latia de calcul este:

sau
![]()
in care:
Mi.r programul de productie anual, pentru intretinerea automobilelor de tipul 'i', in [om - ore],
T i.r timpul mediu anual necesar a se consuma pentru asistenta tehnica a tipului 'i' de automobile, in [ore / 1000 km],
N a numarul de automobile deservite tehnic,
R m rulajul mediu anual al automobilelor in [km],
k - coeficientul de corectie al ponderii automobilelor in tranzit (k = 1,1). Volumul total de prestatii a activitatii de service la automobile se repartizeaza pe structuri, procentual, astfel:
|
n intretinere curenta: |
|
|
n diagnosticare si inspectii tehnice: |
|
|
n lucrari mecanice rapide: |
|
|
n lucrari mecanice mari: |
|
|
n tinichigerie: |
|
|
n vopsitorie: |
|
![]()
n - numarul de tipuri de automobile din dotarea unitatii de deservire tehnica. (n=1, 2, 3,..),
Ai - numarul de automobile de tipul i', in inventarul unitatii de deservire tehnica,
Ke - coeficient de echivalare.
Tipul automobilului (1)
Caracteristica diversificarii
K.,
Au tocamioane
1 - 3 tone
3 - 5 tone
5 - 10 tone
> 10 tone
Au tobasculante
3 - 5 tone
5 - 10 tone
> 10 tone
Au tobuze
< 9,5 m
9,5 - 11 m
> 11 m
Remorci auto
< 5 tone
0,25 727h71h
> 5 tone

Din tablelul 2 se vor adopta urmatoatele valori specifice fiecarei unitati:
d
=000
d
=0.573
d
=3.149
d
=9.048
unde:
d
-unitatea de spalare
d
-unitatea de gresare-ungere
d
-unitatea de inspectii periodice
d
-unitatea de reparatii curente
Volumul de munca pentru fiecare structura de deservire tehnica se determina cu
spalare:

M
=
[ore-om]
gresare ungere:
![]()
M
=
[ore-om]
inspectii tehnice:
![]()
M
=
[ore-om]
reparatii curente:
![]()
M
=
[ore-om]
Volumul total de prestari servicii se calculeaza astfel:
![]()
M
=2730.2+782023+4298.6999+12351.4248=2016527
In relatiile 6, 7, 8, 9, termenii ds, dG, dIT, dRC reprezinta duratele medii la 1000 km echivalenti pentru efectuarea lucrarilor tehnologice: spalare, gresare (schimb ulei), inspectii tehnice si reparatii curente, ale caror valori standardizate in functie de tipul instalatiilor tehnice folosite stint prezentate in tabelul
Tabel Normativ Ministerul Transporturilor
|
Mijlocul de transport |
Manopera pentru intretinere [ore/1000 kin] |
|||||
|
Spalare (ds) |
Gresare - ungere (dGu) |
inspectii tehnice (dn) |
reparatii curente (dRc) |
|||
|
Manuala |
Mecanizata |
Manuala |
Mecanizata |
|||
|
Automobil cu cil. < 2,0l |
|
|
|
|
|
|
|
Automobil cu cil.: |
|
|
|
|
|
|
|
2,0 - 4,0 l |
|
|
|
|
|
|
|
Automobil tot-teren |
|
|
|
|
|
|
|
Microbuz |
|
|
|
|
|
|
|
Autobuz cu L < 11 m: |
|
|
|
|
|
|
|
m.a.s. |
|
|
|
|
|
|
|
m.a.c. |
|
|
|
|
|
|
|
Autobuz cu L> 12 m: |
|
|
|
|
|
|
|
Autocamion < 2 t, exclusiv |
|
|
|
|
|
|
|
Autocamion 2 - 4 t |
|
|
|
|
|
|
|
Autocamion 4,5 - 10 t, m.a.s. |
|
|
|
|
|
|
|
m.a.c. |
|
|
|
|
|
|
|
Autocamion >10 t |
|
|
|
|
|
|
|
Autobasculanta <5texclusiv |
|
|
|
|
|
|
|
Autobasculanta 5 - 12 t, m.a.s. |
|
|
|
|
|
|
|
m.a.c. |
|
|
|
|
|
|
|
Autobasculanta > 2 t |
|
|
|
|
|
|
|
Remorca auto <4texclusiv |
|
|
|
|
|
|
|
Remorca 4 - 6 t |
|
|
|
|
|
|
|
Remorca 6 - 10 t |
|
|
|
|
|
|
Conform normelor tehnice in vigoare, prin post de lucru se intelege suprafata aferenta desfasurarii activitatii de service in bune conditii, incluzand suprafata de gabarit a automobilului proiectata la sol si suprafetele aferente aparatelor si S. D. V. urilor folosite la lucrari.
ns
Pentru determinarea numarului total de posturi de lucru folosim relatia:
![]()
N
=
≈5.25 [buc]
in care:
Tp - fondul anual de timp pentru un post de lucru, care se determina cu relatia:
![]()
T
=[365-(106+12)]
[ore]
Se adopta :
Z
=365
Z
=106
Z
=12
T
=8
unde:
zc - numarul de zile calendaristice (365 zile),
zSL - numarul sarbatorilor legale si zile nelucratoare conform codului muncii (circa 106 zile),
zDT - numarul de zile anual rezervate reviziilor tehnice si intretinerii utilajelor, instalatiilor si a cladirii (10 - 15 zile),
TS - timpul folosit pe un schimb (6 - 8 ore),
΅ randamentul postului de lucru (΅
Pentru calculul numarului de posturi de lucru pentru fiecare structura din activitatea de service auto, se foloseste relatia de calcul 11, in care se introduce volumul de prestari servicii aferente fiecarui tip de structura.
posturi
posturi
|
Aceste posturi vor fi specializate astfel: T N in care: Forta de munca productiv intr-o unitate de service se calculeaza in functie de productia anuala, fondul de timp anual disponibil al unui muncitor, Tm folosindu-se relatia
unde: n 4 electronist electrician auto, n 4 mecanici auto, n 3 spalator, gresor, echilibror roti. S in care: ST - suprafata tehnologica corespunzatoare posturilor de lucru, Np - numarul posturilor de lucru , Latime, 1, [m] |
||
|
I |
< |
< |
|
II |
|
|
|
III |
|
|
|
IV |
|
|
|
V |
> |
>2,8 |
Distanta dintre partile laterale a doua automobile (figura 1):
n pentru categoriile I, II, III: dl = 1,2 m,
n pentru categoria IV: dl = 1,5 m,
n pentru categoria V: dl = 2,5 m.
(dad L sau l nu corespund cu indicatiile din tabelul de mai sus, atunci categoria automobilului va fi adoptata in functie de dimensiunea cea mai mare).
Se
adopta d
=1.2 m

Fig. 1. Distanta dintre partile laterale a doua automobile, d1

Fig. Distanta frontala dintre automobile, d2 = 1 1,2 m

Fig. 3. Distanta dintre automobil si perete sau instalatie fixa, d3 = 1,2 1,5 m

Fig. 4. Distanta dintre automobil si stalp sau coloana de sustinere, d4 = 0,7 0,8 m

Fig. 5. Distanta intre automobil ci partile exterioare ale cladirii, d5 = 1,5 m
Inaltimea incaperilor pentru posturile de deservire tehnica a automobilelor se determina in functie de inaltimea maxima a automobilului si de inaltimea de ridicare a instalatiilor de ridicat sau a rampelor. Inaltimea la nivelul grinzii constructiei trebuie sa fie mai mare de 3,5 m.

sau relatia simplificata:

U=6.67m]
in care:
z spatiu de siguranta intre automobilele stationate pe postul de lucru zid sau cele in miscare.
posturi pentru lucrari mecanice sau electrice, fara elevatoare sau rampe speciale, 18 m2,
posturi pentru lucrari mecanice prevazute cu elevatoare cu doua sau patru coloane, 24 m2,
posturi pentru lucrari de tinichigerie sau vopsitorie, 24 m2,
cabina de vopsit, 35 42 m2, in functie de gabaritul cabinei si de tipul instalatiilor de vopsire uscare,
post de lucru pentru tras, sudat si calibrat caroserii si punte spate, 35 m
Pentru posturile de lucru acoperite privind intretinerea curenta (figura 7):
S
=8+5*(
=240 [m2]
unde:
SA suprafata pentru atelierul anexa, in [m2],
SM1 - suprafata specifica pentru primal muncitor productiv, in [m2],
SMx - suprafata specifica pentru urmatorii muncitori productivi, in [m2],
NmR - numarul de muncitori productivi care lucreaza in atelier,
ns - numarul de schimburi de lucru in atelier.
Valorile SM1 si SMx sunt date in tabelul 6.
Se adopta din tabelul 6 S
=8 [ m
]
S
=5 [m
]
Lacatuserie
Prelucrari mecanice
Arcuri, amortizoare, fierarie
Tamplarie
Tinichigerie
Tapiterie
Atelier electric
Vopsitorie (nu se introduce automobilul)
Carburatoare / injectie
Caroserie (nu se introduce automobilul)
Instalatia de alimentare
Sudura, radiatoare
Reparat agregate
Incarcare baterii acumulatoare
pentru automobile
Vulcanizare
suma suprafetelor de gabarit ale utilajelor si anexelor din
atelierul, in [m2]
Calculul suprafetelor magaziilor (SM) pentru piese de schimb materiale auto se face cu relatia:
![]()
SM=5![]()
Fig. 8. Modele de parcare acces in unitatile de deservire tehnica
Elemente dimensionale
Notatie
Valoarea distantelor
de siguranta, functie de
lungimea automobilului
< 5 m
5 - 8 m
> 8 m
Distanta intre automobile stationate
pe posturi infundate si perete
z
Distanta intre automobile stationate alaturat:
n la intrarea prin mers inapoi,
n la intrarea prin mers inainte
y
Distanta intre automobile stationate unul dupa
altul
y1
Distanta de siguranta a automobilului
x

Fig. 9. Model de parcare si acces intr-o unitate de deservi re tehnica

SP(i)=[6-2-(1+1+1)](5+0.4+0.4*
)(1.8+0.4)=34.872 ≈ 35 [m2]
Suprafata totala pentru parcarea automobilelor intr-o unitate de exploatare se calculeaza cu relatia:

Procent din
suprafata totala
a statiei
Posturi de lucru
productive
Activitati sociale
Acoperite
(sanitare, vestiar, sala de
(hale de intretinere,
reparatii)
mese)
Suprafete anexe
productiei: birouri,
magazie sau depozit
piese
Sector comercial:
prezentare §i vanzari
automobile, accesorii , si
piese
Parcare automobile care
asteapta reparatia,
livrarea sau diverse
inform*
Neacoperite
Sp*. verzi, culoare de
(parcki, spatii verzi,
culoar de trecere)
circulatie persoane si
automobile
Automobile avariate care
asteapta constatki
tehnice si intocmire
devize pentru reparatii
cladire pentru personalul de deservire si pentru probleme comerciale,
spatiu pentru distribuirea carburantilor, unde se vor amplasa coloanele de distributie,
rezervoare subterane pentru depozitarea carburantilor si lubrifiantilor pentru automobile,
spatiu pentru distribuirea lubrifiantilor si deservire curenta (spalare, alimentare apa, umflat pneuri, aspirator, etc.)

nc=
≈ 5 [buc]
Se adopta: Cm(i) = 9l/100km
tp = 1 h
QP = 28 l/h
ηST = 0.8
in care:
PMZ - parcursul mediu zilnic al automobilului, in [km],
N(i) - numarul de automobile de tipul 'i' (parcul auto inventar),
Cm(i) - consumul mediu de combustibil al tipului de automobile, [l/100 Km] ,
tp - timpul de alimentare al pompei, in [ore],
Qp - debitul pompei de alimentare, in [lin
ST - randamentul statiei care tine cont de timpul care se pierde intre doua alimentari succesive ηST = 0,8 - 0,9),
CUP(i) coeficientul de utilizare al parcului de automobile propriu (pentru situatia cand statia de alimentare deserveste numai automobilele din dotare).
Linc parcursul cu incarcatura, in (km),
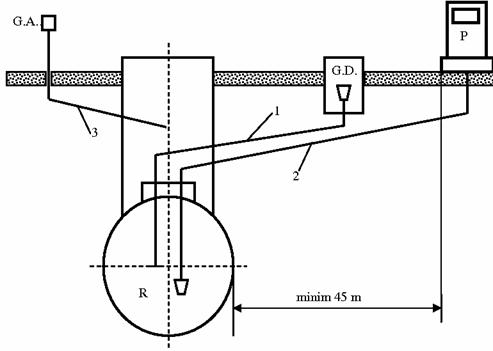
5.4. Amplasamentul statiei de alimentare cu combustibil
lungimea insulei necesara statiei de alimentare cu combustibil se alege in functie de numarul coloanelor de distribuire a combustibilului, lungimea minima find de
6 metri pentru automobile,
10 metri pentru autocamioane.

Fig. 11. Statie de alimentare cu benzina
1 conducta de descarcare, 2 conducta aspirare pompa,
3 conducta de aerisire, R rezervor benzina (20000 1),
P pompa de benzina, GD. gura de descarcare,
GA. - gura aerisire
|