Tipuri de cuplaje directe
Cuplaj rigid, folosit intre doi arbori cu lagare de alunecare, daca piesele in miscare sunt echilibrate static si dinamic.
Cuplaj flexibil, care poate compensa anumite erori unghiulare ale arborilor unul fata de celalalt, cat si mici erori laterale sau de inaltime. Este folosit intre doi arbori unul cu lagare cu rulmenti si altul cu alunecare.
Cuplajele permanente asigura legatura mecanica intre doi arbori cu axele in prelungire sau in unghi, legatura care poate fi facuta sau desfacuta numai cand arborii se gasesc in stare de repaus. Acest tip de cuplaj se construieste in urmatoarele variante: cuplaje permanente fixe si cuplaje permanente mobile.
Cuplajele permanente fixe au rolul de a realiza o legatura permanenta si rigida a arborilor coaxiali pentru a transmite intre acestia un moment de torsiune si miscarea de rotatie.
Din punct de vedere constructiv se caracterizeaza prin simplitate si robustete, conferind legaturii o rigiditate mare (rigiditatea sa la incovoiere si torsiune depaseste cu mult rigiditatea elementelor cuplate).
Ca urmare, socurile si vibratiile se transmit fara atenuare intre elementul conducator si condus. Acestor cuplaje li se prescriu conditii severe de aliniere (centale) deoarece imperfectiunile de executie si montaj au ca efect suprasolicitari in arbori si lagare.
Se construiesc in trei variante:
cu manson cilindric (neted) dintr-o bucata;
cu manson cilindric din doua bucati;
cu flansa.
Cuplaje permanente fixe
Utilizarea acestor cuplaje impune o coaxialitate perfecta a organelor cuplate, deo 545j99f arece chiar abaterile foarte mici de la coaxialitate (radiale, unghiulare) produc tensiuni suplimentare importante in linia de arbori si reactiuni periculoase in lagare (contact pe muchii).
Abaterea de la coaxialitate a arborilor nu trebuie sa depaseasca 0,002…0,05 mm, astfel incat cuplarea lor sa nu creeze suprasolicitari in arbori si lagarele pe care acestia se sprijina. Astfel de cuplaje se utilizeaza pentru legarea arborilor lungi, formati din tronsoane, care lucreaza la turatii mici (n < 250 rot/min) si la transmisii al caror regim de functionare impune momente de inertie cat mai mici ale cuplajelor.
Datorita inexistentei elementelor elastice, socurile si vibratiile se transmit de la un arbore la celalalt.
Montarea unor astfel de cuplaje trebuie facuta cu mare precizie, deoarece dezaxarea sau inclinarea axelor celor doi arbori produce, atat in cuplaj cat mai ales in lagare, eforturi suplimentare ce pot provoca defectiuni in functionarea lagarelor sau intregului ansamblu sau chiar ruperea elementelor de imbinare.
Cuplajele fixe pot prelua atat momente de torsiune Mt cat si momente de incovoiere Mi.
Pentru micsorarea efectelor dezavantajoase enumerate, se impune folosirea unor arbori si a unor lagare cu rigiditate marita si se recomanda asezarea cuplajelor in apropierea lagarelor.
Avantajele utilizarii cuplajelor permanente fixe consta in simplitatea si costul lor scazut. Din multitudinea formelor constructive de cuplaje permanente fixe, in cele ce urmeaza se vor studia cele mai utilizate tipuri.
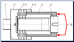
2.1. Cuplajul cu bucsa (fig.11.2).
La aceste cuplaje (nestandardizate), bucsa se executa din fonta sau OT. In varianta constructiva cu stift (fig.11.2.a) sau cu pene disc sau paralele, caneluri (fig.11.2.b).
Cuplajele cu bucsa constau dintr-o bucsa aplicata peste capetele arborilor. Asamblarea bucsei pe cei doi arbori se poate realiza cu stifturi crestate (fig. 2), cu pene paralele (fig .3), cu pene disc, cu suruburi, etc.
Capetele de arbori 1 si 2 sunt fixate in mansonul 3 cu ajutorul stifturilor 4. Intre 1 si 3 nu exista joc. Stifturile fixeaza axial si radial. Stifturile sunt montate presat. Gaura pentru stift se da in ambele piese simultan cu burghiul.

Fig. 2 Fig.3
Capetele de arbori 1 si 2 sunt impiedicati la rotire in manson.
Avantajul acestor cuplaje il constituie gabaritul diametral redus, iar ca dezavantaj se poate aminti montajul dificil, necesitand deformarea axiala a unuia dintre arbori.
Calculul acestor cuplaje consta deci in calculul asamblarii cu stifturi, prin sau valori precum si din calculul bucsei la rasucire.

a b
Fig.11.2
Se face verificarea penelor la forfecare si strivire.
In locul penelor se introduc cate o data doua stifuri conice cu diametrul:
dc≈ (0,2…0,3)d →
- se face o verificare la forfecare F = Mtc/ d (cuplu)
Deplasarile relative in directia axiala a mansonului trebuie blocate cu surub. Pentru montarea si demontarea cuplajului este necesara deplasarea axiala a unui arbore.
2 – butuc
3 – inel etansare
AVANTAJELE principale ale cuplajelor dintate sunt:
- posibilitatea de a compensa, fara incarcari sensibile in arbori si lagare, deplasari relativ sensibile ale arborilor in sens axial, unghiular si radial;
- raport de transmitere constant;
- capacitate mare de transmitere a cuplului pentru un gabarit dat.
Aceste caracteristici au asigurat larga raspandire a diverselor variante ale cuplajelor dintate, ele permitand o montare nepretentioasa, totodata fiind insensibile la deplasarile arborilor in exploatare.
Dantura elementelor cuplajului se executa cu profil evolventic, cu joc marit la baza dintelui si intre flancuri.
Pentru a asigura compensarea unor abateri combinate, suprafata exterioara a danturii se strunjeste sferic, iar dintii au forma de butoias. In vederea obtinerii unui joc marit, intre flancuri se prescrie fie o deplasare specifica diferita pentru butuc si manson, fie scurtarea capului dintelui sculei pentru prelucrarea mansonului.
Pentru a nu se produce blocarea ghearelor, trebuie indeplinita conditia ca
α > 2j
Mai exista frecare si pe pana in momentul cand ambreiam (cuplarea).

a) Elemente geometrice
a1) Cu o suprafata de frecare (fig.11.14)

Fig.11.14
a2) Ambreiajul multidiscular (cu discuri multiple) (fig.11.15)

Fig.11.15
Pe arborele 1 se monteaza fix un manson 3 prevazut la interior cu o serie
de caneluri. Pe arborele condus 2 se gaseste o portiune prevazuta de asemenea cu caneluri. In aceste caneluri se introduc in mod alternativ niste discuri prevazute cu caneluri la interior sau exterior dupa felul montarii.
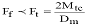
La ambreiajele cu frictiune (cu una sau mai multe suprafete de frecare)
elementul elastic este frecarea intre 3 si 4, atunci cand semicuplajul 4 se apasa
cu forta Q pe semicuplajul Viteza unghiulara ω2 nu devine instantaneu egala
cu ω1.
Atata timp cat,
discul 4 nu se pune in miscare ω2=0 ⇒
discul patineaza si ⇒ caldura si uzura.
Daca Ff > Ft ⇒ ω2 creste pana cand ω2= ω1. Acest timp necesar cresterii lui ω2 se numeste perioada de ambreiere T.
Calculul ambreiajului cu o singura suprafata de frecare se reduce la determinarea suprafetelor de frecare (De, Di) si a fortei de ambreiere Q.
Mf = Mtc = kMt = βMtn

Conditiile unei bune ambreieri:
ambreieri si debreieri sa se faca fara socuri
contactul sa fie uniform
arborii da fie centrici
sa se asigure o buna evacuare a caldurii
sa se evite variatia coeficientului de frecare in timpul functionarii
durata ambreierii sa fie scurta pentru a reduce incalzirile si uzura
actionarea usoara Q < 50…100 N
reglaj si intretinerea usoara
gabarit redus
Observatie: Toate ambreiajele trebuie sa fie cat mai aproape de lagare pentru a nu se situa in zona deformatiilor mari ale arborelui.
b) Procesul (fenomenul) ambreierii
Consideram schema de actionare, arbore motor – ambreiaj – arbore condus

I1- momentul de inertie a partii conducatoare, redus la arborele conducator.
I2- momentul de inertie ale partii conduse redus la arborele condus.
- In stare debreiata (discurile
ambreiajului indepartate) – viteza unghiulara ω1 a arborelui
motor este
- La ambreiere, momentul de frecare Mf incepe sa creasca treptat in timp, dar arborele condus incepe sa se roteasca numai cand momentul de frecare atinge valoarea Mt rez. (punctul A). In tot acest timp (0 - t1) intreaga energie cedata de la arborele motor se transforma in caldura si uzura discului de frictiune.
- In perioada urmatoare (T - t1), corespunzator timpului t2, momentul de
frecare trebuie sa invinga pe langa momentul rezistent Mt rez. si momentul dat de fortele de inertie ale maselor in miscare Mta (Mf = Mt rez.+ Mta). Acest moment se mentine constant pana cand ω1 = ω2.
- Dupa terminarea ambreierii, la timpul T, cand cei doi arbori s-au cuplat, momentul de accelerare devine 0 (Mta = 0), iar ambreiajul continua sa transmita momentul rezistent Mt rez.
- In toata perioada de timp t2 – intre suprafetele de frecare ale ambreiajului exista alunecarea data de viteza relativa a celor doua discuri (ω1 -
ω2) → caldura si uzura
Intereseaza cunoasterea urmatoarelor marimi : T, Lp, Pf (puterea pierduta prin frecare), h (numarul de ore de functionare).
Durata de ambreiere T
T = t1 + t2; t1= timp de patinare totala =f (sistemul de ambreiere, abilitatile mecanicului).
|