UNIVERSITATEA 'ANDREI
SAGUNA'
FACULTATEA DE NAVIGATIE SI TRANSPORT MARITIM SI FLUVIAL
SPECIALIZAREA NAVIGATIE SI TRANSPORT MARITIM SI FLUVIAL
CENTRUL TERITORIAL TULCEA
AN UNIVERSITAR
CURS MECANICA
CAPITOLUL 1 VECTORI
1.1. MARIMI FIZICE
Definitie: marimile fizice sunt proprietati fizice masurabile ale corpurilor.
Marimi fizice se clasifica in doua categorii: scalare si vectoriale.
SCALARII
Definitie: scalarii sunt marimile fizice caracterizate prin:
- modul (marime) (valoare absoluta);
- unitate de masura.
Exemple: m (kg), ρ (kg/m3), V (m3), t (s), S (m2), etc.
Observatie: scalarii sunt acele marimi fizice care NU ne dau libertatea de a le modifica noi
valoarea, deci joaca rolul unor marimi constante la un moment dat sau permanent.
VECTORII
Definitie: vectorii sunt marimile fizice caracterizate prin:

![]()
![]()
![]()

![]()
![]()
fig. 1
Exemple:
(m); Δ
(m);
(m/s);
(m/s2);
(N);
(N s );
(T);
(V/m); etc.
Observatie: vectorii sunt acele marimi fizice care ne dau libertatea de a le modifica noi valoarea, directia si sensul pentru a rezolva o situatie impusa teoretic sau practic.
1.2. OPERATII CU VECTORI
1.2.1. DESCOMPUNEREA UNUI VECTOR AFLAT INTR-UN PLAN

fig. 2
1.2.2. DESCOMPUNEREA UNUI VECTOR AFLAT IN SPATIUL TRIDIMENSIONAL
fig. 3
= a x
+ a y
+ az![]()
(vectori unitate)
,
si
sunt versorii axelor de coordonate Ox, Oy si
respectiv Oz.
a2 = a xz2 + a y2
cu axz2 = ax2 + az2
a =![]()
tg
α =
α = arctg ![]()
1.2.3. ADUNAREA (COMPUNEREA) VECTORILOR
Pentru a aduna doi vectori
si
putem aplica regula paralelogramului.
fig. 4
Pentru a aduna vectorii este mult mai convenabil sa folosim metoda analitica
=
+
(ecuatia
vectoriala)
Urmarind proiectiile vectorilor pe axa Ox obtinem:
=
+
sau r x = a x + b x
Urmarind proiectiile vectorilor pe axa Oy obtinem:
=
+
sau r y
= a y + by
Deci:
= r x
+ r y ![]()
= ( a x +
b x)
+ ( a y + by)
![]()
fig. 5
Demonstratie:
![]()
![]()
unde:
a x = a cos α1
a y = a sin α1
b x = b cos α2
b y = b sin α2
deci:
r 2 = r x2 + r y2
r = ![]()
r = ![]()
![]()
![]()
![]()
![]()
(marimea
vectorului suma
(vectorului
rezultant)).
(α este unghiul dintre cei doi vectori)
Este
cunoscut faptul ca vectorul suma
se poate calcula si
folosind teorema lui Pitagora generalizata.
Orientarea
in spatiu a vectorului suma
este data de:
tg β = ![]()
tg β = 
tg β = 
β = arctg 
Caz particular
α = 00 (vectori coliniari si de acelasi sens)
fig. 6
Vectorii coliniari si de acelasi sens se aduna si se da sensul comun.
Demonstratie
r2 = a2 + b2 + 2 a b cos 00
r2 = a2 + b2 + 2 a b
r2 = (a + b)2
r = a + b (ecuatie scalara)
Concluzie:
![]()
r = a + b
pentru α = 00 avem unicul caz in care adunarea vectoriala coincide cu adunarea scalara.
1.2.4. SCADEREA VECTORILOR
Consideram
doi vectori
si
, dorim sa determinam caracteristicile vectorului diferenta
:
=
+ (
)
![]()
(transformam scaderea in adunare: adunam un vector cu opusul celuilalt vector)
fig. 7
Se observa ca putem aplica direct regula triunghiului
fig. 8
Putem apela si la metoda analitica
(ecuatia vectoriala)
Urmarind proiectiile vectorilor pe axa Ox se observa ca:
sau d x = a
x - b x
Urmarind proiectiile vectorilor pe axa Oy se observa ca:
sau d y = a y - b y (
are sensul in jos)
Demonstratie:
![]()
![]()
unde:
a x = a cos α1
a y = a sin α1
b x = b cos α2
b y = b sin α2
fig. 9
deci:
d2 = d x2 + d y2
d2 = ( a x - b x)2 + ( a y - b y)2
d2 = a x2 - 2 a x b x + bx2 + a y2 - 2 a y b y + b y2
d2 = a2 + b2 - 2 ( a x b x + a y b y)
d2 = a2 + b2 - 2 (a cos α1 b cos α2 + a sin α1b cos α2)
d2 = a2 + b2 - 2 a b cos (α1 - α2)
d = a2 + b2 - 2 a b cos α
(marimea vectorului
diferenta)
unde α = α2 - α1 (α este unghiul dintre cei doi vectori)
Este cunoscut
faptul ca vectorul diferenta
se poate calcula si
folosind teorema lui Pitagora generalizata.
Orientarea
in spatiu a vectorului diferenta
este data de:
tg β = ![]()
tg β = ![]()
tg β = ![]()
β = arctg ![]()
Caz particular:
α = 1800 (vectori coliniari si de sens opus)
fig. 10
Vectorii coliniari si de sens opus se scad si se da sensul celui mai mare.
Demonstratie
d2 = a2 + b2 + 2 a b cos 1800
d2 = a2 + b2 + 2 a b (-1)
d2 = a2 + b2 - 2ab
d2 = (a - b)2
d =
(ecuatie scalara)
Concluzie
![]()
d =
pentru α = 1800 avem unicul caz in care scaderea vectoriala coincide cu scaderea scalara.
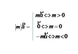
1.2.5. INMULTIREA UNUI VECTOR CU UN SCALAR
Se iau
vectorul
si un scalar m Є
R .
fig. 11
1.2.6. IMPARTIREA UNUI VECTOR LA UN SCALAR
Se iau
vectorul
si un scalar m Є
R
fig. 12
1.2.7. PRODUSUL SCALAR A DOI VECTORI
Consideram
doi vectori
si
:
Definitie:
Analizand definitia matematica se observa ca:
(modulul vectorului
este partea scalara a vectorului
)
(modulul vectorului
este partea scalara a
vectorului
)
cos (- α) = cos α (cos α este unica functie trigonometrica para).
Paritatea functiei trigonometrice cos α este cea care ne conduce la faptul ca rezultatul inmultirii scalare a doi vectori este un scalar.
c este o marime fizica scalara.
Prezenta functiei trigonometrice cos α intr-o ecuatie fizico-matematica ne obliga intotdeauna sa facem o proiectie a unui vector pe directia celuilalt vector.
fig. 13
Exemple:
L =
= F d cos α = F x
d
Efectueaza intotdeauna un lucru mecanic acea proiectie a fortei pe directia dorita de miscare.
Δ E c = L
Δ E p = - L
Lucrul mecanic si energia sunt marimi fizice scalare.
Demonstratie:
Folosim reprezentarea grafica din fig. 9.
![]()
unde:
a x = a cos α1
a y = a sin α1
b x = b cos α2
b y = b sin α2
=
cos 00 = 1
=
cos 00 = 1
=
cos 900 = 0
=
cos 900 = 0
=
=
a x b
x + a y b y =
= a cos α1b cos α2 + a sin α1 b sin α2 = a b (cos α1 cos α2 + sin α1 sinα2) = a b cos (α1- α2) =
= a b cos α
Deci:
![]()
unde α = α2 - α1 (α este unghiul dintre cei doi vectori).
1.2.8. PRODUSUL VECTORIAL A DOI VECTORI
Consideram
doi vectori
si
:
Definitie
Analizand definitia matematica se observa ca:
(modulul vectorului
este partea scalara a
vectorului
)
(modulul vectorului
este partea scalara a
vectorului
)
sin (- α) = - sin α (sin α este o functie trigonometrica impara
Imparitatea functiei trigonometrice sin α este cea care ne conduce la faptul ca rezultatul inmultirii vectoriale a doi vectori este un vector.
Observatie: intalnim in fizica produse vectoriale doar cand intervin miscari de rotatie a unui corp fie in jurul unui punct, fie in jurul unei axe.
Exemple:
este momentul
fortei, marime fizica care ne ajuta sa descriem miscarea
de rotatie cu caracter temporar a
unui corp fie in jurul unui punct (pol), fie in jurul unei axe.
este momentul
cinetic, marime fizica care ne ajuta sa descriem miscarea
de rotatie cu caracter permanent a
unui corp fie in jurul unui punct, fie in jurul unei axe.
(Exemple: miscarea planetelor in jurul Soarelui, miscarea satelitilor naturali in jurul unei planete, miscarea electronilor in jurul nucleului, etc.)
Demonstratie:
Folosim reprezentarea grafica din fig. 9.
![]()
![]()
(versori
coliniari)
(versori
perpendiculari)
![]()
![]()
ax by + ay bx =
= a cosα1 bsinα2 + a sinα1 bcosα2 = a b (cosα1sinα2 + sinα1cosα2) = a b sin (α1-α2) =
= a b sin α.
Deci:
![]()
fig. 14
,
sau
au urmatoarele
caracteristici:
- au originea chiar in punctul de rotatie;
- au directia perpendiculara pe planul de rotatie (directia perpendiculara este impusa de
practica, este directia dupa care obtinem maximum de rotatie cu minimum de efort);
- au marimea egala cu aria paralelogramului format de cei doi vectori
![]()
![]()
![]()
- au sensul dat de regula mainii drepte: luam axa de rotatie in mana dreapta si rotim primul
vector peste al doilea pe drumul cel mai scurt; degetul mare al mainii drepte ne da sensul
vectorului
.
fig. 15
|