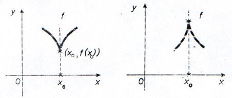
Fara nici-o dificultate, se poate vorbi de semitangenta la dreapta sau la stanga intr-un punct la un grafic, in legatura cu derivatele laterale respective in acel punct. Geometric, pentru o functie derivabila intr-un punct, directiile semitangentelor la dreapta si stanga la grafic in acel punct coincid.
Daca intr-un punct
este continua si avem:
= +∞ si
= −∞ (sau invers), atunci punctul
se numeste punct de intoarcere al graficului
lui
(fig. I.6).
Fig. I.6
Daca o functie
: E →R, ( E
R) este continua intr-un punct
E, daca exista ambele derivate
laterale, cel putin una dintre ele fiind finita, dar functia nu este derivabila
in
, atunci se spune ca
este punct unghiular al graficului lui
Intr-un punct unghiular cele doua
semitangente, la stanga si la dreapta, formeaza un unghi ![]()
(o, ) (fig. I.7.).
Fig. I.7
□ Derivate de ordin superior
Fie
: E →R o functie
derivabila pe multimea E
R In acest caz este definita derivata
: E →R ![]()
![]()
a functiei
Functia
se numeste derivabila de doua ori
intr-un punct
E daca
este derivabila intr-o vecinatate a
lui
si
este
derivabila in
in acest caz,
derivata lui
in punctul
se numeste derivata a doua (sau
de ordinul doi) a lui
in
si se noteaza
Daca
este derivabila pe E, atunci derivata lui
se numeste derivata a doua a lui
si se noteaza cu
In mod similar se definesc
si, prin inductie, se defineste derivata de ordin n
Prin conventie
se defineste derivata de ordin zero
si derivata de ordin unu,
(se scrie uneori
in loc de
si
in loc de
Daca pentru
orice ![]()
N, functia
este de
ori derivabila, atunci se spune ca
este indefinit derivabila
|