ARBORII
Arborii cotati sunt organe de masinicare se construiesc pentru a contribui la transformarea miscarii de rotatie in miscare de translatie. Acestia sunt utilizati in special la masinile montate cu abur si cu ardere interna la pompe, compresoare care prin intermediul mecanismului biele - manivela transforma miscarea rectilinie alternativa a pistoanelor in miscare de rotatie al arborelui cotit.
Principalele zone ale unui arbore cotit sunt : fusurile de sprijin (1), fusurile intermediare sau manetoane (2), zonele de calare (3).
Arborii flexibili se intalnsc acolo unde axa geometrica a lor trebuie sa urmareasca un traseu usor sinuos si variabil in timp, asa cum este cazul cablurilor de kilometraj de la autovehicule, a arborilor frezelor stomatologice.
.Clasificarea arborilor
A. dupa conditia de functionare :
1. in functie de functionare :
- static determinati (intre reazeme);
- static nedeterminati (in afara reazemelor).
2. in functie de comorarea la vibratie a arborilor (turatia de regim/turatia critica):
- rigizi (n < n Cr);
- elastici (n > n Cr).
3. in functie de tiul de solicitare :
- arbori de torsiune;
- arbori solicitati compus : tensiune si incovoiere;
4. in functie de ozitia in care lucreaza :
- orizontala;
- verticala;
- inclinata.
B. dupa ozitia axei de sprijin :
1. fixa (arbori de sprijin);
2. variabili (arbori flexibili).
3.Fusuri si pivoti
Fusurile si pivotii sunt acele zone din componenta arborilor si osiilor prin care acestia se sprijina in lagare. 616q165g
Suprafetele fusurilor prezinta o miscare relativa fata de surafatele interioare de contact ale lagarului de sprijin. Acesta poate fi de alunecare (lagar de alunecare) sau de rostogolire (indirecta la rulmenti).
Clasificarea fusurilor:
1. Dupa directia fortei care le solicita in raport cu axa lor de rotatie si forma :
- radiale (pot avea forma cilindrica sau conica);
- axiala (pot fi circulare pline, inegale, multiinelare);
- radial - axiale ( pot fi conice sau sferice, simple sau cu umar de sprijin).
2. Dupa pozitia relativa pe care o ocupa pe arbore :
- radiale : de capat, intermediare;
- axiale : frontale, intermediare sau superioare;
Pivotii sunt acele fusuri axiale sau radical - axiale la care forta principala din lagar este paralela cu axa de rotatie.
CAITOLUL 2
. Materiale pentru confectionarea arborilor.
Materialele din care se confectioneaza arborii se aleg in functie de scopul urmarit si de conditiile impuse in functie, de tehnologia de executie adoptata pentru acestia.
In general se utilizeaza oteluiri carbon obisnuite OL 42, OL 50, OL 60. Pentru a satisface aceasi rezistenta dar la gabarite si la calitate (la care se vor aplica tratamente termice adecvate pentru cresterea rezistentei in zona de sprijin). OLC 25, OLC 35, OLC 45. Pentru solicitari importante si gabarite reduse se recomanda otelurile aliate de imbunatatire : 41 Mo Cr 11, 41 Cr Ni 12, 18 Mo Cr Ni 13, 21 Mo Mn Cr 12, 13 Cr Ni 30.
Deoarece fontele au rezistenta mecanica mai scazuta decat otelurile, dar au o sensibilitete mult mai mica fata de efectul de concentrare a vibratiilor, vor fi recomandate la executia arborilor de dimensiuni mari sau a arborilor cu forma complicata. Astfel se utilizeaza fontele cu grafit nodular sau fontele maleabile.
.Materialele pentru confectionarea fusurilor si pivotilor.
Materialele din care sunt confectionate fusurile si pivotii sunt aceleasi cu ale arborilor carora le apartin. Pentru a face fata solicitarilor la care sunt supuse in timpul exploatarii (incovoierea, oboseala, presiune de contact, uzura), se recomanda o prelucrare ingrijita a suprafetei fusurilor, astfel incat sa se asigure o aderenta cat mai buna lubrifiantului.. Solutiile care conduc la imbunatatirea caracteristicilor fizico - mecanice ale acestor zone sunt :
aplicarea unor tratemente mecanice, termice sau termochimice adecvate;
introducerea prin presare sau frecare pe arbore a unui manson cu caracteristici corespunzatoare cerintelor functionarii acestui ansamblu;
aplicarea pe suprafata fusului a unei pelicule subtiri de material plastic (poliamide), care prezinta caracteristici deosebite de rezistente la presiunea de contact, uzura si aderenta. In plus aceasta pelicula poate fi inlocuita cu usurinta dupa uzare.
3.Calculul arborilor
Etapele proiectarii cu axa geometrica dreapta ce trebuie respectate sunt :
predimensionarea : se face prin calculul de rezistenta la ruperea sau la deformatie;
adaptarea solutiei constructive : pornind de la rezultatele obtinute si luand in considerare conditiile de executie si de montaj;
efectuarea verificarilor de rezistenta la oboseala, deformatii, vibratii;
Pentru efectuarea calculelor modelul real al subansamblului arbore - elemente sustinute se inlocuieste cu modelul conventional al unei grinzi plane sprijinita pe doua sau mai mult reazeme si incarcata cu sarcini concentrate. In calculul de rezistenta la incovoiere se considera numai fortele exterioare neglijandu-se greutatea propie a osiilor sau arborilor.
1. Dimensionarea - se va face numai pentru torsiune (rasucire) care reprezinta de regula solicitarea principala. Solicitarea de incovoiere fiind mai mica , se neglijeaza.
- pentru arbori cu sectiune plina :

- pentru arbori cu sectiune inelara.

2. Verificarea la solicitari compuse - torsiune si incovoiere.
In acest caz efectul unitar echivalent se va determina cu relatia
in care efectul unitar la incovoiere

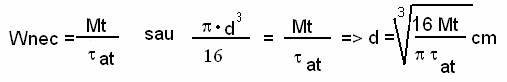
Fortele ce actioneaza asupra arborilor pot avea atat componente in planul orizontal rezultand momentele incovoietoare Mio in sectiunea periculoasa de rupere, cat si componente in plan vertical rezultand momentele incovoietoare Miv. Prin comunerea Mio si Miv momentul Mi care intervine in calculul efectului unitar la incovoiere si. cunoscandu-se puterea necesara a fi transmisa P[KW], precum si turatia arborelui n[rot/min]se poate determina momentul de torsiune Mt cu relatia Mt=95500 P/n[daN cm]
Astfel se va putea calcula valoarea efortului
unitar tangential 
Efortul unitar adminisibil al materialului se va alege in raport cu calitatea materialului si cu coeficientul de siguranta.
Functie de cazul de solicitare :
pentru oteluri cu rezistenta la rupere sr = 50.80 [dan/mm²] se vor alege rezistente admisibile sai = 600.900 [dan/cm²] pentru cazul 3 se solicitari;
pentru arborii din fonta cu rezisteta la rupere incovoiere sr = 6.10 [daN/mm²] se vor alege rezistentele admisibile la incovoiere sai = 250.400 [daN/cm²] pentru solicitari alternative.
3. Verificarea la oboseala
Cand arborii sunt supusi la incovoieri dupa un ciclu alternant simetric, iar la torsiune dupa un ciclu pulsator, acestea vor solicita la oboseala materialul din care sunt confectionati arbori. Pentru a verifica daca arborele rezista acestor solicitari, se determina coeficientul de siguranta la oboseala. Astfel se vor calcula :
coeficientul de siguranta la incovoiere :
coeficientul de siguranta la torsiune

in factorii ce influenteaza rezistenta la oboseala sunt :
bk - este concentratorul de tensiuni la crestaturi, racordari, treceri de diametru de la o treapta la alta.
g - factorul de calitate al prelucrari suprafetelor
e - factorul dimensional, natura materialului.
4. Verificarea la deformatii torsionale
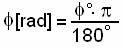
Deformatiile torsionale f se masoara in radiani si se pot determina in situatia in care se cunosc momentul de torsiune Mt [daN cm] lungimea l [cm], intre reazemele arborelui, modulul de elasticitate transfersala G (pentru hotel G = 8*105 daN/cm² si momentul de inertie polar al sectiunii circulare.
Daca momentul polar este
,
relatia de calcul este
.
Pentru calculul deformatiei torsionale in grade se fac umatoarele transformari :
deformatia cautata se determina cu relatia
,
stiind ca
.
CAPITOLUL 3
ASAMBLAREA ARBORILOR
MONTAREA ARBORILOR DREPTI
Montarea arborilor necesita trei faze importante : pregatirea, montarea propriu-zisa si verificarea montarii.
Pregatirea montarii arborilor necesita studierea desenului cu schema de montaj, verificarea acestora, in special a fusurilor si a partilor de calare, care trebuie sa fie netede, fara zgarieturi, lovituri sau urme de coreziune. Bavurile, zgarieturile, loviturile se elimina prin ajustare fina, urmata de o finisare cu panza abraziva. Petele de rugina sunt curatate fie cu panaza abraziva, fie cu pasta abraziva. In general, aceste verificari sunt efectuate la receptia arborilor la terminarea prelucrarii lor, insa ele se recomanda si la montare.
Montarea propriu-zisa consta in executarea urmatoarelor operatii :
verificarea cuzinetilor - daca sunt fixati corect in corpul lagarului;
ajustarea cuzinetilor dupa fusurile arborilor; pentru aceasta, se sterg cu o carpa uscata fusurile si apoi se acopera cu un strat subtire de vopsea. Se aseaza arborele in lagare cu ambele fusuri si se monteaza capacele lagarelor. Apoi, se invarteste usor arborele cu scopul de a se realiza tusarea cuzinetilor. Se demonteaza capacele lagarelor si se executa ajustarea cuzinetilor acolo unde apar proeminentele indicate de vopsea.
Opertiile de ajustare se repeta pana cand numarul petelor de contact de pe suprafata cuzinetului corespunde preciziei impuse la asamblare. In general, se considera ca suprafata este corespunzatoare, daca contine 15.25 de pete de vopsea pe o suprafata de 25x25mm².
se spala fusurile si cuzinetii, se usuca cu aer comprimat si se ung cu unsoare, folosindu-se o pensula;
se monteaza definitiv arborele in lagare.
De remarcat faptul ca la montarea arborilor in lagare trebuie sa se respecte jocurile - radiale si axiale - prescrise in documentatia tehnica, pentru a se asigura o ungere buna in timpul functionarii.
Verificarea montarii arborilor, inclusiv a lagarelor, se executa o data cu probele de functionare a masinilor.
Se cosidera ca montajul a fost corect montat daca, in timpul functionarii, lagarele nu se incalzesc mai mult de 60.70°C.
MONTAREA ARBORILOR COTITI
Montarea arborilor cotiti, cu toate ca este mult mai pretetioasa decat a arborilor drepti, necesita respectarea celor trei faze dinstincte : pregatirea montarii, montarea propriu-zisa si verificarea monatrii.
Pregatirea montarii consta in controlul fusurilor ca sa nu prezinte zgarieturi. Acestea se indeparteaza prin slefuire cu paza de slefuit.
Cuzinetii lagarelor trebue sa adere etans pe suprafetele fusurilor.
Suprafata de aderare trebuie sa fie repartizata uniform si sa reprezinte cel putin 60.70% din surafata activa.
Verificarea aderarii se face cu vopsea. In cazul unei aderari necorespunzatoare se executa razuirea.
Se verifica calitatea compozitiei de lagare : startul de comozitie turnat trebuie sa adere bine la suprafata cuzinetului (bimetalic), iar la ciocanire sa emita un sunet clar, metalic.
Pe suprafata de lucru a stratului de compozotie nu se admit zgarieturi, sufluri, startificari etc.
Asezarea cuzinetului inferior dupa fusurile arborelui se verifica cu vopsea (negru de fum diluat si petrol lampant)
Cuzinetii superiori trebuie sa adere, de asemenea, foarte bine.
Jocul dintre cuzinetul superior si fusul arborelui nu trebuie sa depaseasca 0.001mm.
Pentru preintampinarea pierderilor de presiune a uleiului din lagare, intre baia de ulei si marginea cuzinetului trebuie sa ramana o distanta de 15.20mm.
In cazul cand se folosesc garnituri de reglare intre cuzineti, ca, de exemplu, la compresoare piston, acestea se executa dupa conturul planului de sparatie. Materialul acestor garnituri poate fi textolit, alama sau aluminiu.
Atunci cand pe fusurile de capat ale arborilor sunt prevazuti rulmenti, montarea acestora se face dupa indicatiile date la capitolul 8.
Montarea proriu-zisa a arborilor consata in asezarea acestora in lagare si rotirea lor de cateva ori.
Se verifica pozitia arborelui cu ajutorul unei nivele de 0.1mm, masurarea facandu-s la fiecare 90°, adica in patru pozitii. Pozitia orizontala a fusurilor manetoane se verifica tot cu ajutorul nivelei. Abaterile de la paralelism intre axele fusurilor manetoane si axele fusurilor palier nu pot depasi 0.02mm pentru 100mm din lungimea fusului.
La controlul excentritatii se folosesc comparatoare.
Depalsarea axiala a arborelui cotit pe lagare se verifica prin rotirea acestuia la 180° si masurarea jocului cu un comparator.
Valoarea jocurilor este stabilita in documentatia de montaj in functie de conditiile de lucru si de felul masinii la care se monteaza arborele cotit.
Verificarea montarii se executa o data cu proba de functionare a masinii, la care arborele cotit nu trebuie sa prezinte batai radiale ce se pot transmite pistoanelor, iar lagarele sa nu se incalzeasca peste 60.70°C.
MONTAREA ARBORILOR COMPUSI DIN MAI MULTE BUCATI
Arborii compusi din mai multe bucati pot fi : cap la cap si cotiti.
Fiecare tip de arbore se monteza in mod deosebit.
Montarea arborilor cap la cap. Tehnologia de montatrea arborilor cap la cap nu difera de cea a arborilor drepti. O atentie deosebita trebuie sa se acorde executarii imbinarii, inca la sfarsitul montajului arborele sa lucreze ca un arbore dintr-o singura bucata.
Imbinarea arborilor compusi din mai multe bucati se poate realiza prin :
cuplaj cu manson si arbore canelat
cuplaj cu manson cilindric, fara caneluri si cu stift
cuplaj conic cu stift
cu suruburi solicitate la forfecare
cu flanse stranse cu suruburi
Montarea unui arbore compus cu ajutorul mansonului canelat se incepe prin asezarera si fixarea celor doua parti 1 si 2 ale arborelui, pe prisme - suport, astfel incat axele sa fie in prelungire. In acest scop se recomanda folosirea prismelor cu inaltime reglabila. Apoi monteaza mansonul 3 pe unul din capetele canelate ale arborelui, iar capatul celuilalt arbore se introduce in celalalt capat al mansonului. Uneori se poate intampla, ca pentru pozitia respectiva arborelui fata de manson, canelurile si plinurile din arbore si manson sa nu coincida.in acest caz, se vor distanta arborii intre ei si se va schimba pozitia mansonului 3, rotindu-l cu cateva caneluri, dupa care se va efectua din nou montarea.
Pentru montarea cuplajului - manson se folosesc adeseori ciocane cu cap moale. Pentru un ajustaj aderent pe diametrul de centrare al canelurilor, mansonul se va incalzi in ulei fiebinte inainte de montare.
Dupa montarea definitiva a mansonului se vor verifica dimensiunile l si lı care determina pozitia mansonului canelat fata de canelurile arborilor.
Pentru ca mansonul sa nu se deplaseze axial se fixeaza cu ajutorul unui surub de blocare 4.
Montarea arborilor de dimensiuni mari, cap la cap, printr-un cuplaj - manson, fara caneluri, cu ajutorul stifturilor, se realizeaza in aceeasi succesiuine ca si in cazul folosirii unui cuplaj, cu mansonul canelat.
Deoarece, la imbinarea cu arborii a cuplajului-manson, fara caneluri, se foloseste adeseori ajustaj blocat sau chiar presat usor, montarea se face in conditii mai bune prin incalzirea prealabila a mansonului. In cazul arborilor cu lungimi si diametre mai mici, montarea este mai simpla, si se face, de obicei, prin presarea mansonului la presa sau prin lovituri de ciocan.
Alezajele de arbori destinate pentru stifturi se executa corespunzator dimensiunilor din manson, dupa montarea definitiva a acestuia. Stifturile folosite la aceste imbinari sunt cilindrice, iar presarea lor se face cu presa manuala sau cu ciocanul.
Montarea arborilor cotiti. Din cauza fortelor mari care apar in timpul functionarii arborilor cotiti, asamblarea lor se face prin strangere. Montarea unui arbore cotit la care imbinarea se face cu strangere se executa in ordinea urmatoare: boltul 1 se monteaza, prin presare, in alezajul bratului 2, apoi se verifica paralelismul intre axa alezajului si axa boltului; urmeaza presarea bratului pe fusul arborelui, verificarea paralelismului boltului cu arborele si perpendicularitatea acestora pe bratul 2.
Fusul 1 se preseaza in alezajul din bratul 2, dupa care ansamblul se monteaza pe fusul arborelui 3. Bratul 4 se preseaza separat pe arborele 5. Imbinarea ambelor subansambluri se realizeaza prin presarea fusului 1 in alezajul din bratul 4. Se verifica perpendicularitatea si paralelismul ansamblului. Arborele cotit are o tehnologie de montaj asemanatoare, cu deosebirea ca fusul 1 este prins in unul din brate prin strangere pe con cu ajutorul-piulitei 2.
Controlul final al arborilor cotiti se face cu un dispozitiv special, prevazut cu comparatoare, pentru inregistrarea abaterilor de la coaxiale bratelor arborelui cotit.
CAPITOLUL 4
REPARAREA SI INLOCUIREA ARBORILOR
Arborii sunt iese folosite in constructia masinilor unelte, care primesc si transmit miscarea de rotatie. Metoda de reparatie a arborilor se alege in functie de : material, dimensiuni, natura defectului, valoarea abaterilor, precum si de posibilitatile atelierului de reparatii. La reparatie se controleaza, in primul rand, daca arborele bate defect care se inlatura prin indreptare. Daca arborele este incovoiat, acesta se fixeaza intre varfurile unui strung pentru aprecierea locului sagetii arborelui, apoi se indreapta la rece sau la cald, cu ajutorul unei prese normale. Indreptarea la cald se aplica la arborii cu diametrul peste 50mm.
Jocurile formate intre arbori si lagare se inlatura prin cromare, metalizarea fusurilor, presarea bucselor, strunjirea si rectificarea ulterioara la dimensiune.
Fisurile de pe arbori se sudeaza pe inteaga lor adancime dupa largirea prealabila. Locul de sudat se incalzeste pe intreaga sa lungime si adancime. Dupa sudare, arborii se supun unei prelucrari mecanice.
Arborii rupti se repara prin sudare electrica sau cu gaze sau folosindu-se adaosuri de reparatie. Adaosurile de reparatie servesca la inlocuirea partii rupte a arborelui, precum si la imbinarea celor doua bucati de arbore rupte (a, b, c).
In figura a este reprezentat imbinarea unui arbore rupt 1 prin surubul prizonier 2 si cu sudura. Dupa sudura se strunjeste si apoi se rectifica.
In figura b este reprezentata ca o imbinare cu ajutorul unei piese filetate la ambele capete 2 si cu sudura la imbinare. Adaosul trebuie sa aiba lungimea necesara restabilirii lungimii initiale a arborelui 1 si cu diametru mai mare decat cel al arborelui, pentru ca dupa sudura sa se strunjeasca impreuna.
In figura c este reprezentata o imbinare, in cazul cand se rupe butonul. Acesta se inlocuieste cu un adaos 2, care se infileteaza la un capat si se insurubeaza in arborele rupt, dupa ce s-a strunjit la el o fata dreapta, apoi se sudeaza locul imbinarii. Dupa imbinare se strunjeste si se rectifica.
Daca suprafetele fusurilor sunt uzate, acstea se pot separa prin incarcare cu sudura, dupa ce in prealabil fusul a fost strunjit pentru ca stratul de metal incarcat sa aiba o grosime uniforma. Dupa incarcarea cu sudura, fusurile arborilor se strunjesc, apoi se rectifica. Daca uzura fusurilor nu depaseste 0,15mm pe raza, ele se pot separa prin cromare. In cazul in care este permisa reconditionarea fusurilor prin schimbarea dimensiunilor, atunci se strunjesc sau se rectifica. Inainte de rectificare se verifica starea gauri de centrare a arborelui si daca este uzata se separa prin strunjire, rectificare sau gaurire. Rezistenta la uzura a fusurilor reparate se poate mari prin lustruire.
O alta metoda folosita pentru separarea arborilor uzati este presarea bucselor la reparatie. Aceste bucse se preseaza pe arbore la cald apoi se sudeaza la capete. Dupa montare, bucsele presate se strunjesc si se rectifica.
Canalele de pana de pe arbore care sunt uzate se separa, marindu-le prin frezare si ajustare, folosindu-se apoi pene la dimensiunile corespunzatoare. Daca uzura canalelor este mai mare, acestea se astupa si se frezeaza un alt canal decalat fata de primul.
Filetul uzat la arbore se separa, taindu-l la un diametru mai mic si folosindu-se piulite corespunzatoare. Daca nu se permite schimbarea diametrului, atunci filetul uzat se repara prin inarcare cu sudura si rectificare.
Daca se uzeaza filetul interior, acesta se repara fie prin taierea unui filet la un diametru mai mare sau se alezeaza gaura si se preseaza un buson in care se taie filetul.
Arborii care nu se mai pot repara se inlocuiesc.
CAPITOLUL 5
MASURARI DE TEHNICA SECURITATII MUNCII PENTRU PREVENIREA ACCIDENTELOR DE MUNCA IN ATELIERELE DE LACATUSERIE - MONTAJ
Pentru imbunatatirea conditilor de munca si inlaturarea cauzelor care pot provoca accidente de munca si imbolnaviri profesionale trebuie luate o serie de masurari sarcini ce revin atat conducatorului localului de munca dar si lucratorului.
Acestea sunt :
asigurarea iluminatului, incalziri si ventilatie in atelier;
masinile si instalatiile sa fie echipate cu instructiuni de folosire;
sa fie asigurata legarea la pamant si la nul a tuturor masinilor actionate electric;
masinile sa fie echipate cu ecrane de protectie conform normelor de proiectie a muncii;
atelierele sa fie echipate in locuri vizibile cu mijloace de combatere a incendiilor
atelierul sa fie dotat cu mijloace de ridica pentru manipularea pieselor mai mari de 20 kg
muncitorii sa poarte echipament bine ajustat pe corp cu manecile incheiate iar parul sa fie acoperit sau legat
inainte de inceperea lucrului va fi controlata starea masinilor, a dispozitivelor de pornire-oprire si inversare a sensului de miscare
se va verifica inaintea lucrului daca atmosfera nu este incarcata cu vapori de benzina sau alte gaze inflamabile sau toxice
la terminarea lucrului se deconecteaza legaturile electrice de la prize, masinile vor fi oprite, sculele se vor aseza la locul lor iar materialele si piesele vor fi stivuite in locuri indicate
muncitorii nu se vor spala pe maini cu emulsie de racire si nu se vor sterge pe maini cu bumbacul utilizat la curatirea masinii. Daca pentru spalarea mainilor a fost necesara utilizarea produselor usor inflamabile se vor folosi imediat apa si sapun
cicanele trebuie sa aiba cozi de lemn de esenta tare, fara noduri sau crapaturi; este interzis lucrul cu ciocanele, nicovalele care au fisuri, stirbituri, sparturi sau deformari in forma de floare
la folosirea trasatoarelor se cere atentie pentru a nu produce intepaturi iar dupa utilizare vor fi asezate in truse speciale.
|