ANALIZA TERMODINAMICA A SOLUŢIEI ALTERNATIVE DE ELIMINARE A AGENŢILOR FRIGORIFICI POLUANŢI FOLOSIND SUBSTAN E NATURALE INFLAMABILE
1. INTRODUCERE
In aceasta analiza sunt prezentate concluziile studiului ciclului termodinamic teoretic al unei instalatii frigorifice cu comprimare de vapori (IFV) care foloseste ca agenti frigorifici substante naturale inflamabile.
In prezent, pe fondul masurilor din ce in ce mai severe pentru eliminarea agentilor frigorifici de tip CFC, HFC si HCFC, substante de sinteza pe care natura nu le poate disocia rapid si care acumulāndu-se in atmosfera devin agenti poluanti, substantele naturale inflamabile reprezinta o alternativa posibila pentru īnlocuirea agentilor frigorifici poluanti.
Īntrucāt principalul dezavantaj pe care īl prezinta folosirea acestor substante este pericolul de inflamabilitate; un domeniu in care ar putea fi folosite aceste substante ar putea sa fie climatizarea in industria auto, unde pericol de inflamabilitate exista datorita combustibililor . Initial, riscurile asociate folosiri hidrocarburilor īn conditionarea aerului pentru automobile au fost mult exagerate din motive comerciale. In SUA si īn Austria, zeci de mii de aparate de conditionat aer pentru automobile au fost trecute in mod oficial pe propan. Vehiculele respective sunt sigure si fiabile si au avantajul folosirii agentilor frigorifici ecologici naturali.Pare exagerat sa fim preocupati din acest punct de vedere de cāteva sute de grame de 222g610c agent frigorific de tip hidrocarbura dintr-un automobil care contine cāteva zeci de kilograme de combustibil cu indice octanic ridicat. Agentii frigorifici hidrocarburi au un viitor sigur, dar probabil mai scazut īn regiunile unde lumea este mai precauta.
Īn lucrare sunt comparate performantele(consumul de lucru mecanic,puterea frigorifica, eficienta frigorifica si debitul ) urmatoarelor substante: butan, propan, izobutan, propilen, pentan, hexan, izopentan, octan, carbonil sulfid, butena, DME. Calculul acestor performante a fost efectuat pe baza proprietatilor termodinamice date de programul RefProp(Refrigerant Properties).
2. REZULTATE
Folosind metodologia de calcul prezentata anterior, pentru o putere frigorifica a instalatiei de 30 kW si pentru urmatoarele valori ale parametrilor de studiu:
= +40 oC;
grd;
grd,
s-au efectuat calcule pentru diferite temperaturi
de vaporizare
= -25oC
+10oC, cu
pas din 5 īn 5 grd.
Valorile marimilor de stare (presiune p, temperatura t, entalpie h, entropie s si volum v) īn punctele caracteristice ale ciclului teoretic [8] (starile termodinamice 1"-1-2s-2-3`-3-4) au fost determinate folosind programe de calcul elaborate īn mediu RefProp, pentru fiecare din cele douasprezece substante inflamabile considerate si prezentate.
Calculul marimilor de stare īn punctele caracteristice ale ciclului teoretic al instalatiei frigorifice considerate se face pentru fiecare substanta in parte.
Avānd īn vedere modul de lucru specific programului RefProp, pentru determinarea marimilor de stare īn fiecare punct caracteristic al ciclului teoretic, s-au construit tabele pentru fiecare punct caracteristic al ciclului, dupa cum este prezentat īn cele ce urmeaza:
A)
Determinarea marimilor de stare īn starea
Pentru diferite temperaturi de vaporizare
si titlul
(vapori saturati
uscati) s-a construit tabelul
(Anexa), din care
se extrag valorile entalpiei specifice masice
, necesara calculului schimburilor energetice ale
ciclului;
B) Determinarea marimilor de stare īn starea 1 (aspiratie compresor):
Pentru determinarea starii de
aspiratie īn compresor, se extrag din tabelul
(Anexa),
diferitele presiuni de vaporizare, corespunzatoare temperaturilor de
saturatie definite anterior
si pentru
diferitele valori ale temperaturii de aspiratie
s-a construit tabelul
(Anexa), din care
se extrag valorile pentru entalpia specifica masica
, si volumul specific
, necesare calculului schimburilor energetice ale ciclului
si, respectiv, pentru calculul debitului volumic aspirat īn compresor;
C)
Determinarea marimilor de stare pentru starea
Determinarea starii de iesire
din condensator se obtine construind tabelul
(Anexa), unde
pentru temperatura de condensare impusa
si
, se determina valoarea entalpiei specifice masice
, necesara calculului schimburilor energetice ale
ciclului;
E) Determinarea marimilor de stare pentru starea 3 (iesire subracitor):
Tot īn tabelul
, pentru temperatura de subracire impusa
si presiunea de
condensare obtinuta anterior, la calculul starii 3`, se
determina valoarea entalpiei specifice masice
, necesara calculului schimburilor energetice ale
ciclului;
F) Determinarea marimilor de stare in starea 2s (refulare teoretica compresor):
Pentru determinarea starii de
refulare teoretica compresor, pentru
, extrase din tabelul
(Anexa) si
pentru presiunea de condensare extrasa din tabelul
(Anexa) s-a
construit tabelul
(Anexa), din care
se extrag valorile pentru entalpia specifica masica
necesara
calculului schimburilor energetice ale ciclului si, respectiv īn cazul
adoptarii unui randament al comprimarii
, a starii reale de refulare din compresor;
G) Determinarea marimilor de stare in starea 2 (refulare reala compresor):
Calculul entalpiei specifice masice īn
starea reala de refulare din compresor se face pe baza relatiei
, obtinuta din relatia de definitie a
randamentului comprimarii. Realizarea calculului acestei marimi s-a
efectuat cu un program special elaborat pentru tot acest studiu, īn mediul Excel,
īn care au fost importate toate valorile marimilor de stare calculate
anterior cu programul RefProp.
Pentru a verifica faptul ca īn starea
reala de refulare din compresor nu se depaseste temperatura
maxima admisibila de coxare a uleiului (
=140°C), folosind valoarea lui
calculata
anterior īn Excel si presiunea de condensare extrasa din tabelul
(Anexa), īn
mediul RefProp se construieste tabelul
(Anexa), din care
se extrage valoarea temperaturii efective de refulare
.
Īn continuare, pentru calculul
schimburilor energetice specifice masice (
si
), al coeficientului de performanta
frigorifica (
), al debitului de agent frigorific (
), al debitul volumic aspirat de compresor (
), a puterii frigorifice specifice volumice (
) si a puterii mecanice (
) necesare antrenarii compresorului s-a folosit
programul special elaborat in Excel, pentru acest studiu, īn care
s-au introdus toate marimile de stare calculate anterior cu RefProp.
Pe baza
rezultatelor tuturor acestor marimi calculate, pentru fiecare tip de
amestec, īn programul realizat īn mediu Excel s-au ridicat grafice
centralizate īn doua topuri de diagrame: diagrame de variatie īn
functie de temperatura de vaporizare
pentru diferitele
substante (Fig. 1
Fig. 9;
Astfel īn Fig. 1 este
reprezentata variatia presiunii
de saturatie
īn functie de
temperatura, pentru toate substantele considerate. Se observa
faptul ca presiunea de saturatie este foarte mica pentru octan, hexan, pentan si izobutan
chiar si la temperatura de 40 °C, acest lucru fiind un dezavantaj major. Functionarea intr-o instalatie la o presiune foarte scazuta ar
īnsemna niste eforturi nejustificate din punct de vedere tehnic si al
costurilor. In categoria presiunilor medii sunt urmatoarele substante:
butan, butena si izobutan iar in categoria substantelor medii spre mari
sunt: DME, propan si prolpilen si carbon sulfid.

Fig. 1 Variatia presiunii de saturatie īn functie de temperatura (x=1)
Din Fig. 2 se observa ca lucrul mecanic consumat nu difera mult pentru diferitele substante analizate, dar dintre toate se remarca carbonil sulfid avānd un consum cu 20 % mai mic.
Fig. 2 Variatia lucrului mecanic specific masic consumat
īn functie de temperatura de vaporizare
Fig. 3 prezinta variatia puterii frigorifice specifice masice,
, īn functie de temperatura de vaporizare,
, pentru diferitele tipuri de agenti frigorifici
analizati. Se observa ca DME are un
cu 30 % mai mare iar
carbonil sulfid cu 20 % mai mic decāt celelalte substante.
Īn consecinta dupa cum este
prezentat si īn Fig. 4, debitul
masic (
) de agent frigorific va fi cel mai mare pentru carbon sulfid
si cel mai mic pentru DME .

Fig. 3 Variatia puterii frigorifice specifice masice īn functie de temperatura de vaporizare
Fig. 4 Variatia debitului masic aspirat de compresorīn functie de temperatura de vaporizare
Fig. 5 Variatia puterii mecanice consumate de compresorīn functie de temperatura de aporizare
Fig. 6 Variatia coeficientului de performanta frigorificaīn functie de temperatura de vaporizare
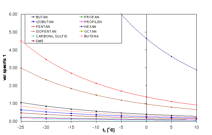
Fig. 7 Variatia volumului specific masic la aspiratia īn compresorīn functie de
temperatura de vaporizare
Fig. 8 Variatia puterii frigorifice specifice volumic īn functie de temperatura de vaporizare

Fig. 9 Variatia debitului volumic aspirat de compresor
īn functie de temperatura de vaporizare
Din rezultatele prezentate īn Fig. 6,
referitoare la variatia coeficientului de performanta
frigorifica a ciclului teoretic, se constata ca au
mare: octanul, pentanul,
hexanul, izopentanul si butanul urmate de butena, DME, izobutan, carbonil
sulfid, propilen si propan.
Īn Fig. 7 este prezentata
variatia volumului specific masic la aspiratia īn compresor īn
functie de temperatura de vaporizare,
, pentru diferitele tipuri de agenti frigorifici
analizati. Se observa un volum specific masic mic(avantajos) de aspiratie
pentru: carbonil sulfid, propilena si propan; mediu spre mare pentru:
pentan si izopentan si foarte mare pentru: octan si hexan . Pentru un volum
specific mic de aspiratie(carbonil sulfid, propilena, propan) ii
corespunde o putere frigorifica specifica volumica mare
(Fig.8).
Debitul volumic aspirat de compresor
este reprezentat in Fig.
9. Se observa ca ocatnul, hexanul, pentanul si izopentanul au debit
volumic la aspiratie foarte mare.
4. CONCLUZII
Lucrarea prezinta rezultatele analizei termodinamice teoretice asupra posibilitatilor de īnlocuire a agentilor frigorifici poluanti de tip CFC, HFC si HCFC cu substante naturale inflamabile.
Se procedeaza la calculul termodinamic al unei instalatii frigorifice cu comprimare de vapori (IFV) īntr-o treapta ce foloseste ca agent frigorific substante naturale inflamabile. Astfel sunt considerate zece substante inflamabile: butan, propan, izobutan, propilen, pentan, hexan, izopentan, octan, carbonil sulfid, butena si DME.
Prin compararea rezultatelor obtinute pentru performantele termodinamice ale instalatiei functionānd, īn aceleasi conditii impuse (putere frigorifica, temperatura de vaporizare si, respectiv, de condensare) au rezultat urmatoarele:
- octan, hexan, pentan si izopentan au presiunea de
saturatie foarte mica (
bar, chiar si la temperatura de 40 °C, dupa cum rezulta din
FIG. 1), ceea ce reprezinta un
dezavantaj important;
- puterea frigorifica specifica masica a substantelor inflamabile este mai scazuta cu 30 % in comparatie cu a DME-ului ;dintre substantele analizate, avānd o putere frigorifica mai mare, se remarca butena, pentanul, octanul si butanul;
- consum energetic pentru comprimare redus au: octanul, hexanul, pentanul si izopentanul, urmate de: butena, butan, DME, izobutan, carbonil sulfid, propilen, propan;
- coeficientul de performanta frigorifica este mai mic in comparatie cu restul substantelor pentru: propan, propilen;
- volum specific masic de aspiratie mic, ceea ce reprezinta un avantaj impotant, au: carbonil sulfid, propilena si propan; mediu spre mare prezinta: pentanul si izopentanul si foarte mare: octan si hexan;
- puterea frigorifica specifica volumica este mica pentru octan, hexan, pentan si izopentan;
Īn concluzie, se observa ca octanul, hexanul, pentanul si izopentanul, desi prezinta avantajul unei puteri frigorifice specifice masice mai mari, in comparatie cu restul substantelor analizate, ele au mai multe dezavantaje (presiune de saturatie foarte mica, consum energetic mai mare si un volum specific masic la aspiratie īn compresor mare) ceea ce le elimina din lista substantelor studiate pentru a fi folosite ca agenti frigorifici.
De asemenea, rezultat ca butena, butanul, izobutanul, carbonil sulfidul, propilena si propanul au proprietati bune de agenti frigorifici si reprezentānd alternative posibile pentru substitutia agentilor frigorifici poluanti.
Pentru a demonstra efectiv ca aceste substante reprezinta o solutie practica viabila pentru īnlocuirea agentilor de lucru poluanti din instalatiile frigorifice contemporane, este necesara desfasurarea īn continuare a unor cercetari experimentale de confirmare a performantelor, de anduranta si de fiabilitate.
BIBLIOGRAFIE
[1] Tārlea M.G., Popescu G., Chiriac F., Maracine I., Apostol V., Sinca O., Implementarea aquis-ului de mediu al Uniunii Europene īn Romānia - agenti frigorifici ecologici", Raport de Cercetare (Etapa I) Contract nr. , Program National CEEX'06, beneficiar AMCSIT - UPB, Bucuresti, 2006.
[2] Marinescu C., Popescu G., Apostol V., "Noua Familie de Agenti Frigorifici Ecologici", ] Lorentzen G., Pettersen J., New possibilities for non-CFC refrigeration, in Pettersen J. Editor, Paper of International Symposium on Refrigeration (IIR), Energy and Environment, p. 29-34, Trondheim, Norway, 1992.
[5] Lorentzen G., Revival of carbon dioxide as a refrigerant, Int. J. Refrig., Vol. 17(5), p. 292-301, 1993.
[6] Lorentzen G., The use of natural refrigerants: a complete solution to the CFC/HCFC predicament, Int. J. Refrig., Vol. 18(3), p. 190-197, 1995.
[7] Lemmon E.W., McLinden M.O., Huber M.L., Manualul de utilizare a Programului Reference Fluid Thermodynamic and Transport Proprieties, NIST Standard Reference Database 23, Version 7.0, Copyright 2002 by the U.S.
[8] Popescu G., Apostol V., Porneala S. s.a., Echipamente si Instalatii Frigorifice, Editura "PRINTECH", Bucuresti, 2005.Raport de Cercetare Contract nr. 1915/15.09.04, Program National RELANSIN'04, beneficiar AMCSIT - UPB, Bucuresti, 2006.
[3] Kuprianoff J., Plank R., Steinle H., Handbuch der kältetechnik - Die kältemittel, Springer - Verlag., Berlin 1956.
|