Vitamina C este un nutrient esential vietii, solubil īn apa, implicat īn productia de glucocorticosteroizi si de anumiti neurotransmitatori (substante care permit transmisia influxului nervos), īn metabolismul glucozei, al colagenului, al acidului folic si al anumitor aminoacizi, īn neutralizarea radicalilor liberi si a nitrozaminelor, īn reactii imunologice, care faciliteaza absorb# 858s187i 5;ia fierului la nivelul tubului digestiv.

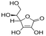
Structura chimica a vitaminei C.
Savantul maghiar Szent Gyorgyi Albert a fost primul care a reusit sa extraga vitamina C din ardei si pentru aceasta descoperire a primit premiul Nobel. In timp au aparut si alte produse cu vitamina C obtinute din surse naturale (macese, lamai).
Vitamina C sau acidul ascorbic este una din cele mai cunoscute vitamine.Denumirea ei provine de la proprietatea de a vindeca scorbutul,boala cea decimat populatia de-a lungul istoriei.
Proprietati
Vitamina C prezinta o importanta capitala pentru organism. Principalele ei proprietati sunt urmatoarele:
o intervine in fenomenele de oxidoreducere, fiind cel mai puternic antioxidant;
o este antiinfectioasa, tonifianta, antitoxica;
o participa la asimilarea de catre organism a fierului;
o previne si vindeca scorbutul;
o mareste rezistenta vaselor sanguine ;
o contribuie la formarea globulelor rosii, a dintilor si oaselor;
o are rol de reglare a nivelului glicemiei si al colesterolului, de distrugere a toxinelor acumulate in organism;
o intervine in buna functionare a tesuturilor, precum si a diferitelor organe;
o participa la transformarile chimice ale proteinelor, lipidelor si glucidelor, la formarea substantelor intercelulare ;
o diminueaza perioadele de convalescenta;
o este eficienta in reducerea ritmului de opacjfiere a cristalinului (indeosebi la persoanele varstnice);
o intarzie aparitia cataractei si-i reduce gravitatea cu cca 50%;
o impiedica depunerea grasimilor la nivelul ficatului asigura functionarea normala a celulei hepatice;
o intervine in metabolismul carotenilor ;
o protejeaza acidul folie ;
o are actiune antialergica ;
o ca laxativ natural;
o scade incidenta aparitiei de cheaguri in vasele sanguine;
o mareste gradul de absorbtie a fierului organic;
o reduce efectele unui numar mare de alergeni;
o asigura coeziunea celulelor proteice, marind astfel durata vietii.
pentru un adult sanatos este de 73 mg/zi. La femeile aflate in perioada de
graviditate, acesta este de cea 100 mg/zi, iar la cele care alapteaza - de 50
mg/zi. Necesarul de vitamina C al copiilor este de 1,5-2 mg/kilogram-corp/zi,
in functie de varsta. Sunt si autori care recomanda doze de vitamina C mai
mici. Aportul de vitamina C trebuie marit pentru muncitorii care lucreaza in
mediu cu plumb, benzen sau lacuri, precum si in cazul sportivilor, in
perioadele de antrenament (pana la 200 mg/zi). De asemenea, necesarul este mai
mare in unele cazuri patologice cu metabolismul crescut, apoi in bolile
infectioase, tuberculoza, ulcer gastric si ulcer duodenal, precum si la
varstnici si la fumatori (fiecare tigara fumata distruge intre 25 si 100 mg)
etc. Vitamina C este consumata mult mai repede in conditii de stres. Actiunea
antiaterosclerotica, anticolesterolica a vitaminei C, precum si procesul de
activare a circulatiei sanguine capilare datorat acesteia sunt favorizate prin
asocierea ei cu vitaminele B3 si P.
Surplusul de vitamina C se elimina rapid din organism.
Hipovitaminoza C se evidentiaza prin urmatoarele simptome : oboseala, sangerari ale pielii si a mucoaselor, umflarea dureroasa a incheieturilor, incetinirea cresterii, tulburari in activitatea sistemului nervos si a celui muscular, diminuarea rezistentei organismului la infectii, fragilizarea capilara si aparitia hemoragiilor gingivale, respiratie greoaie, dureri ale oaselor, tahicardie, paradontoza, hipotensiune arteriala, acumularea de colesterol in organism (hipercolesterolemie), instalarea asteniei de primavara etc. In cazul hipovitaminozelor C severe, apare si afectiunea cunoscuta sub denumirea de scorbut ("boala marinarilor"). Profilaxia hipovitaminozei C se poate realiza usor, prin asigurarea unui aport zilnic corespunzator, deoarece aceeasi vitamina nu se acumuleaza in organism, excesul fiind eliminat in permanenta pe cale renala.
Carenta īn vitamina C, rara īn tarile īn curs de dezvoltare si exceptionala īn tarile industrializate. Este responsabila de aparitia scorbutului, o forma de avitaminoza. Cauzata de un aport alimentar insuficient, unei malabsorbtii digestive, unei cresteri a necesitatilor sau unei eliminari excesive, carenta apare de cele mai multe ori la subiectii vārstnici, alcoolici, suferind de malabsorbtie cronica sau supusi unei hraniri prin perfuzii nesuplimentate īn vitamina C. Ea se traduce prin oboseala si anemie, dureri osteoarticulare, edeme, gingivita si pierderea dintilor, hemoragii, imunitate scazuta. Era o afectiune foarte des īntālnita la marinarii care plecau īn voiaje lungi sau pe perioada iernii, din cauza ca fructele si legumele nu puteau fi pastrate proaspete pentru foarte mult timp.
Starile de subcarenta (stadiul care precede carenta) ar fi mult mai numeroase, iar actualmente se pune īntrebarea referitoare la eventualele relatii īntre un defect de aport īn vitamina C si diverse boli (cancer, boli cardiovasculare, cataracta etc.).
Vitamina C este recunoscuta ca fiind una dintre cele mai putin toxice substante din medicina
Niveluri insuficiente de enzima, o tulburare genetica, poate predispune unii indivizi la anemie hemolitica dupa ingerarea unor substante oxidante prezente īn alimentatie sau medicamente.
Strucura chimica
Acidul ascorbic este y-lactona acidului 2,3-ediol-l-gluconic si are in solutie puternice proprietati oxidoreducatoare .Prin oxidare trece in acid dehidroascorbic,care la randul sau participa usor la reactie de reducere trecand reversibil in acid ascorbic.
Acidul ascorbic este un acid organic cu proprietati antioxidante. Apare sub forma unei pudre sau unor cristale albe spre galben deschis. Este solubil īn apa. Enantiomerul L al acidului ascorbic este cunoscut sub numele comun de vitamina C.
|
Formula chimica |
C6H8O6 |
|
Masa molara |
176,12 g/mol |
|
Punct de topire |
190 - 192 °C (descompunere) |
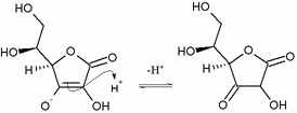
Cei doi hidroxili (-OH) din partea de jos, de la legatura dubla sunt enoli. Un enol pierde o pereche de electroni, devenind o grupare oxoniu (=OH+), prin crearea unei legaturi duble cu atomul de carbon. Simultan, legatura dubla carbon-carbon (dintre enoli) īsi transfera electronii pentru a forma o legatura dubla cu urmatorul carbon. Pentru a face loc, electronii legaturii duble a grupei carbonil sunt primiti de oxigenul carbonilului, pentru a forma un enolat. Oxoniul se deprotoneaza prompt pentru a produce un carbonil, iar aceasta pierdere de protoni da acidului ascorbic caracterul sau acid. Īntreaga reactie este deprotonarea enolului pentru a forma un enolat, unde sarcina negativa a enolatului rezultat este delocalizata de sistemul carbonil (C=O) si de dubla legatura (C=C). Aceasta delocalizare face ionul mult mai stabil si mai putin probabil sa īsi reprimeasca protonul.

Acidul ascorbic se converteste foarte
repede īn doi tautomeri
instabili ai dicetonei
prin transfer de protoni, desi este mai stabil sub
forma de enol. Protonul enolului este pierdut si recāstigat de
electronii dublei legaturi, producānd o dicetona. Aceasta este o
rectie de enol.
Exista doua forme posibile: 1,2-dicetona si 1,3-dicetona.
Concentratia unei solutii de acid ascorbic poate fi determinata prin mai multe metode, cele mai comune implicānd titrarea cu un agent oxidant.
Un agent oxidant des folosit este colorantul 2,6-diclorofenol-indofenol, sau, pe scurt, DCPIP. Colorantul albastru este introdus īn solutia de acid ascorbic pāna cānd o culoare roz pal apare timp de 15 secunde.
O alta metoda implica folosirea iodului si un indicator de amidon. Iodul reactioneaza cu acidul ascorbic, iar cānd tot acidul ascorbic este consumat, iodul, aflat īn exces, reactioneaza cu amidonul, formānd un complex de culoare albastra. Aceasta indica sfārsitul reactiei de titrare.
Metoda de mai sus care implica iodul necesita crearea si standardizarea solutiei de iod. O alta cale o reprezinta generarea iodului īn prezenta acidului ascorbic prin reactia ionilor iodat si iodin īn solutie acida.
Un agent de oxidare mai putin īntālnit este N-bromosuccinimida, (NBS). Īn aceasta titrare, NBS oxideaza acidul ascorbic (īn prezenta de iodura de potasiu si amidon). Cānd NBS este īn exces (de exemplu, reactia este completa), acesta elibereaza iodul din iodura de potasiu, care formeaza cu amidonul un complex de culoare albastra, indicānd sfarsitul titrarii.
Acidul ascorbic este oxidat foarte usor si de aceea este folosit ca reducator īn solutiile de developare fotografica si drept conservant.
Expunerea la oxigen, metale, lumina si caldura distrug acidul ascorbic, deci trebuie pastrat la īntuneric si racoare, īntr-un recipient non-metalic.
Forma oxidata a acidului ascorbic se numeste acid dehidroascorbic.
Acidul ascorbic si sarurile sale de sodiu, potasiu si calciu sunt des folositi ca aditivi alimentari antioxidanti. Acesti compusi sunt solubili īn apa si, deci, nu pot proteja grasimile de oxidare: pentru acestea, esterii liposolubili ai acidului ascobic cu catena lunga de acizi grasi (ascorbil palmitat sau ascorbil stearate) pot fi folositi drepti antioxidanti.
Numele aditivilor alimentari europeni relevanti sunt: E300 acid ascorbic, E301 ascorbat de sodiu, E302 ascorbat de calciu, E303 ascorbat de potasiu, E304 esteri ai acidului ascorbic cu acizi grasi ascorbil palmitat,ascorbil stearat.
Rolul
Are o importanta capitala pentru organism, intervenind in procesele de oxido-reducere. Are rol anti-infectios, tonifiant, participa la detoxifierea organismului si la folosirea rezervelor de fier, protejeaza vitaminele A si E, economiseste vitaminele din complexul B.
Acidul dehidroascorbic participa la diferite procese metabolice datarita capacitatii sale de a forma un sistem oxidoreducator reversibil.Acidul ascorbic se comporta in unele sisteme enzimatice ca un transportor de hidrogen intervenind in reactii catalizate de oxireducere(dehidrogenre,catalaze,peroxidoze,citocromodoze etc.).In respiratia celulara acidul ascorbic reactioneaza cu oxigenul reducandu-l la apa sau apa oxigenata.Intervine in metabolizrea normala a unor aminoacizi(ca tiroza),in reactii de hidroxilare a unor aminoacizi,compusi aromatici si acizi grasi,intervine in formarea in organism aunor compusi cetonici ca hormoni 17-cetosteroizi.
Ascorbatul se compora ca un antioxidant prin disponibilitatea sa de a se oxida īn conditii energetice favoranile. Oxidantii precum redicalul hidroxil (format din peroxid de hidrogen), contin un orbital monoelectronic si de aceea sunt foarte reactivi si daunatori oamenilor si plantelor la nivel molecular. Acest lucru are loc datorita interactiei lor cu acizii nucleici, proteinele si lipidele. Speciile de oxigen reactiv pot 'extrage' un atom hidrogen din ascorbat, care devine astfel monodehidroascorbat, dar imediat cāstiga un alt electron pentru a redeveni dehidroascorbat. Speciile de oxigen reactiv sunt reduse la apa, īn timp ce formele de ascorbat oxidat sunt relativ stabile si nereactive, necauzānd nici un rau celulei.
Fructele citrice (lamāie verde, lamāie, portocala, grepfrut), tomatele si cartofii sunt surse comune si foarte bune de vitamina C. Alte alimente care sunt bune surse de vitamina C includ papaya, broccoli, varza de Bruxelles, coacaze, capsuni, conopida, spanac, pepene galben si kiwi. De asemenea, merisoarele si ardeii iuti sunt surse bogate īn vitamina C.
Cantitatea de vitamina C din alimente provenite din plante depind de:
Urmatorul tabel arata abundenta relativa a vitaminei C īn plante crude. Cantitatea este exprimata īn mg la 100 grame de fruct sau leguma:
|
3.Sinteza chimica artificiala Vitamina C este produsa din glucoza prin doua metode principale. Procesul Reichstein, dezvoltat īn anii 1930, foloseste o singura pre-fermentare, urmata de o cale pur chimica. Procesul de fermentatie modern īn doi pasi este originar din China, dezvoltat īn anii 1960, si foloseste fermentatia aditionala pentru a īnlocui partial pasii chimici urmatori. Ambele procese transforma īn vitamina C aproximativ 60% din glucoza introdusa. Document InfoAccesari: 12512 Apreciat: Comenteaza documentul:Nu esti inregistratTrebuie sa fii utilizator inregistrat pentru a putea comenta Creaza cont nou A fost util?Daca documentul a fost util si crezi ca meritasa adaugi un link catre el la tine in site in pagina web a site-ului tau.
Copyright © Contact (SCRIGROUP Int. 2025 ) |