ROLUL sI FUNCŢIILE SISTEMELOR DE CALCUL
1.1. Informatia
Definitie: informatia este un mesaj obiectiv care elimina nedeterminarea īn legatura cu realizarea unui eveniment.
Informatia poate fi sub forma de :
desene
sunete
numere
texte
imagini
Prima problema care s-a pus la constructia calculatoarelor a fost alegerea sistemului de numeratie ce va fi utilizat pentru prelucrarea informatiei numerice.
Omul lucreaza īn sistemul de numeratie zecimal folosind īn scrierea numerelor 10 simboluri numite cifre: 0, 1, ..., 9. Numarul de simboluri utilizate determina sistemul de numeratie īn care a fost scris un numar oarecare.
Sistemul de numeratie ales pentru constructia calculatorului a fost sistemul binar. El contine doua simboluri: 0 si , cu ajutorul carora se pot reprezenta numere de orice dimensiuni.
Unitatea de masura folosita pentru masurarea cantitatii de informatie se numeste informatie elementara. Ea este informatia furnizata prin precizarea unei variante din 2 posibile. Daca celor 2 variante li se asociaza cele 2 cifre binare 0 si , īnseamna ca informatia va putea fi reprezentata īn sistemul de numeratie binar. Informatia elementara se mai numeste BIT ( BInary digiT ). Bitii se grupeaza cīte 8 si formeaza 1 byte sau 1 octet. Deci :
1 byte ( se scrie 1 B ) sau 1 octet = 8 biti
Daca unitatile de masura cunoscute ( metrul, gramul ) folosesc pentru construirea multiplilor factorul de multiplicare 10, 100, 1000 ( = 103 ), unitatile de informatie folosesc ca factor de multiplicare 210 = 1024, astfel:
210 octeti = 1024 octeti = 1 Ko ( kilooctet ) = 1 KB ( Kilobyte )
210 Ko = 1024 Ko = 1 Mo ( 1 Megaoctet ) = 1 MB ( 1 Megabyte )
210 Mo = 1024 Mo = 1 Go (1 gigaoctet ) = 1 GB ( 1 Gigabyte ) .......
Pentru a codifica textele īn binar se foloseste codul ASCII ( American Standard Code for Information Interchange ). Cu 8 cifre binare ( 8 biti ) s-a construit acest cod care permite realizarea a 28 = 256 combinatii. Acestea sīnt suficiente pentru a reprezenta litere mari / mici, cifrele, semne speciale, comenzi, semnale, etc. Īnseamna ca orice tasta apasata va trimite catre procesor un octet specific, unic.
1.2. Ce este calculatorul ?
Definitie : calculatorul este o masina care trebuie sa stie sa prelucreze informatia. Orice informatie manipulata de calculator va fi modelata sub forma de secvente de biti.
Calculatorul este un ansamblu de circuite electrice, electronice si parti mecanice, ansamblu numit HARDWARE, adica partea fizica, vizibila a calculatorului. Partea logica, invizibila a calculatorului este formata din programe, numite SOFTWARE, care sīnt ansambluri de comenzi de operatii numite instructiuni, care se dau calculatorului pentru a prelucra īntr-un anumit mod informatia.
1.3. Informatica
Definitie : informatica este un complex de discipline prin care se asigura prelucrarea rationala a informatiilor folosind calculatoarele.
Astazi informatica e divizata īn 9 subdomenii:

1.4. Structura unui sistem de calcul
Prelucrarea informatiei se realizeaza dupa urmatoarea schema:

Pentru realizarea acestor operatii, calculatorul este alcatuit din cele 2 componente mai sus amintite: HARDWARE si SOFTWARE .
1.4.1. Componenta HARDWARE
Functiile componentei Hardware:

a) functia de memorare
memoria interna - locul īn care sīnt aduse programele si datele pentru a fi prelucrate de procesor
memoria externa - suporturi de informatie externe
b) functia de prelucrare - asigurata de Unitatea Aritmetico - Logica ( UAL )
c) functia de comanda si control - asigurata de Unitatea de Comanda si Control ( UCC )
d) functia de intrare / iesire - asigurata de :
dispozitive periferice de intrare / iesire
interfete de intrare / iesire
1.4.2. Componenta SOFTWARE
Contine doua mari componente:
a) sistemul de operare
b) programele de aplicatie ( aplicatiile sau programele )
Caracteristicile unui calculator sīnt:
capacitate mare de memorare
viteza de prelucrare foarte mare
controlul operatiilor executate printr-un program memorat
precizia executiei operatiilor
lipsa intuitiei - calculatorul nu poate face decīt acele instructiuni pe care le-a primit de la om ( utilizator ), fara sa stie daca este corect sau nu.
1.5. Componentele unui calculator PC
Privit din exterior un PC are urmatoarea alcatuire:
o cutie numita unitate centrala
o tastatura (keyboard)
un ecran (display)
Īn interior avem:
placa de baza (system board sau mother board) cu diverse circuite electronice:
microprocesor
ceas (clock)
memorii ROM si RAM
sursa de alimentare (power supply) - furnizeaza maxim 12 V DC
conectori la magistrala (bus connectors) - conecteaza la placa de baza placile adaptoare sau interfetele
placi adaptoare sau interfete
adaptorul / placa video (display screen adapter) - transforma comenzile calculatorului īn imagini pe ecran
adaptorul unitatii de disc (disk drive adapter)
placi de memorie (memory boards)
porturi serial si paralel (serial and paralel ports) - pentru conectarea imprimantei si modemului
Configuratia generala a unui calculator poate sa contina urmatoarele dispozitive periferice:
dispozitive de intrare
tastatura (keyboard)
mouse (mouse)
scanner (scanner)
creion optic
microfon
dispozitive de iesire
ecran (display)
imprimanta (printer)
plotter (plotter)
difuzoare
dispozitive de intrare / iesire
placa video
placa de sunet
modem (modem)
memorii externe
HDD - hard disk (Hard Disk Drive)
disc flexibil (Floppy Disk)
disc compact (CD-ROM, CD-RW, DVD, DVD +/- R / RW)
carduri de memorie - Secure Digital, Memory Stick, Flash Pen Drive, ...
caseta magnetica
Calculatoarele pot fi:
de birou
desktop - cu unitatea centrala pe orizontala
mini-tower - cu unitatea centrala pe verticala
portabile - laptop sau notebook ( PDA - Personal Digital Assistant )
Barebone - calculatoare specializate pentru multimedia
1.5.1. Microprocesorul - caracteristici
P Tipul microprocesorului - defineste apartenenta lui la o familie de microprocesoare ce au caracteristici comune. Pe piata actuala avem procesoare:
Intel - folosite la calculatoarele IBM sau compatibile IBM
AMD- folosite la calculatoarele compatibile IBM
Motorolla - folosite la calculatoarele Macintosh realizate de firma Apple
P Frecventa de lucru a microprocesorului - este frecventa de tact a ceasului. Ea se masoara īn Mhz (megahertzi, adica milioane de impulsuri pe secunda). Cu cīt frecventa e mai mare, procesorul e mai performant
P Cuvīntul microprocesorului - este numarul de biti care pot fi prelucrati la un moment dat de procesor. Cuvīntul poate fi de 8, 16, 32, 64 biti. Cu cīt cuvīntul are mai multi biti, viteza de lucru a procesorului este mai mare
P Viteza de lucru a microprocesorului - viteza cu care procesorul executa o instructiune. Viteza se masoara īn MIPS (milioane de instructiuni pe secunda - Millions of Instructions executed Per Second). Un procesor performant are viteza de ordinul 20 MIPS.
1.5.2. Memoria interna
a) Memoria ROM (Read Only Memory)
este o memorie din care se poate citi, dar īn care nu se poate scrie
este remanenta - la scoaterea de sub tensiune a calculatorului, informatia din ea se pastreaza
e folosita pentru memorarea unui microprogram destinat initierii lucrului cu calculatorul la punerea lui sub tensiune
b) Memoria RAM (Random Access Memory)
memorie din care se poate citi si īn care se poate scrie
este o memorie volatila la scoaterea de sub tensiune a calculatorului, informatia din ea se pierde
pastreaza programele sistemului de operare si ale utilizatorului īn timpul lucrului
de marimea ei depind drastic performantele sistemului de calcul
1.5.3. Tastatura
Tastatura contine īn mod obisnuit 4 blocuri de taste:
tastatura alfanumerica - contine taste aranjate conform standardului de la masinile
de scris.
Cu ele se pot genera:
caractere
cifre: 1, 2, ..., 9, 0
litere mici sau mari
semne speciale
spatiu - tasta Space
comenzi
retur de car si salt la linie noua - tasta Enter (simbolizata si cu semnul
saltul cursorului cu un numar de coloane - tasta Tab (tasta de tabulare)
īntreruperea executarii unui program - tasta Esc (Escape)
copierea īn memoria RAM a imaginii ecranului - tasta Print Screen
suspendarea temporara a executarii unui program - tasta Pause / Break
tastatura de editare - a edita un text īnseamna a-l scrie si a-l corecta. Textul e afisat pe ecran īnsotit de o bara mica verticala sau orizontala numita cursor, care arata pozitia īn care se va scrie urmatorul caracter.

Cu tastele de editare se pot executa urmatoarele operatii:
deplasare īn text:
taste cu sageti - deplaseaza cursorul cu o pozitie īn sensul sagetii
tastele Page Up / Page Down - deplaseaza cursorul cu o pagina īn sus / jos
tasta Home - deplaseaza cursorul la īnceput de text
tasta End - deplaseaza cursorul la sfīrsit de text
stabilirea tipului de corectura - tasta Insert comuta īntre:
corectura cu suprascriere - caracterul scris de la tastatura va fi scris īn pozitia cursorului, iar caracterul din pozitia cursorului se distruge
corectura cu inserare - caracterul scris de la tastatura va fi scris īn pozitia cursorului, caracterul introdus de la tastatura va fi scris īn pozitia cursorului, iar textul va fi īmpins la dreapta o pozitie
stergerea īn text: se poate face īn doua moduri, folosind una din tastele:
Delete - sterge īn o pozitie dreapta cursorului
Backspace sau : sterge o pozitie īn stīnga cursorului
tastatura numerica - folosita pentru lucrul cu date numerice. Tastatura numerica functioneaza tastīnd numere numai daca este activata functia NumLock, lucru semnalat prin aprinderea unui led verde īn dreptul optiunii cu acelasi nume.

taste functionale - dau comenzi diferite īn functie de programul īn care se
lucreaza la un moment dat
Pentru generarea codurilor de caractere si comenzi, exista 2 tipuri de taste:
taste reci - Shift, Ctrl (se citeste Control) si Alt -la apasarea uneia din ele, fara a apasa simultan si alta tasta, nu se da nici o comanda.
taste calde - celelalte taste, care actionate, genereaza cod inteligibil pentru calculator, reprezentīnd un caracter sau o comanda.
O tasta rece se foloseste īmpreuna cu o tasta calda pentru a schimba codul acesteia din urma. Aceasta combinatie se noteaza astfel: tasta rece + tasta calda. De exemplu: Ctrl + C.
Tastarea combinatiei se face astfel: se apasa tasta rece si se tine apasata, apoi se apasa o singura data tasta calda.
Pe tastatura alfanumerica observati numai litere mari, dar la apasarea lor se tasteaza litere mici. Pentru a tasta ocazional o litera mare, se foloseste combinatia Shift + tasta literei dorite.
Tot pe tastatura alfanumerica exista taste cu doua semne speciale desenate pe acestea. Regula de scriere este urmatoarea: apasarea tastei introduce semnul de jos de pe buton; Shift + aceeasi tasta introduce semnul de sus de pe buton.
Mai exista un tip de taste, care comuta anumite functiuni ale unor anumite taste īntre doua valori posibile. Ele se numesc taste comutator si sīnt urmatoarele:
tasta Caps Lock - comuta īntre scrierea numai cu litere mici (ledul Caps Lock stins) si scrierea numai cu majuscule
tasta Num Lock
tasta Insert
1.5.4. Mouse-ul
Este un dispozitiv periferic de intrare. Miscarea lui pe masa de lucru e īnsotita de miscarea unui semn grafic pe ecran, numit cursor de mouse.
Cu ajutorul lui se pot executa, īn mod obisnuit, 5 operatii:
P indicare (point) - doar se asaza vīrful sagetii cursorului de mouse pe obiectul dorit
P clic (click) - se actioneaza o data, scurt un buton al mouse-ului
o stīnga
o dreapta
P dublu clic (double click) - se actioneaza scurt, de doua ori succesiv un buton al mouse-ului
P glisare sau tragere (drag and drop) - se tine apasat un buton si se deplaseaza mouse-ul pe masa reala
P derulare - folosind rotita de scroll
1.5.5. Scanner-ul
Este un dispozitiv de intrare care "citeste" imagini, care sīnt formate din puncte de culoare si le transforma īn informatie (biti). El e caracterizat prin:
P Rezolutie - este numarul de puncte / inch pe care le poate citi scanner-ul. Inch-ul este o unitate de masura pentru lungime. 1 inch = 25,4 mm . Rezolutia se masoara īn dpi (dots per inch - puncte pe inch). Cu cīt rezolutia este stabilita la o valoare mai mare, cu atīt imaginea scanata se apropie de realitate.
P Numar de culori - este setul de culori pe care le poate distinge scanner-ul
P Viteza de scanare - este viteza cu care un scanner citeste si prelucreaza o imagine
1.5.6. Monitorul
Monitorul transforma pe ecran informatia sub forma de biti trimisa de placa video īn imagine. Pe ecran se gasesc puncte mici de culoare, numite pixeli (rosu, verde si albastru). Caracteristicile monitoarelor:
P Tipul constructiv
o cu tub CRT
o cu cristale lichide
o cu plasma
P Diagonala - 14, 15, 17, 19, 21, 24, ... inch
P Radiatia monitorului - se recomanda folosirea de ecrane de protectie sau monitoare Low Radiation
P Tipul semnalului folosit
o Cu semnal analogic
o Cu semnal digital
P Rezolutie - este numarul de pixeli de pe ecran. Pixelul este un punct de culoare de pe ecran. Valoarea rezolutiei se obtine astfel: nr. de pixeli pe orizontala x nr. de pixeli pe verticala. Cu cīt rezolutia e mai mare, imaginea e mai clara
P Definitie - este distanta dintre doua puncte pe ecran (de ex. 0,28 mm). Cu cīt definitia e mai mica, imaginea e mai clara
P Numar de culori - este numarul de culori folosite pentru crearea imaginii. Valori uzuale: 256, 216 (culori codificate pe 16 biti), 224, 232 .
P Viteza de afisare - depinde viteza cu care placa video poate prelucra imaginile si de memoria folosita pentru stocarea imaginii
P Rata de refresh - frecventa de īmprospatare a imaginii īn plan vertical - se masoara īn Hz
1.5.7. Imprimanta
Este un dispozitiv periferic de iesire prin care calculatorul comunica rezultatele prelucrarii datelor pe un suport de hīrtie, plastic, textil. Respectivul suport este parcurs de imprimanta īntr-un singur sens.
Caracteristici:
P rezolutie - numar de puncte afisate / inch. Se masoara īn dpi
P viteza - se masoara īn ppm (pagini pe minut) sau cpm (caractere pe minut)
P dimensiunea maxima a hīrtiei - dimensiune uzuala: A4 (210 x 297 mm)
P memorie proprie - este memoria proprie a imprimantei, īn care se memoreaza, pe rīnd, informatiile ce urmeaza a fi tiparite
Tipuri de imprimante īn functie de modul de imprimare:
P matriciale (Dot Matrix Printer) - au capete de imprimare cu 9, 18 sau 24 de ace care īnteapa o banda tusata. Sīnt lente, zgomotoase dar ieftine
P cu jet de cerneala (Ink-Jet Printer) - arunca stropi foarte fini de cerneala pe suportul de imprimare. Nu sīnt asa zgomotoase, ofera calitate si viteza mult mai buna ca cele matriciale. Pot tipari īn culori.
P laser (Laser Printer) - se bazeaza pe principiul fotocopiatoarelor. Razele laser polarizeaza un cilindru care atrage o substanta numita toner care apoi e depusa termic pe suportul de imprimare. Imprimarile au cea mai buna calitate, dar imprimantele sīnt īnca destul de scumpe.
P termice - tiparesc informatia prin fixarea termica a vaporilor de cerneala pe o hīrtie speciala (ca la fax). Sīnt mai lente decīt cele laser sau cu jet.
Pentru ca imprimanta sa "īnteleaga" sarcina de tiparire a informatiei trimisa de calculator, este necesar ca imprimanta sa fie "instalata", adica sa fie instalat pe calculator un program numit "driver de imprimanta", specific fiecarui tip de imprimanta īn parte.
1.5.8. Plotter-ul
Este un dispozitiv periferic de iesire prin care calculatorul deseneaza pe hīrtie imagini de mare precizie: harti, desene tehnice, etc.
Avantaje:
hīrtia poate fi parcursa īn orice sens
accepta formate mari de hīrtie
precizie mare a desenelor
1.5.9. Modem-ul
Este un periferic care asigura legatura de date īntre calculator si linia telefonica. Modemul poate fi intern sau extern.
1.5.10. Placa video / de captura
Este un dispozitiv periferic de intrare / iesire care asigura transformarea semnalului digital transmis de procesor īn imagine pe ecranul monitorului, sau preluarea de imagine de la o sursa (antena TV, cablu TV, videocasetofon) si prelucrarea semnalului prin digitizare pe calculator.
1.5.11. Placa de sunet
Este un dispozitiv periferic de intrare / iesire care asigura transformarea semnalului digital transmis de procesor īn sunet sau digitizarea semnalului transmis catre calculator de un microfon, casetofon, CD-Player sau instrumente muzicale electronice.
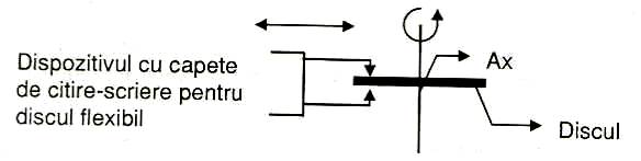
1.5.12. Discul flexibil ( Floppy Disk)
Este o memorie externa pentru a carei citire / scriere se foloseste unitatea de dischete.
folie de plastic acoperita cu un strat feromagnetic
carcasa de protectie din plastic
disc de fixare si antrenare
fanta de citire / scriere a discului
fanta de protectie la scriere - īn pozitie "deschis", discheta poate fi doar citita si nu se permite scrierea
Functionare
Suprafata discului e īmpartita īn cercuri concentrice numite piste (tracks) iar pistele sīnt īmpartite la rīndul lor īn arce de cerc egale numite sectoare (sectors). Capacitatea de memorare a unui sector este de 512 bytes ( 512 B ). Operatia de īmpartire a suprafetei discului īn piste si sectoare se numeste formatare. Formatarea e facuta de unitatea de disc, la cererea utilizatorului. Densitatea de īnregistrare a datelor pe disc se masoara īn tpi (tracks per inch). Putem avea dischete:
DD - Double Density - densitate dubla - capacitate de 720 KB
HD - High Density - īnalta densitate - capacitate de 1,44 MB
ED - Extended Density - densitate extinsa - capacitate de 2,88 MB
Īn unitatea de disc au loc doua miscari:
rotatie a discului īn jurul axului (pentru dischete viteza este de 360 rotatii / minut)
translatie a capetelor de citire / scriere
Tehnica de lucru cu dischetele: īntretinere, protectie, virusi
1.5.13. Hard Discul
HD este un pachet de discuri asemanator celor flexibile, care este montat īn interiorul calculatorului (HD intern), sau conectat prin mufa USB (HD extern).
Pistele de aceeasi raza formeaza un cilindru. Pentru identificarea informatiei pe disc, fiecare sector e caracterizat prin:
numarul cilindrului (corespunde cu pistei)
numarul pistei īn cadrul cilindrului (corespunde cu numarul fetei de disc)
numarul sectorului īn cadrul pistei
Viteza de rotatie a platanelor este īn mod uzual de 5400, 7200, 10.000 rotatii / minut. Capacitatea de memorare a HD a crescut pīna la peste 200 GB.
Tehnica de lucru cu HD: īntretinere, protectie, virusi
1.5.14. Compact Discul
a) CD-ROM - ul - Compact Disk Read Only Memory - este un disc de plastic cu capacitati de 650, 700, 800 MB pe care s-a scris informatia prin ardere cu o raza laser. O data scris, discul poate fi numai citit.
b) CD-RW - Compact Disk ReWritable - un disc de aluminiu cu capacitati de 650, 700 MB. Discul poate fi scris, sters, formatat.
c) DVD-ul - Digital Versatile Disk - disc special cu capacitate de 4,7 sau 9,4 GB, folosit pentru stocarea informatiei, de cele mai multe ori de tip video.
CD-ROM-ul si CD-RW-ul sīnt citite de unitati de disc cu viteze obisnuite de 48x - 52x si scrise pīna la maxim 32x. 1x = 150 KB / s.
DVD-urile sīnt citite / scrise cu viteze de 1x ... 16x. Īn cazul DVD-urilor, 1x = 1,321 MB / s.
Tehnica de lucru cu discurile: īntretinere, protectie, virusi
1.5.15. Pornirea, oprirea si īntretinerea calculatorului
|