CONDUCEREA SCALARA A MASINII ASINCRONE

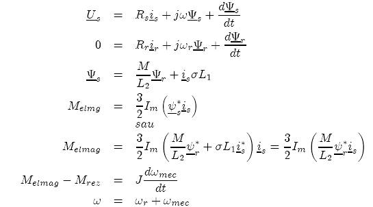
Schema structurala a MA
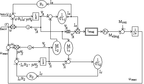
Se foloseste schema din figura urmatoare pentru reglarea turatiei la MA. Marimea prescrisa este ωmec−pulsatia mecanica rotorica (respectiv turatia rotorului n ωmec = 2πn). Prin traductorul de turatie se cunoaste ωmec (respectiv turatia momentana) si prin compararea cu ωmec se calculeaza tensiunea si frecventa, conform schemei de reglare.

Schema de reglare a turatiei la MA
Se folosesc urmatoarele date de proiectare:
PN=2.2[kW] η=0.87
nN 945[rot/min] p=3 cosφ=0.89
IN=5.57[A]
J=0.015[kg*m^2]
Din calcule se obtin:
U=170.14 [V]
s=0.05 alunecarea
MelmN=22.24 [Nm]
R R
I =2.78 [A]
L =0.27[H] L2=0.28 [H]
M=0.2 [H]
Mrez=0.5* MelmN


Stabilirea conditiilor initiale
Deoarece suntem in regim stationar,derivatele se anuleaza si rezulta urmatorul sistem algebric :

Stabilirea conditiilor finale

Tensiunea U si frecventa (respectiv pulsatia statorica ω) se modifica brusc de la valorile initiale la cele finale(tranzitia intre punctul initial si final).
J=0.015[kgm˛]

Dupa inlocuirea datelor din conditiile initiale, vom avea urmatorul sistem:

Am introdus datele si sistemul de mai sus in programul MAPLE 11.01 pentru a vizualiza tranzitia intre punctul initial si cel final.


Se vor reprezenta grafic, ca variatie in timp pulsatia,cuplul, fluxul statoric,
fluxul rotoric si curentul statoric.

Variatia vitezei unghiulare mecanice

Variatia cuplului electromagnetic

Variatia fluxului rotoric

Evolutia curentului statoric
ACTIONARE VECTORIALA
STRUCTURI DE CONDUCERE CU UN REGULATOR
Modificarea tensiunii de alimentare este impusa de regulatorul P sau PI si frecventa urmareste variatia tensiunii. Folosirea unui singur regulator este posibila prin faptul ca tensiunea (sau frecventa) statorica se calculeaza din conditia de flux rotoric maxim.
Schema de conducere prezinta avantaje¸ si dezavantaje :
avantaje:
- folosirea unui singur regulator în loc de doua cum este cazul la schemele
clasice;
- realizarea simpla a constantei fluxului rotoric la valoarea maxima ;
- pret de cost scazut¸ si fiabilitate marita obtinuta din simplitatea schemei
de conducere ;
dezavantaje
- nu se decupleaza comanda în flux¸ si cuplu ca în schemele clasice¸ si deci
rapiditatea de raspuns este din acest motiv diminuata datorita inductantelor ce
apar în definirea fluxului ;
- foloseste pentru tensiune¸ si frecventa blocuri de calcul deduse pentru
regimul stationar¸ si deci în procese foarte rapide pot apare probleme în corelarea
tensiunii¸ si frecventei pentru a avea un flux rotoric maxim, fara a intra în zona
de saturatie.


Se pastreaza punctual initial de la problema anterioara de actionare scalara,fara regulator, si se doreste ajungerea la turatia finala de 2900 rmp cu ajutorul unui regulator PI(proportional integrator).
Se rezolva sistemul neomogen de ecuatii diferentiale rezultat din modelul masinii la care se adauga ecuatia regulatorului. Acest sistem se va implementa in programul MAPLE 11.01



Evolutia vitezei unghiulare mecanice

Evolutia cuplului electromagnetic

Evolutia fluxului rotoric

Evolutia fluxului statoric
Concluzii
Oscilatiile tensiunii statorice se transmit în cuplu¸ si flux. Amplitudinile
acestor oscilatii se pot controla prin valorile constantelor regulatorului PI.
Valoarea momentului de iner¸tie J influenteaza valorile amplitudinilor
oscilatiilor în sensul ca la momente de inertie mici( J=0.0001[kgm2] ) oscilatiile sunt mai pronuntate¸ si dispar la valori mari ale lui J (ex: J = 1[kgm2] )
Oscilatiile sunt prezente mai ales la curenti, cupluri, fluxuri¸ si mai putin
se manifesta la turatiile motorului.
Fluxul rotoric este mentinut în vecinatatea valorii nominale.
Viteza unghiulara mecanica si pulsatia tind asimptotic la valoarea prescrisa.
La reversari ale turatiei în gol sau în sarcina se recomanda structurile de
conducere scalare care nu introduc suprareglari.
Structurile de conducere vectoriala cu un singur regulator sunt tot atât
de performante ca¸ si cele clasice cu doua regulatoare.
Structurile de conducere directa în frecventa( respectiv pulsatie statorica - ω)¸ si tensiune se bazeaza pe comportarea sistemului în regim stationar, dar rezultatele simularilor numerice conduc la concluzia ca în regim tranzitoriu
fluxul rotoric (marimea prescrisa) nu se modifica semnificativ(ramâne
apropiat valorii nominale).
Structurile de conducere scalare cu ωr = variabil este simpla, ieftina si robusta dar fara posibilitatea corectarii erorilor ce intervin în estimarea parametrilor¸ si deci se poate folosi la lifturi, tractiune electrica, dar nu si la masinile unelte.
Structurile de conducere scalare nu pun problema de acordare regulatoarelor
care, în anumite situatii pot duce la suprareglaje.
Sistemele de conducere cu regulatoare de tip P sunt în general putin
folosite în practica, iar la MA folosirea lor pune urmatoarele probleme :
-la anumite valori ale constantei K sistemul este instabil ;
-la orice valori ale lui K apare suprareglajul ;
-din cauza suprareglajului timpul de reglare se extinde foarte mult
mai ales când se impun abateri mici de la valorile turatiei prescrise ;
-micsorarea vârfurilor la suprareglaj duce la marirea timpului de reglare
Regulatoarele de tip PI sunt cele mai des utilizate în sistemele de conducere
deoarece prin cele doua
constante ale sale (
reduse.
|